Antibacterial and Anti-Fungal Biological Activities for Acrylonitrile, Acrylamide and 2-Acrylamido-2-Methylpropane Sulphonic Acid Crosslinked Terpolymers
Abstract
1. Introduction
2. Experimental
2.1. Materials
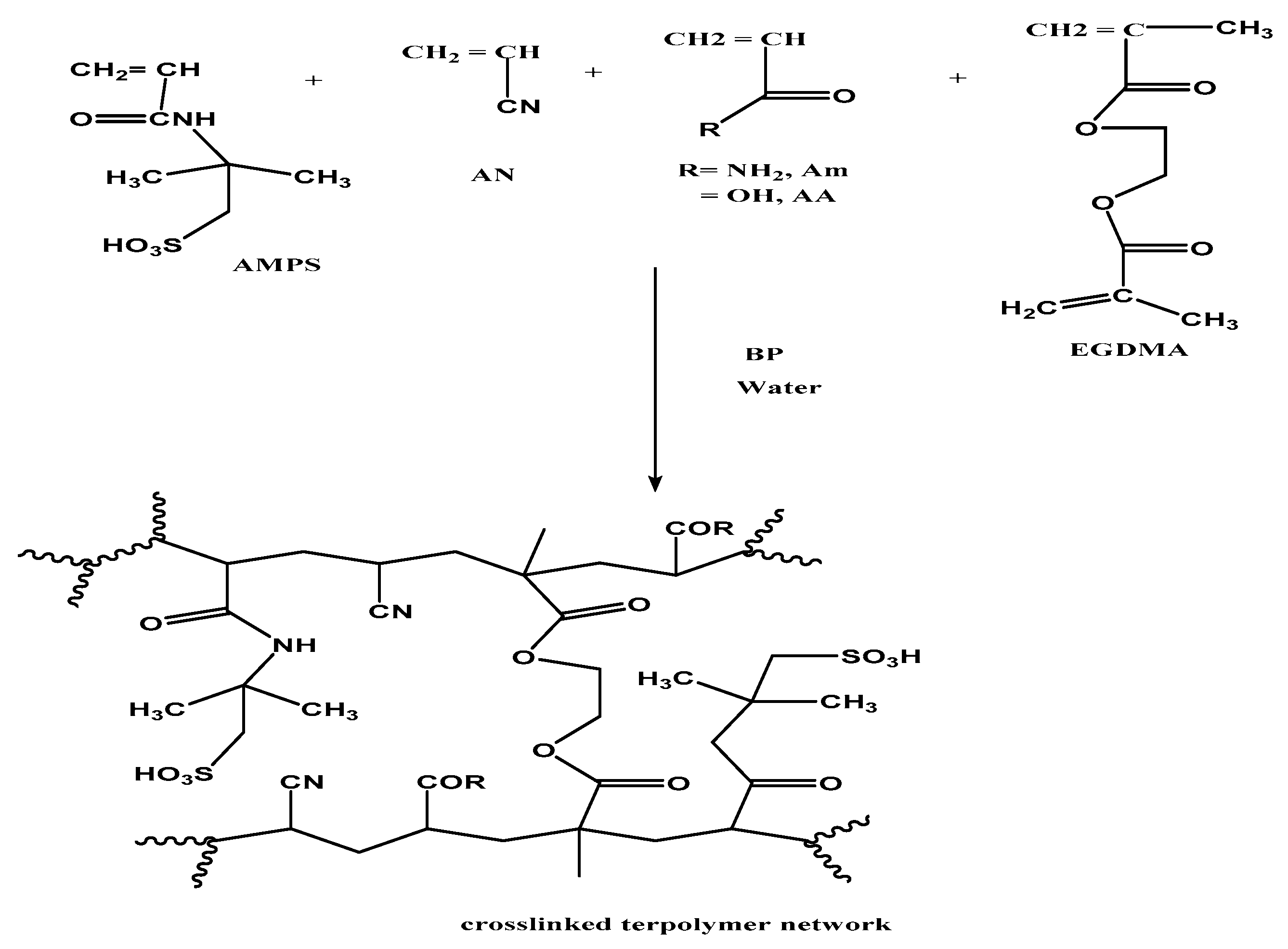
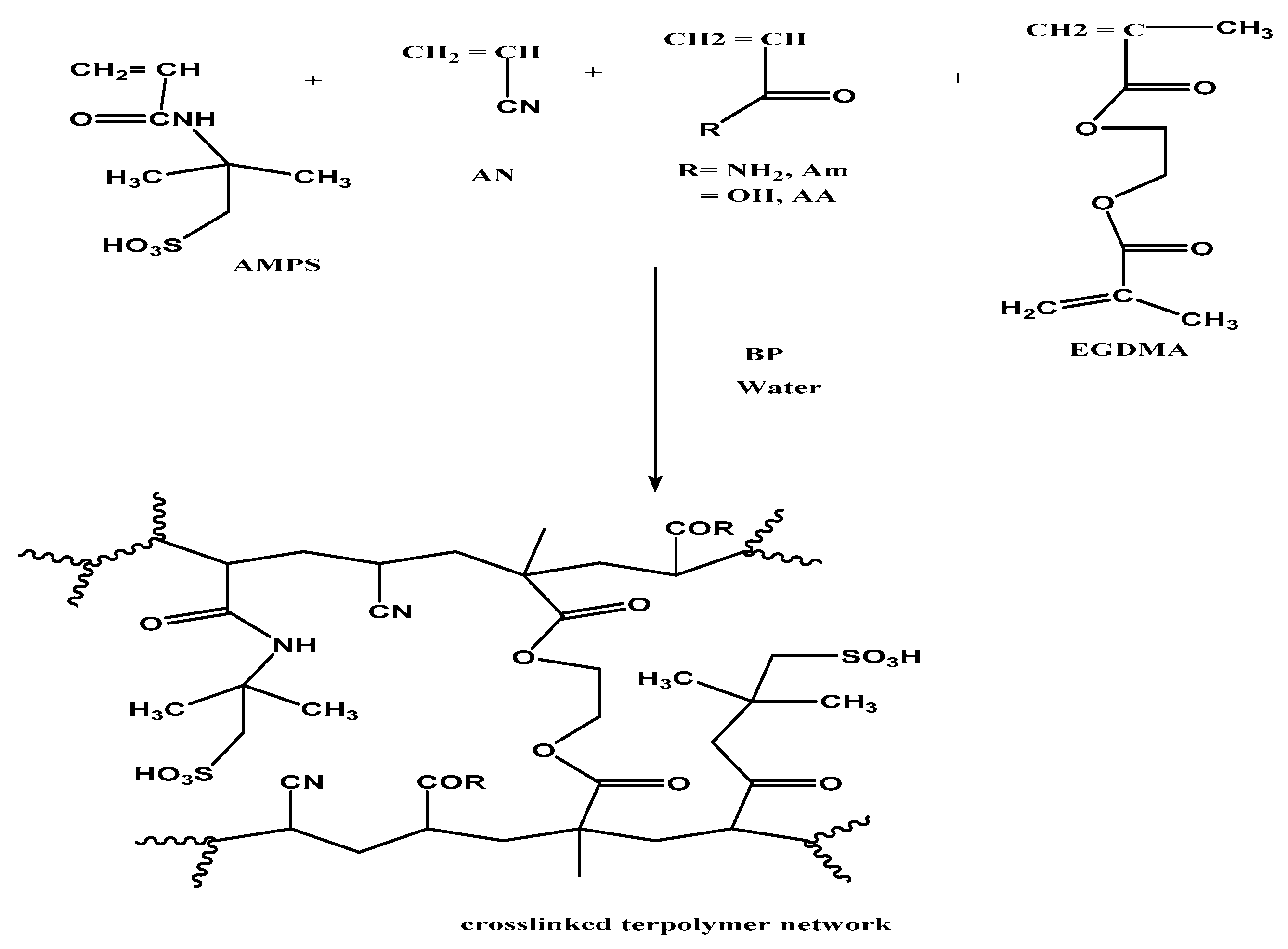
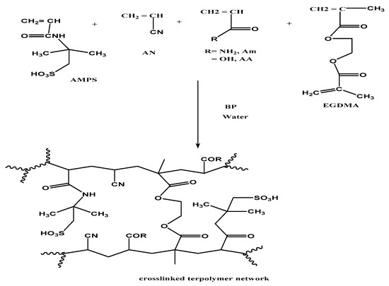
2.2. Preparation of Cross-Linked Polymers
2.3. Characterization by FTIR (Fourier Transform Infrared) Spectroscopy
2.4. Swelling Property Measurement
2.5. Application of the Synthesized Cross-Linked Terpolymers as Anti-Microbial Agents
2.5.1. Test Organisms
2.5.2. Cultivation Conditions and Anti-Microbial Activity
2.5.3. Minimum Inhibitory Concentration (MIC) and Minimum Bactericidal/Fungicidal (MBC/MFC) Concentrations
3. Results and Discussion
3.1. Characterization of the Crosslinked Terpolymers
3.2. Swelling Analysis Measurements
3.3. Antimicrobial Activity
4. Conclusions
Author Contributions
Funding
Acknowledgments
Conflicts of Interest
References
- Geckil, H.; Xu, F.; Zhang, X.; Moon, S.; Demirci, U. Engineering hydrogels as extracellular matrix mimics. Nanomedicine 2010, 5, 469–484. [Google Scholar] [CrossRef] [PubMed]
- Shimba, K.; Miyamoto, Y.; Yagi, T. Hydrogel-supported bilayers for studying membrane protein functions. In Proceedings of the 2017 10th Biomedical Engineering International Conference (BMEiCON), Hokkaido, Japan, 31 August–1 September 2017; pp. 1–4. [Google Scholar]
- Sun, M.; Bai, R.; Yang, X.; Song, J.; Qin, M.; Suo, Z.; He, X. Hydrogel interferometry for ultrasensitive and highly selective chemical detection. Adv. Mater. 2018, 30, 1804916. [Google Scholar] [CrossRef] [PubMed]
- Ghobril, C.; Grinstaff, M. The chemistry and engineering of polymeric hydrogel adhesives for wound closure: A tutorial. Chem. Soc. Rev. 2015, 44, 1820–1835. [Google Scholar] [CrossRef] [PubMed]
- Sawada, J.; Aoki, D.; Otsuka, H.; Takata, T. A Guiding Principle for Strengthening Crosslinked Polymers: Synthesis and Application of Mobility-Controlling Rotaxane Crosslinkers. Angew. Chem. 2019, 131, 2791–2794. [Google Scholar] [CrossRef]
- Das, D.; Pham, T.T.H.; Noh, I. Characterizations of hyaluronate-based terpolymeric hydrogel synthesized via free radical polymerization mechanism for biomedical applications. Colloids Surf. B Biointerfaces 2018, 170, 64–75. [Google Scholar] [CrossRef]
- Li, Z.; Tang, M.; Dai, J.; Wang, T.; Wang, Z.; Bai, W.; Bai, R. Preparation of Covalent Pseudo-Two-Dimensional Polymers in Water by Free Radical Polymerization. Macromolecules 2017, 50, 4292–4299. [Google Scholar] [CrossRef]
- Li, Q.-F.; Du, X.; Jin, L.; Hou, M.; Wang, Z.; Hao, J. Highly luminescent hydrogels synthesized by covalent grafting of lanthanide complexes onto PNIPAM via one-pot free radical polymerization. J. Mater. Chem. C 2016, 4, 3195–3201. [Google Scholar] [CrossRef]
- Wu, S.-W.; Liu, X.; Miller, A.L., II; Cheng, Y.-S.; Yeh, M.-L.; Lu, L. Strengthening injectable thermo-sensitive NIPAAm-g-chitosan hydrogels using chemical cross-linking of disulfide bonds as scaffolds for tissue engineering. Carbohydr. Polym. 2018, 192, 308–316. [Google Scholar] [CrossRef]
- Qu, J.; Zhao, X.; Liang, Y.; Zhang, T.; Ma, P.X.; Guo, B. Antibacterial adhesive injectable hydrogels with rapid self-healing, extensibility and compressibility as wound dressing for joints skin wound healing. Biomaterials 2018, 183, 185–199. [Google Scholar] [CrossRef]
- Wang, L.; Shi, X.; Wu, Y.; Zhang, J.; Zhu, Y.; Wang, J. A multifunctional supramolecular hydrogel: Preparation, properties and molecular assembly. Soft Matter 2018, 14, 566–573. [Google Scholar] [CrossRef]
- Tian, R.; Qiu, X.; Yuan, P.; Lei, K.; Wang, L.; Bai, Y.; Liu, S.; Chen, X. Fabrication of self-healing hydrogels with on-demand antimicrobial activity and sustained biomolecule release for infected skin regeneration. ACS Appl. Mater. Interfaces 2018, 10, 17018–17027. [Google Scholar] [CrossRef] [PubMed]
- Konwar, A.; Kalita, S.; Kotoky, J.; Chowdhury, D. Chitosan–iron oxide coated graphene oxide nanocomposite hydrogel: A robust and soft antimicrobial biofilm. ACS Appl. Mater. Interfaces 2016, 8, 20625–20634. [Google Scholar] [CrossRef]
- Yang, K.; Han, Q.; Chen, B.; Zheng, Y.; Zhang, K.; Li, Q.; Wang, J. Antimicrobial hydrogels: Promising materials for medical application. Int. J. Nanomed. 2018, 13, 2217–2263. [Google Scholar] [CrossRef]
- Echazú, M.I.A.; Olivetti, C.E.; Anesini, C.; Perez, C.J.; Alvarez, G.S.; Desimone, M.F. Development and evaluation of thymol-chitosan hydrogels with antimicrobial-antioxidant activity for oral local delivery. Mater. Sci. Eng. C 2017, 81, 588–596. [Google Scholar] [CrossRef] [PubMed]
- Hu, B.; Owh, C.; Chee, P.L.; Leow, W.R.; Liu, X.; Wu, Y.-L.; Guo, P.; Loh, X.J.; Chen, X. Supramolecular hydrogels for antimicrobial therapy. Chem. Soc. Rev. 2018, 47, 6917–6929. [Google Scholar] [CrossRef] [PubMed]
- Rinehart, S.; Campbell, T.; Burke, K.; Garcia, B.; Mlynarski, A.; Brain, S.; Truffa, J.; Rago, J.; Chura, W.; Keleher, J. Synthesis and characterization of a chitosan/PVA antimicrobial hydrogel nanocomposite for responsive wound management materials. J. Microb. Biochem. Technol. 2016, 8, 65–70. [Google Scholar] [CrossRef]
- Picone, P.; Sabatino, M.A.; Ajovalasit, A.; Giacomazza, D.; Dispenza, C.; Di Carlo, M. Biocompatibility, hemocompatibility and antimicrobial properties of xyloglucan-based hydrogel film for wound healing application. Int. J. Biol. Macromol. 2019, 121, 784–795. [Google Scholar] [CrossRef]
- Gallagher, A.G.; Alorabi, J.A.; Wellings, D.A.; Lace, R.; Horsburgh, M.J.; Williams, R.L. A novel peptide hydrogel for an antimicrobial bandage contact lens. Adv. Healthc. Mater. 2016, 5, 2013–2018. [Google Scholar] [CrossRef]
- Nho, Y.-C.; Lim, Y.-M.; Gwon, H.-J.; Choi, E.-K. Preparation and characterization of PVA/PVP/glycerin/antibacterial agent hydrogels using γ-irradiation followed by freeze-thawing. Korean J. Chem Eng. 2009, 26, 1675–1678. [Google Scholar] [CrossRef]
- Sui, X.; Feng, X.; Di Luca, A. Poly (N-isopropylacrylamide)–poly (ferrocenylsilane) dual-responsive hydrogels: Synthesis, characterization and antimicrobial applications. Polym Chem. 2013, 4, 337–342. [Google Scholar] [CrossRef]
- Uygun, M.; Kahveci, M.U.; Odaci, D.; Timur, S.; Yagci, Y. Antibacterial acrylamide hydrogels containing silver nanoparticles by simultaneous photoinduced free radical polymerization and electron transfer processes. Macromol. Chem. Phys. 2009, 210, 1867–1875. [Google Scholar] [CrossRef]
- Wiegand, I.; Hilpert, K.; Hancock, R.E. Agar and broth dilution methods to determine the minimal inhibitory concentration (MIC) of antimicrobial substances. Nat. Protoc. 2008, 3, 163. [Google Scholar] [CrossRef] [PubMed]
- Amsterdam, D. Susceptibility testing of antimicrobials in liquid media. In Antibiotics in Laboratory Medicine; Maple Press: New York, NY, USA, 1996. [Google Scholar]
- Clinical Laboratory Standards Institute (CLSI). Reference Method for Dilution Antimicrobial Susceptibility Tests for Bacteria that Grow Aerobically; Approved standard M7-A6; National Committee for Clinical Laboratory Standards: Wayne, PA, USA, 2003. [Google Scholar]
- Clinical Laboratory Standards Institute (CLSI). Reference Method for Broth Dilution Antifungal Susceptibility Testing of Yeasts; Approved Standard M27-A2; National Committee for Clinical Laboratory Standards: Wayne, PA, USA, 2002. [Google Scholar]
- Labena, A.; Kabel, K.; Farag, R. One-pot synthesize of dendritic hyperbranched PAMAM and assessment as a broad spectrum antimicrobial agent and anti-biofilm. Mater. Sci. Eng. C 2016, 58, 1150–1159. [Google Scholar] [CrossRef] [PubMed]
- Rukayadi, Y.; Han, S.; Yong, D.; Hwang, J.-K. In vitro antibacterial activity of panduratin A against enterococci clinical isolates. Biol. Pharm. Bull. 2010, 33, 1489–1493. [Google Scholar] [CrossRef]
- Nechaev, A.; Gorbunova, M.; Lebedeva, I.; Val’tsifer, V.; Strel’nikov, V. Synthesis by radical polymerization and structure of drag reducing terpolymers based on acrylamide, acrylonitrile, and 2-acrylamido-2-methylpropanesulfonic acid. Russ. J. Appl. Chem. 2017, 90, 1524–1531. [Google Scholar] [CrossRef]
- Abid, C.Z.; Chattopadhyay, S.; Mazumdar, N.; Singh, H. Synthesis and characterization of quaternary ammonium PEGDA dendritic copolymer networks for water disinfection. J. Appl. Polym. Sci. 2010, 116, 1640–1649. [Google Scholar] [CrossRef]
- Popa, A.; Davidescu, C.; Trif, R.; Ilia, G.; Iliescu, S.; Dehelean, G. Study of quaternary ‘onium’ salts grafted on polymers: Antibacterial activity of quaternary phosphonium salts grafted on ‘gel-type’styrene–divinylbenzene copolymers. React. Funct. Polym. 2003, 55, 151–158. [Google Scholar] [CrossRef]
- Muñoz-Bonilla, A.; Fernández-García, M. Polymeric materials with antimicrobial activity. Prog. Polym. Sci. 2012, 37, 281–339. [Google Scholar] [CrossRef]
- Gupta, I.; Tomar, R.S.; Nagpal, A.; Singhal, R. Synthesis and characterization of poly (AAm-co-BMA-co-AAc) hydrogels: Effect of acrylamide content on swelling behaviour. Des. Monomers Polym. 2006, 9, 589–605. [Google Scholar] [CrossRef]
- Thakur, A.; Wanchoo, R.; Singh, P. Structural parameters and swelling behavior of pH sensitive poly (acrylamide-co-acrylic acid) hydrogels. Chem. Biochem. Eng. Q. 2011, 25, 181–194. [Google Scholar]
- Begam, T.; Nagpal, A.; Singhal, R. A comparative study of swelling properties of hydrogels based on poly (acrylamide-co-methyl methacrylate) containing physical and chemical crosslinks. J. Appl. Polym. Sci. 2003, 89, 779–786. [Google Scholar] [CrossRef]
- Venkataraman, S.; Lee, A.L.; Tan, J.P.; Ng, Y.C.; Lin, A.L.Y.; Yong, J.Y.; Yi, G.; Zhang, Y.; Lim, I.J.; Phan, T.T. Functional cationic derivatives of starch as antimicrobial agents. Polym. Chem. 2019, 10, 412–423. [Google Scholar] [CrossRef]
- Monjezi, J.; Jamaledin, R.; Ghaemy, M.; Makvandi, P. Antimicrobial Modified-Tragacanth Gum/Acrylic Acid Hydrogels for the Controlled Release of Quercetin. J. Appl. Chem. Res. 2019, 13, 57–71. [Google Scholar]
- Kalinoski, R.M.; Shi, J. Hydrogels derived from lignocellulosic compounds: Evaluation of the compositional, structural, mechanical and antimicrobial properties. Ind. Crops Prod. 2019, 128, 323–330. [Google Scholar] [CrossRef]
- Villanueva, M.E.; Cuestas, M.L.; Pérez, C.J.; Dall, V.C.; Copello, G.J. Smart release of antimicrobial ZnO nanoplates from a pH-responsive keratin hydrogel. J. Colloid Interface Sci. 2019, 536, 372–380. [Google Scholar] [CrossRef] [PubMed]
- Larrañeta, E.; Imízcoz, M.; Toh, J.X.; Irwin, N.J.; Ripolin, A.; Perminova, A.; Domínguez-Robles, J.; Rodríguez, A.; Donnelly, R.F. Synthesis and characterization of lignin hydrogels for potential applications as drug eluting antimicrobial coatings for medical materials. ACS Sustain. Chem. Eng. 2018, 6, 9037–9046. [Google Scholar] [CrossRef]
- Albadr, A.A.; Coulter, S.M.; Porter, S.L.; Thakur, R.R.S.; Laverty, G. Ultrashort self-assembling peptide hydrogel for the treatment of fungal infections. Gels 2018, 4, 48. [Google Scholar] [CrossRef]
- Osmokrovic, A.; Jancic, I.; Vunduk, J.; Petrovic, P.; Milenkovic, M.; Obradovic, B. Achieving high antimicrobial activity: Composite alginate hydrogel beads releasing activated charcoal with an immobilized active agent. Carbohydr. Polym. 2018, 196, 279–288. [Google Scholar] [CrossRef]
- Malmsten, M. Antimicrobial and antiviral hydrogels. Soft Matter 2011, 7, 8725–8736. [Google Scholar] [CrossRef]
- Aziz, M.A.; Cabral, J.D.; Brooks, H.J.; Moratti, S.C.; Hanton, L.R. Antimicrobial properties of a chitosan dextran-based hydrogel for surgical use. Antimicrob. Agents Chemother. 2012, 56, 280–287. [Google Scholar] [CrossRef]







| Sample Name | Description | Mol Ratios |
|---|---|---|
| AM0 | Contains AA (80 mol %; 0.72 g) and AMPS (20 mol %; 0.515 g). | AA:AMPS (4:1) |
| AM1 | Contains the same reagents as AM0 in the presence of AN (0.53 g) | AA:AMPS:AN (4:1:4) |
| AM2 | Contains the same reagents as AM1 but differed in the concentration of acrylonitrile, which was 1.06 g/mol. | AA:AMPS:AN (4:1:8) |
| AM3 | Contains the same reagents as AM2 but differed in the concentration of acrylonitrile, which was 1.59 g/mol. | AA:AMPS:AN (4:1:12) |
| AM4 | Contains the same reagents as AM3 but differed in the concentration of acrylonitrile, which was 2.12 g/mol. | AA:AMPS:AN (4:1:16) |
| M0 | Contains acrylonitrile (AN) (50 mol %; 0.53 g) and acrylamide (Am) (50 mol %; 0.78 g). | AMPS:AN (1:1) |
| M1 | Contains AMPs (0.515 g), Am (0.78 g) and AN (0.53 g). | AMPS: Am:AN (1:1:1) |
| M2 | Contains the same reagents as M1 but differed in the concentrations of the 2-acrylamido-2-methylpropane sulfonic acid (AMPS), which was 1.03 g/mol. | AMPS: Am:AN (2:1:1) |
| M3 | Contains the same reagents as M1 but differed in the concentrations of the 2-acrylamido-2-methylpropane sulfonic acid (AMPS), which was 1.545 g/mol. | AMPS: Am:AN (3:1:1) |
| M4 | Contains the same reagents as M1 but differed in the concentrations of the 2-acrylamido-2-methylpropane sulfonic acid (AMPS), which was 2.06 g/mol. | AMPS: Am:AN (4:1:1) |
| Samples | Bacillus Subtilis (ATCC 6633) | Escherichia Coli (ATCC 8739) | Candida Albicans (ATCC 10231) |
|---|---|---|---|
| Inhibition zone (mm) | |||
| M3 | 25.5 ± 0.5 | 22.0 ± 0.0 | 33.0 ± 0.0 |
| AM4 | 35.0 ± 1.0 | 25.5 ± 0.5 | 32.5 ± 0.5 |
| * AMC (100 ppm) | 18 | ||
| * TE (100 ppm) | 22 | ||
| * Flu (100 ppm) | 17 | ||
| Samples | Bacillus Subtilis (ATCC 6633) | Escherichia Coli (ATCC 8739) | Candida Albicans (ATCC 10231) | |||
|---|---|---|---|---|---|---|
| MIC (PPM) | MBC (PPM) | MIC (PPM) | MBC (PPM) | MIC (PPM) | MFC (PPM) | |
| M3 | 31.25 | 62.5 | 31.25 | 62.5 | 15.6 | 31.2 |
| AM4 | 15.62 | 62.5 | 15.62 | 62.5 | 15.6 | 31.2 |
Publisher’s Note: MDPI stays neutral with regard to jurisdictional claims in published maps and institutional affiliations. |
© 2020 by the authors. Licensee MDPI, Basel, Switzerland. This article is an open access article distributed under the terms and conditions of the Creative Commons Attribution (CC BY) license (http://creativecommons.org/licenses/by/4.0/).
Share and Cite
Farag, R.K.; Atta, A.M.; Labena, A.; AlHawari, S.H.; Safwat, G.; Diab, A. Antibacterial and Anti-Fungal Biological Activities for Acrylonitrile, Acrylamide and 2-Acrylamido-2-Methylpropane Sulphonic Acid Crosslinked Terpolymers. Materials 2020, 13, 4891. https://doi.org/10.3390/ma13214891
Farag RK, Atta AM, Labena A, AlHawari SH, Safwat G, Diab A. Antibacterial and Anti-Fungal Biological Activities for Acrylonitrile, Acrylamide and 2-Acrylamido-2-Methylpropane Sulphonic Acid Crosslinked Terpolymers. Materials. 2020; 13(21):4891. https://doi.org/10.3390/ma13214891
Chicago/Turabian StyleFarag, Reem K., Ayman M. Atta, Ahmed Labena, Salma H. AlHawari, Gehan Safwat, and Ayman Diab. 2020. "Antibacterial and Anti-Fungal Biological Activities for Acrylonitrile, Acrylamide and 2-Acrylamido-2-Methylpropane Sulphonic Acid Crosslinked Terpolymers" Materials 13, no. 21: 4891. https://doi.org/10.3390/ma13214891
APA StyleFarag, R. K., Atta, A. M., Labena, A., AlHawari, S. H., Safwat, G., & Diab, A. (2020). Antibacterial and Anti-Fungal Biological Activities for Acrylonitrile, Acrylamide and 2-Acrylamido-2-Methylpropane Sulphonic Acid Crosslinked Terpolymers. Materials, 13(21), 4891. https://doi.org/10.3390/ma13214891

