Influence of Long-Period-Stacking Ordered Structure on the Damping Capacities and Mechanical Properties of Mg-Zn-Y-Mn As-Cast Alloys
Abstract
1. Introduction
2. Materials and Methods
3. Results and Discussion
3.1. Microstructure of the As-Cast Mg-Zn-Y-Mn Alloys
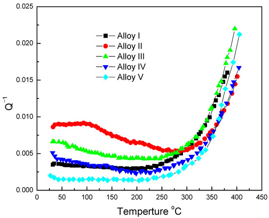
3.2. Damping Performance of the Mg-Zn-Y-Mn Alloys
3.3. Mechanical Properties
4. Conclusions
- The addition of Mn can affect the morphology of LPSO second phase in Mg-Zn-Y alloy. The Mn element tends to diffuse to the LPSO interface, hinders the LPSO orientation growth, and causes the LPSO phase to expand in the arc direction. When the content of Mn is more than 1.02%, the morphology of LPSO phase shows a tendency of arc.
- The second phase morphology also has a significant effect on the damping performance of magnesium alloys. The circular structure of LPSO can improve the damping property of the alloy better than the structure with strong orientation, especially at the strain of 10−3 and 250 °C.
- While Mn is less than 0.44%, it has a positive influence on the damping behavior. With greater additions of Mn, damping values would have a reduction due to the dispersed fine LPSO phases and α-Mn particles. Alloy II shows the best damping property at room temperature.
- When the Mn content is higher than 1.02%, the Mn element can obviously refine the grain, and the mechanical performance of the alloys has been significantly improved. Alloy V shows the best mechanical property, its ultimate tensile strength (UTS) is 292 MPa, yield strength (YS) is 167 MPa, and elongation (δ) is 9.4%.
Author Contributions
Funding
Conflicts of Interest
References
- Kang, L.; Qian, H.; Guo, Y.; Ye, C.; Li, Z. Investigation of Mechanical Properties of Large Shape Memory Alloy Bars under Different Heat Treatments. Materials 2020, 13, 3729. [Google Scholar] [CrossRef] [PubMed]
- Feng, X.; Sun, Y.; Lu, Y.; He, J.; Liu, X.; Wan, S. Effect of the Strain Rate on the Damping and Mechanical Properties of a ZK60 Magnesium Alloy. Materials 2020, 13, 2969. [Google Scholar] [CrossRef] [PubMed]
- Kim, S.-H.; Park, S.H. Improvement in damping capacity of extruded pure magnesium through precompression and subsequent annealing: Effects of dislocation and twin boundary motions. J. Alloy. Compd. 2020, 835, 155257. [Google Scholar] [CrossRef]
- Chang, S.H.; Wu, S.K.; Kuo, C. Effect of reinforced multiwall carbon nanotubes on the damping characteristics of Sn-Ag-Cu lead-free solder. Mater. Lett. 2020, 276, 128196. [Google Scholar] [CrossRef]
- Chalioris, C.E.; Kosmidou, P.; Karayannis, C.G.G. Cyclic Response of Steel Fiber Reinforced Concrete Slender Beams; an Experimental Study. Materials 2019, 12, 1398. [Google Scholar] [CrossRef]
- Han, T.; Huang, G.; Ma, L.; Wang, G.; Wang, L.; Pan, F. Evolution of microstructure and mechanical properties of AZ31 Mg alloy sheets processed by accumulated extrusion bonding with different relative orientation. J. Alloy. Compd. 2019, 784, 584–591. [Google Scholar] [CrossRef]
- Lihua, L.; Xiuqin, Z.; Xianfeng, L.; Haowei, W.; Naiheng, M. Effect of silicon on damping capacities of pure magnesium and magnesium alloys. Mater. Lett. 2007, 61, 231–234. [Google Scholar] [CrossRef]
- Parande, G.; Manakari, V.; Kopparthy, S.D.S.; Gupta, M. A study on the effect of low-cost eggshell reinforcement on the immersion, damping and mechanical properties of magnesium—Zinc alloy. Compos. Part B Eng. 2020, 182, 107650. [Google Scholar] [CrossRef]
- Yu, L.; Yan, H.; Chen, J.; Xia, W.; Su, B.; Song, M. Effects of solid solution elements on damping capacities of binary magnesium alloys. Mater. Sci. Eng. A 2020, 772, 138707. [Google Scholar] [CrossRef]
- Jin, M.; Song, Y.; Wang, X.; Chen, P.; Pang, G.; Jin, X. Ultrahigh damping capacity achieved by modulating R phase in Ti49.2Ni50.8 shape memory alloy wires. Scr. Mater. 2020, 183, 102–106. [Google Scholar] [CrossRef]
- Zhou, X.; Yan, H.; Chen, J.; Xia, W.; Su, B.; Yu, L.; Huang, W.; Song, M. Effects of low temperature aging precipitates on damping and mechanical properties of ZK60 magnesium alloy. J. Alloy. Compd. 2020, 819, 152961. [Google Scholar] [CrossRef]
- Zhao, D.; Chen, X.; Yuan, Y.; Pan, F. Development of a novel Mg-Y-Zn-Al-Li alloy with high elastic modulus and damping capacity. Mater. Sci. Eng. A 2020, 790, 139744. [Google Scholar] [CrossRef]
- Wang, J.F.; Wu, Z.S.; Gao, S.; Lu, R.P.; Qin, D.Z.; Yang, W.X.; Pan, F.S. Optimization of mechanical and damping properties of Mg-0.6Zr alloy by different extrusion processing. J. Magnes. Alloy. 2015, 3, 79–85. [Google Scholar] [CrossRef]
- Wang, J.; Lu, R.; Qin, D.; Huang, X.; Pan, F. A study of the ultrahigh damping capacities in Mg-Mn alloys. Mater. Sci. Eng. A 2013, 560, 667–671. [Google Scholar] [CrossRef]
- Xue, Y.; Cao, H.S.; Qi, F.G. Effect of Y Addition on the Microstructure and Mechanical Properties of ZM31 Alloy. Materials 2020, 13, 583. [Google Scholar] [CrossRef]
- Qin, D.; Wang, J.; Chen, Y.; Lu, R.; Pan, F. Effect of long period stacking ordered structure on the damping capacities of Mg-Ni-Y alloys. Mater. Sci. Eng. A 2015, 624, 9–13. [Google Scholar] [CrossRef]
- Wang, J.; Lu, R.; Wei, W.; Huang, X.; Pan, F. Effect of long period stacking ordered (LPSO) structure on the damping capacities of Mg-Cu-Mn-Zn-Y alloys. J. Alloy. Compd. 2012, 537, 1–5. [Google Scholar] [CrossRef]
- Gröbner, J.; Kozlov, A.; Fang, X.; Geng, J.; Nie, J.; Schmid-Fetzer, R. Phase equilibria and transformations in ternary Mg-rich Mg-Y-Zn alloys. Acta Mater. 2012, 60, 5948–5962. [Google Scholar] [CrossRef]
- Lu, R.; Yao, K.; Zhao, Y.; Jiao, K.; Li, K.; Hou, H. Effect of extrusion on damping and mechanical properties of Mg-Zn-Y alloy. Mater. Res. Express 2020, 7, 076520. [Google Scholar] [CrossRef]
- Lu, R.P.; Wang, J.F.; Chen, Y.L.; Qin, D.Z.; Yang, W.X.; Wu, Z. Effects of heat treatment on the morphology of long-period stacking ordered phase, the corresponding damping capacities and mechanical properties of Mg-Zn-Y alloys. J. Alloys Compd. 2015, 639, 541–546. [Google Scholar] [CrossRef]
- Yan, B.S.; Dong, X.P.; Ma, R. Effects of heat treatment on microstructure, mechanical properties and damping capacity of Mg-Zn-Y-Zr alloy. Mater. Sci. Eng. A 2014, 504, 168–177. [Google Scholar] [CrossRef]
- Ma, R.; Dong, X.P.; Yan, B.S.; Chen, S.Q.; Li, Z.B.; Pan, Z.; Ling, H.J.; Fan, Z.T. Mechanical and damping properties of thermal treated Mg-Zn-Y-Zr alloys reinforced with quasicrystal phase. Mater. Sci. Eng. A 2014, 602, 11–18. [Google Scholar] [CrossRef]
- Ma, Y.; Zhang, J.; Xu, C.; Li, Y.; Zhang, Y.; Zhang, Z. Effect of TiB2-doping on the microstructure and mechanical properties of Mg-Zn-Y-Mn alloy. Mater. Sci. Eng. A 2018, 724, 529–535. [Google Scholar] [CrossRef]
- Zhang, Y.G.; Liu, W.; Zhang, J.S.; Zhu, W.; Ma, Q.Q.; Zong, X.M.; Xu, C.X. Influence of micro-alloying with Cd on growth pattern, mechanical properties and microstructure of as-cast Mg94Y2.5Zn2.5Mn1 alloy containing LPSO structure. Mater. Sci. Eng. A 2019, 748, 294–300. [Google Scholar] [CrossRef]
- Wang, C.; Zhang, H.-Y.; Wang, H.-Y.; Liu, G.-J.; Jiang, Q.-C. Effects of doping atoms on the generalized stacking-fault energies of Mg alloys from first-principles calculations. Scr. Mater. 2013, 69, 445–448. [Google Scholar] [CrossRef]
- Granato, A.; Lüker, K. Theroy of Mechanical Damping Due to Dislocation. J. Appl. Phys. 1956, 276, 583–593. [Google Scholar] [CrossRef]
- Granato, A.; Lücke, K. Application of Dislocation Theory to Internal Friction Phenomena at High Frequencies. J. Appl. Phys. 1956, 27, 789–805. [Google Scholar] [CrossRef]
- Zhang, M.Y.; Yu, Q.; Liu, Z.Q.; Zhang, J.; Tan, G.Q.; Jiao, D.; Zhu, W.J.; Li, S.J.; Zhang, Z.F.; Yang, R.; et al. 3D printed Mg-NiTi interpenetrating-phase composites with high strength, damping capacity, and energy absorption efficiency. Sci. Adv. 2020, 6, eaba5581. [Google Scholar] [CrossRef]
- James, D. High damping metals for engineering applications. Mater. Sci. Eng. 1969, 4, 1–8. [Google Scholar] [CrossRef]
- Tu, T.; Chen, X.; Zhao, C.; Yuan, Y.; Pan, F. A simultaneous increase of elastic modulus and ductility by Al and Li additions in Mg-Gd-Zn-Zr-Ag alloy. Mater. Sci. Eng. A 2020, 771, 138576. [Google Scholar] [CrossRef]
- Wang, J.; Wei, W.-W.; Li, L.; Liang, H.; Pan, F.-S. Effects of Y and Zn on mechanical properties and damping capacity of Mg-Cu-Mn alloy. Trans. Nonferrous Met. Soc. China 2010, 20, 1846–1850. [Google Scholar] [CrossRef]
- Seeger, A. Progress and problems in the understanding of the dislocation relaxation processes in metals. Mater. Sci. Eng. A 2004, 370, 50–66. [Google Scholar] [CrossRef]
- Sugimoto, K.; Niiya, K.; Okamoto, T.; Kishitake, K. A Study of Damping Capacity in Magnesium Alloys. Trans. Jpn. Inst. Met. 1977, 18, 277–288. [Google Scholar] [CrossRef]
- Kê, T.-S. Experimental Evidence of the Viscous Behavior of Grain Boundaries in Metals. Phys. Rev. 1947, 71, 533–546. [Google Scholar] [CrossRef]
- Yu, H.; Xin, Y.; Wang, M.; Liu, Q. Hall-Petch relationship in Mg alloys: A review. J. Mater. Sci. Technol. 2018, 34, 248–256. [Google Scholar] [CrossRef]











| Alloy No. | Nominal Composition (wt.%) | Chemical Composition (wt.%) | |||
|---|---|---|---|---|---|
| Mg-4.9%Zn-8.9%Y-x%Mn | Mg | Zn | Y | Mn | |
| Alloy I | x = 0 | Bal. | 4.42 | 9.50 | - |
| Alloy II | x = 0.33 | Bal. | 4.36 | 9.58 | 0.44 |
| Alloy III | x = 0.66 | Bal. | 4.99 | 9.54 | 0.64 |
| Alloy IV | x = 1 | Bal. | 4.89 | 9.65 | 1.02 |
| Alloy V | x = 1.33 | Bal. | 5.13 | 9.73 | 1.37 |
| Point | Composition (at.%) | |||
|---|---|---|---|---|
| Mg | Zn | Y | Mn | |
| A | 89.34 | 4.39 | 6.27 | 0 |
| B | 77.45 | 1.70 | 5.03 | 15.82 |
| C | 86.81 | 1.98 | 11.21 | 0 |
| D | 97.45 | 0.58 | 1.97 | 0 |
| E | 89.15 | 4.62 | 6.23 | 0 |
| F | 94.99 | 1.98 | 2.70 | 0.33 |
| Alloy No. | Mechanical Properties | ||
|---|---|---|---|
| Ultimate Tensile Strength (MPa) | Yield Stress (MPa) | Elongation (%) | |
| Alloy I | 263 | 140 | 6.8 |
| Alloy II | 253 | 145 | 4.6 |
| Alloy III | 271 | 167 | 5.3 |
| Alloy IV | 282 | 158 | 8.5 |
| Alloy V | 292 | 167 | 9.4 |
Publisher’s Note: MDPI stays neutral with regard to jurisdictional claims in published maps and institutional affiliations. |
© 2020 by the authors. Licensee MDPI, Basel, Switzerland. This article is an open access article distributed under the terms and conditions of the Creative Commons Attribution (CC BY) license (http://creativecommons.org/licenses/by/4.0/).
Share and Cite
Lu, R.; Jiao, K.; Zhao, Y.; Li, K.; Yao, K.; Hou, H. Influence of Long-Period-Stacking Ordered Structure on the Damping Capacities and Mechanical Properties of Mg-Zn-Y-Mn As-Cast Alloys. Materials 2020, 13, 4654. https://doi.org/10.3390/ma13204654
Lu R, Jiao K, Zhao Y, Li K, Yao K, Hou H. Influence of Long-Period-Stacking Ordered Structure on the Damping Capacities and Mechanical Properties of Mg-Zn-Y-Mn As-Cast Alloys. Materials. 2020; 13(20):4654. https://doi.org/10.3390/ma13204654
Chicago/Turabian StyleLu, Ruopeng, Kai Jiao, Yuhong Zhao, Kun Li, Keyu Yao, and Hua Hou. 2020. "Influence of Long-Period-Stacking Ordered Structure on the Damping Capacities and Mechanical Properties of Mg-Zn-Y-Mn As-Cast Alloys" Materials 13, no. 20: 4654. https://doi.org/10.3390/ma13204654
APA StyleLu, R., Jiao, K., Zhao, Y., Li, K., Yao, K., & Hou, H. (2020). Influence of Long-Period-Stacking Ordered Structure on the Damping Capacities and Mechanical Properties of Mg-Zn-Y-Mn As-Cast Alloys. Materials, 13(20), 4654. https://doi.org/10.3390/ma13204654

