Towards High Molecular Weight Furan-Based Polyesters: Solid State Polymerization Study of Bio-Based Poly(Propylene Furanoate) and Poly(Butylene Furanoate)
Abstract
1. Introduction
2. Materials and Methods
2.1. Materials
2.2. Polyesters’ Synthesis
2.3. Solid-state Polycondensation
2.4. Polyesters’ Characterization
2.4.1. Intrinsic Viscosity (IV) Measurements
2.4.2. Molecular Weight
2.4.3. End-group Analysis
2.4.4. Nuclear Magnetic Resonance Spectroscopy (NMR)
2.4.5. Wide Angle X-ray Diffraction Patterns (WAXD)
2.4.6. Differential Scanning Calorimetry (DSC)
3. Modeling of the Solid-State Polymerization of PPF and PBF Polyesters Kinetics
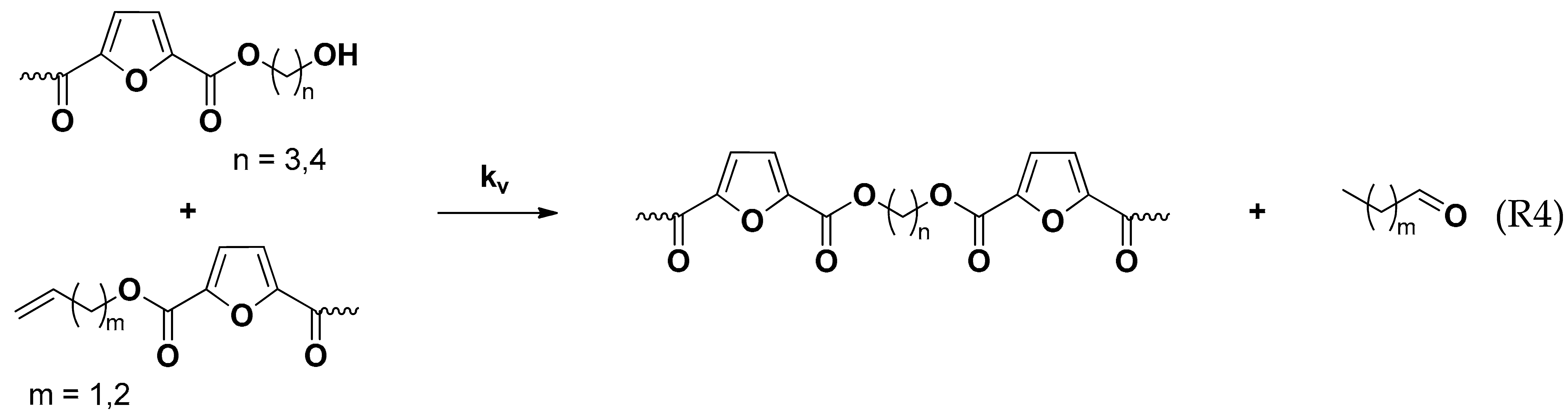
3.1. Reaction Mechanism




3.2. Simplified Mathematical Model
- The kinetic rate constants are regarded to be independent of the length of the polymer chains (only the reactivity of end-groups is considered).
- As a high vacuum is applied (below 3–4 Pa), the respective glycols and water are removed very quickly from the reaction mixture. As a result, reverse reactions in Reactions (R1) and (R2) are eliminated.
- The relatively low temperatures (i.e., 155–165 °C) where polycondensation occurs, allow us to neglect any thermal degradation reactions (Reaction (R3)), thus excluding Reaction (R4) as well.
- Limitations linked to the diffusion of volatile species are ignored.
4. Results and Discussion
4.1. Synthesis and Characterization of PPF and PBF Polyesters
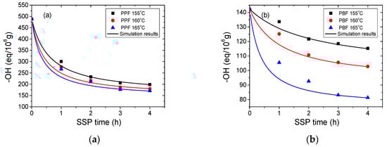
4.2. Kinetic Study of the Solid-State Polymerization of PPF and PBF Polyesters
4.3. Thermal Analysis of Polyesters after SSP
5. Conclusions
Author Contributions
Funding
Conflicts of Interest
References
- Fei, X.; Wang, J.; Zhu, J.; Wang, X.; Liu, X. Biobased Poly(ethylene 2,5-furancoate): No longer an alternative, but an irreplaceable polyester in the polymer industry. ACS Sustain. Chem. Eng. 2020, 8, 8471–8485. [Google Scholar] [CrossRef]
- Schneiderman, D.K.; Hillmyer, M.A. 50th anniversary perspective: There is a great future in sustainable polymers. Macromolecules 2017, 50, 3733–3749. [Google Scholar] [CrossRef]
- Haider, T.P.; Völker, C.; Kramm, J.; Landfester, K.; Wurm, F.R. Plastics of the future? The impact of biodegradable polymers on the environment and on society. Angew. Chem.-Int. Ed. 2019, 58, 50–62. [Google Scholar] [CrossRef] [PubMed]
- Loos, K.; Zhang, R.; Pereira, I.; Agostinho, B.; Hu, H.; Maniar, D.; Sbirrazzuoli, N.; Silvestre, A.J.D.; Guigo, N.; Sousa, A.F. A perspective on PEF synthesis, properties and end-life. Front. Chem. 2020, 8, 1–18. [Google Scholar] [CrossRef]
- Werpy, T.; Petersen, G. Top. Value Added Chemicals from Biomass: Volume I-Results of Screening for Potential Candidates from Sugars and Synthesis Gas; United States Department of Energy: Golden, CO, USA, 2004.
- Papageorgiou, G.Z.; Tsanaktsis, V.; Bikiaris, D.N. Synthesis of poly(ethylene furandicarboxylate) polyester using monomers derived from renewable resources: Thermal behavior comparison with PET and PEN. Phys. Chem. Chem. Phys. 2014, 16, 7946–7958. [Google Scholar] [CrossRef]
- de Jong, E.; Dam, M.A.; Sipos, L.; Gruter, G.-J.M. Furandicarboxylic Acid (FDCA), a Versatile Building Block for a Very Interesting Class of Polyesters; American Chemical Society: Washington, DC, USA, 2012; Volume 1105, pp. 1–13. [Google Scholar]
- Burgess, S.K.; Wenz, G.B.; Kriegel, R.M.; Koros, W.J. Penetrant transport in semicrystalline poly(ethylene furanoate). Polymer (United Kingd.) 2016, 98, 305–310. [Google Scholar] [CrossRef]
- Terzopoulou, Z.; Papadopoulos, L.; Zamboulis, A.; Papageorgiou, D.G.; Papageorgiou, G.Z.; Bikiaris, D.N. Tuning the properties of furandicarboxylic acid-based polyesters with copolymerization: A review. Polymer 2020, 12, 1209. [Google Scholar] [CrossRef]
- Papaspyrides, C.D.; Vouyiouka, S.N. Solid State Polymerization; Wiley Online Library: Hoboken, NJ, USA, 2009; Volume 236, pp. 35–42. ISBN 0470084189. [Google Scholar]
- Kim, B.S.; Rhee, H.W. Effect of crystallization conditions on spherulite size and melt spinning performance of polyester industrial yarn by solid-state polymerization. Ind. Eng. Chem. Res. 2015, 54, 9150–9158. [Google Scholar] [CrossRef]
- Li, L.J.; Duan, R.T.; Zhang, J.B.; Wang, X.L.; Chen, L.; Wang, Y.Z. Phosphorus-containing poly(ethylene terephthalate): Solid-state polymerization and its sequential distribution. Ind. Eng. Chem. Res. 2013, 52, 5326–5333. [Google Scholar] [CrossRef]
- Bikiaris, D.N.; Achilias, D.S.; Giliopoulos, D.J.; Karayannidis, G.P. Effect of activated carbon black nanoparticles on solid state polymerization of poly(ethylene terephthalate). Eur. Polym. J. 2006, 42, 3190–3201. [Google Scholar] [CrossRef]
- Achilias, D.S.; Bikiaris, D.N.; Karavelidis, V.; Karayannidis, G.P. Effect of silica nanoparticles on solid state polymerization of poly(ethylene terephthalate). Eur. Polym. J. 2008, 44, 3096–3107. [Google Scholar] [CrossRef]
- Achilias, D.S.; Karandrea, E.; Triantafyllidis, K.S.; Ladavos, A.; Bikiaris, D.N. Effect of organoclays type on solid-state polymerization (SSP) of poly(ethylene terephthalate): Experimental and modeling. Eur. Polym. J. 2015, 63, 156–167. [Google Scholar] [CrossRef]
- Vouyiouka, S.; Theodoulou, P.; Symeonidou, A.; Papaspyrides, C.D.; Pfaendner, R. Solid state polymerization of poly(lactic acid): Some fundamental parameters. Polym. Degrad. Stab. 2013, 98, 2473–2481. [Google Scholar] [CrossRef]
- Chronaki, K.; Korres, D.M.; Papaspyrides, C.D.; Vouyiouka, S. Poly(lactic acid) microcapsules: Tailoring properties via solid state polymerization. Polym. Degrad. Stab. 2020, 179, 109283. [Google Scholar] [CrossRef]
- Beltrán, F.R.; Climent-Pascual, E.; de la Orden, M.U.; Martínez Urreaga, J. Effect of solid-state polymerization on the structure and properties of mechanically recycled poly(lactic acid). Polym. Degrad. Stab. 2020, 171, 109045. [Google Scholar] [CrossRef]
- Knoop, R.J.I.; Vogelzang, W.; van Haveren, J.; van Es, D.S. High molecular weight poly(ethylene-2,5-furanoate); critical aspects in synthesis and mechanical property determination. J. Polym. Sci. Part. A Polym. Chem. 2013, 51, 4191–4199. [Google Scholar] [CrossRef]
- Hong, S.; Min, K.-D.; Nam, B.-U.; Park, O.O. High molecular weight bio furan-based co-polyesters for food packaging applications: Synthesis, characterization and solid-state polymerization. Green Chem. 2016, 18, 5142–5150. [Google Scholar] [CrossRef]
- Achilias, D.S.; Chondroyiannis, A.; Nerantzaki, M.; Adam, K.V.; Terzopoulou, Z.; Papageorgiou, G.Z.; Bikiaris, D.N. Solid state polymerization of poly(ethylene furanoate) and its nanocomposites with SiO2 and TiO2. Macromol. Mater. Eng. 2017, 302, 1–15. [Google Scholar] [CrossRef]
- Kasmi, N.; Majdoub, M.; Papageorgiou, G.; Achilias, D.; Bikiaris, D. Solid-State Polymerization of poly(ethylene furanoate) biobased polyester, i: Effect of catalyst type on molecular weight increase. Polymer (Basel) 2017, 9, 607. [Google Scholar] [CrossRef]
- Kasmi, N.; Papageorgiou, G.; Achilias, D.; Bikiaris, D. Solid-State Polymerization of poly(ethylene furanoate) biobased polyester, II: An efficient and facile method to synthesize high molecular weight polyester appropriate for food packaging applications. Polymer (Basel) 2018, 10, 471. [Google Scholar] [CrossRef]
- Chebbi, Y.; Kasmi, N.; Majdoub, M.; Papageorgiou, G.; Achilias, D.; Bikiaris, D. Solid-State polymerization of poly(ethylene furanoate) biobased polyester, III: Extended study on effect of catalyst type on molecular weight increase. Polymer (Basel) 2019, 11, 438. [Google Scholar] [CrossRef] [PubMed]
- Banella, M.B.; Bonucci, J.; Vannini, M.; Marchese, P.; Lorenzetti, C.; Celli, A. Insights into the synthesis of poly(ethylene 2,5-furandicarboxylate) from 2,5-furandicarboxylic acid: Steps toward environmental and food safety excellence in packaging applications. Ind. Eng. Chem. Res. 2019, 58, 8955–8962. [Google Scholar] [CrossRef]
- Gabirondo, E.; Melendez-Rodriguez, B.; Arnal, C.; Lagaron, J.M.; Martínez De Ilarduya, A.; Sardon, H.; Torres Giner, S.; Torres-Giner, S. Organocatalyzed closed-loop chemical recycling of thermo-compressed food packaging films of poly(ethylene furanoate). 2020. submitted for publication. [Google Scholar] [CrossRef]
- Nederberg, F.; Bell, R.L.; Torradas, J.M. Furan-Based Polymeric Hydrocarbon Fuel Barrier Structures. Patent WO2015095473A1, 25 June 2015. [Google Scholar]
- Guidotti, G.; Soccio, M.; García-Gutiérrez, M.C.; Ezquerra, T.; Siracusa, V.; Gutiérrez-Fernández, E.; Munari, A.; Lotti, N. Fully biobased superpolymers of 2,5-furandicarboxylic acid with different functional properties: From rigid to flexible, high performant packaging materials. ACS Sustain. Chem. Eng. 2020, 8, 9558–9568. [Google Scholar] [CrossRef]
- Robles-Hernández, B.; Soccio, M.; Castrillo, I.; Guidotti, G.; Lotti, N.; Alegría, Á.; Martínez-Tong, D.E. Poly(alkylene 2,5-furanoate)s thin films: Morphology, crystallinity and nanomechanical properties. Polymer (Guildf). 2020, 204, 122825. [Google Scholar] [CrossRef]
- Wang, J.; Liu, X.; Zhu, J.; Jiang, Y. Copolyesters based on 2,5-furandicarboxylic acid (FDCA): Effect of 2,2,4,4-tetramethyl-1,3-cyclobutanediol units on their properties. Polymer 2017, 9, 305. [Google Scholar] [CrossRef] [PubMed]
- Thiyagarajan, S.; Meijlink, M.A.; Bourdet, A.; Vogelzang, W.; Knoop, R.J.I.; Esposito, A.; Dargent, E.; van Es, D.S.; van Haveren, J. Synthesis and thermal properties of bio-based copolyesters from the mixtures of 2,5-and 2,4-furandicarboxylic acid with different diols. ACS Sustain. Chem. Eng. 2019, 7, 18505–18516. [Google Scholar] [CrossRef]
- Papadopoulos, L.; Klonos, P.A.; Tzetzis, D.; Papageorgiou, G.Z.; Kyritsis, A.; Bikiaris, D.N. Effects of graphene nanoplatelets on crystallization, mechanical performance and molecular dynamics of the renewable poly(propylene furanoate). Polymer 2020, 189, 122172. [Google Scholar] [CrossRef]
- Sousa, A.F.; Guigo, N.; Pozycka, M.; Delgado, M.; Soares, J.; Mendonça, P.V.; Coelho, J.F.J.; Sbirrazzuoli, N.; Silvestre, A.J.D. Tailored design of renewable copolymers based on poly(1,4-butylene 2,5-furandicarboxylate) and poly(ethylene glycol) with refined thermal properties. Polym. Chem. 2018, 9, 722–731. [Google Scholar] [CrossRef]
- Matos, M.; Sousa, A.F.; Silva, N.H.C.S.; Freire, C.S.R.; Andrade, M.; Mendes, A.; Silvestre, A.J.D. Furanoate-Based nanocomposites: A case study using poly(butylene 2,5-furanoate) and poly(butylene 2,5-furanoate)-co-(butylene diglycolate) and bacterial cellulose. Polymer 2018, 10, 810. [Google Scholar] [CrossRef]
- Morales-Huerta, J.C.; Martínez De Ilarduya, A.; León, S.; Muñoz-Guerra, S. Isomannide-Containing poly(butylene 2,5-furandicarboxylate) copolyesters via ring opening polymerization. Macromolecules 2018, 51, 3340–3350. [Google Scholar] [CrossRef]
- Klonos, P.A.; Papadopoulos, L.; Terzopoulou, Z.; Papageorgiou, G.Z.; Kyritsis, A.; Bikiaris, D.N. Molecular dynamics in nanocomposites based on renewable poly(butylene 2,5-furan-dicarboxylate) in situ reinforced by montmorillonite nanoclays: Effects of clay modification, crystallization, and hydration. J. Phys. Chem. B 2020, 124, 7306–7317. [Google Scholar] [CrossRef] [PubMed]
- Papageorgiou, G.Z.; Papageorgiou, D.G.; Tsanaktsis, V.; Bikiaris, D.N. Synthesis of the bio-based polyester poly(propylene 2,5-furan dicarboxylate). Comparison of thermal behavior and solid state structure with its terephthalate and naphthalate homologues. Polymer 2015, 62, 28–38. [Google Scholar] [CrossRef]
- Papageorgiou, G.Z.; Tsanaktsis, V.; Papageorgiou, D.G.; Exarhopoulos, S.; Papageorgiou, M.; Bikiaris, D.N. Evaluation of polyesters from renewable resources as alternatives to the current fossil-based polymers. Phase transitions of poly(butylene 2,5-furan-dicarboxylate). Polymer 2014, 55, 3846–3858. [Google Scholar] [CrossRef]
- Pohl, H.A. Determination of carboxyl end groups in polyester, polyethylene terephthalate. Anal. Chem. 1954, 26, 1614–1616. [Google Scholar] [CrossRef]
- Vouyiouka, S.N.; Karakatsani, E.K.; Papaspyrides, C.D. Solid state polymerization. Prog. Polym. Sci. 2005, 30, 10–37. [Google Scholar] [CrossRef]
- Mallon, F.K.; Ray, W.H. Modeling of solid-state polycondensation. II. Reactor design issues. J. Appl. Polym. Sci. 1998, 69, 1775–1788. [Google Scholar] [CrossRef]
- Ma, Y.; Agarwal, U.S.; Sikkema, D.J.; Lemstra, P.J. Solid-state polymerization of PET: Influence of nitrogen sweep and high vacuum. Polymer 2003, 44, 4085–4096. [Google Scholar] [CrossRef]
- Ma, Y.; Agarwal, U.S. Solvent assisted post-polymerization of PET. Polymer 2005, 46, 5447–5455. [Google Scholar] [CrossRef]
- Achilias, D.S.; Gerakis, K.; Giliopoulos, D.J.; Triantafyllidis, K.S.; Bikiaris, D.N. Effect of high surface area mesoporous silica fillers (MCF and SBA-15) on solid state polymerization of PET. Eur. Polym. J. 2016, 81, 347–364. [Google Scholar] [CrossRef]
- Zhang, J.; Shen, X.; Zhang, J.; Feng, L.; Wang, J. Experimental and modeling study of the solid state polymerization of poly(ethylene terephthalate) over a wide range of temperatures and particle sizes. J. Appl. Polym. Sci. 2013, 127, 3814–3822. [Google Scholar] [CrossRef]










| Temperature (°C) | SSP Time (h) | PPF | PBF |
|---|---|---|---|
| as received | 0 | 3890 (20) | 12380 (59) |
| 155 | 1 | 6660 (34) | 13800 (66) |
| 2 | 7990 (41) | 14700 (70) | |
| 3 | 8780 (45) | 15400 (73) | |
| 4 | 9310 (48) | 15800 (75) | |
| 160 | 1 | 7500 (38) | 15200 (72) |
| 2 | 8960 (46) | 16500 (79) | |
| 3 | 9760 (50) | 17300 (82) | |
| 4 | 10300 (53) | 17800 (85) | |
| 165 | 1 | 8110 (41) | 19000 (90) |
| 2 | 9680 (49) | 21000 (100) | |
| 3 | 10500 (54) | 21900 (104) | |
| 4 | 11000 (56) | 22500 (107) |
| Sample | Temperature (°C) | [OH]i (meq/kg) | [COOH]i (meq/kg) | k1·(kg/meq)·h−1 | k2·(kg/meq)·h−1 |
|---|---|---|---|---|---|
| PPF | 155 | 155 | 13 | 24 × 10−4 | 32 × 10−4 |
| 160 | 149 | 11 | 34 × 10−4 | 44 × 10−4 | |
| 165 | 143 | 9 | 40 × 10−4 | 64 × 10−4 | |
| PBF | 155 | 100 | 7.5 | 38 × 10−4 | 114 × 10−4 |
| 160 | 93 | 5.5 | 76 × 10−4 | 156 × 10−4 | |
| 165 | 76 | 4 | 162 × 10−4 | 236 × 10−4 |
| Sample | E1 (kJ/mol) | ln(k1 × 104) | R2 | E2 (kJ/mol) | ln(k2 × 104) | R2 |
|---|---|---|---|---|---|---|
| PPF | 79.78 ± 6.20 | 25.62 ± 4.50 | 0.921 | 108.07 ± 5.78 | 33.81 ± 1.61 | 0.994 |
| PBF | 226.10 ± 7.24 | 67.14 ± 2.01 | 0.998 | 113.42 ± 9.79 | 36.58 ± 2.72 | 0.985 |
| SSP Temperature (°C) | SSP Time (h) | PPF | PBF |
|---|---|---|---|
| 0 | 32.4 | 28.6 | |
| 155 | 1 | 34.7 | 36.3 |
| 2 | 36.7 | 37.4 | |
| 3 | 37.8 | 39 | |
| 4 | 38.3 | 40 | |
| 160 | 1 | 35.4 | 36.7 |
| 2 | 36.6 | 38 | |
| 3 | 40.5 | 40 | |
| 4 | 41.1 | 41.6 | |
| 165 | 1 | 35.9 | 37.9 |
| 2 | 37.5 | 39.3 | |
| 3 | 39.2 | 41.1 | |
| 4 | 41.5 | 44.8 |
Publisher’s Note: MDPI stays neutral with regard to jurisdictional claims in published maps and institutional affiliations. |
© 2020 by the authors. Licensee MDPI, Basel, Switzerland. This article is an open access article distributed under the terms and conditions of the Creative Commons Attribution (CC BY) license (http://creativecommons.org/licenses/by/4.0/).
Share and Cite
Papadopoulos, L.; Xanthopoulou, E.; Nikolaidis, G.N.; Zamboulis, A.; Achilias, D.S.; Papageorgiou, G.Z.; Bikiaris, D.N. Towards High Molecular Weight Furan-Based Polyesters: Solid State Polymerization Study of Bio-Based Poly(Propylene Furanoate) and Poly(Butylene Furanoate). Materials 2020, 13, 4880. https://doi.org/10.3390/ma13214880
Papadopoulos L, Xanthopoulou E, Nikolaidis GN, Zamboulis A, Achilias DS, Papageorgiou GZ, Bikiaris DN. Towards High Molecular Weight Furan-Based Polyesters: Solid State Polymerization Study of Bio-Based Poly(Propylene Furanoate) and Poly(Butylene Furanoate). Materials. 2020; 13(21):4880. https://doi.org/10.3390/ma13214880
Chicago/Turabian StylePapadopoulos, Lazaros, Eleftheria Xanthopoulou, George N. Nikolaidis, Alexandra Zamboulis, Dimitris S. Achilias, George Z. Papageorgiou, and Dimitrios N. Bikiaris. 2020. "Towards High Molecular Weight Furan-Based Polyesters: Solid State Polymerization Study of Bio-Based Poly(Propylene Furanoate) and Poly(Butylene Furanoate)" Materials 13, no. 21: 4880. https://doi.org/10.3390/ma13214880
APA StylePapadopoulos, L., Xanthopoulou, E., Nikolaidis, G. N., Zamboulis, A., Achilias, D. S., Papageorgiou, G. Z., & Bikiaris, D. N. (2020). Towards High Molecular Weight Furan-Based Polyesters: Solid State Polymerization Study of Bio-Based Poly(Propylene Furanoate) and Poly(Butylene Furanoate). Materials, 13(21), 4880. https://doi.org/10.3390/ma13214880

