Effect of Welding Speed and Post Quenching on the Microstructure and Mechanical Properties of Laser-Welded B1500HS Joints
Abstract
1. Introduction
2. Materials and Methods
2.1. Materials
2.2. Laser Welding
2.3. Microstructure
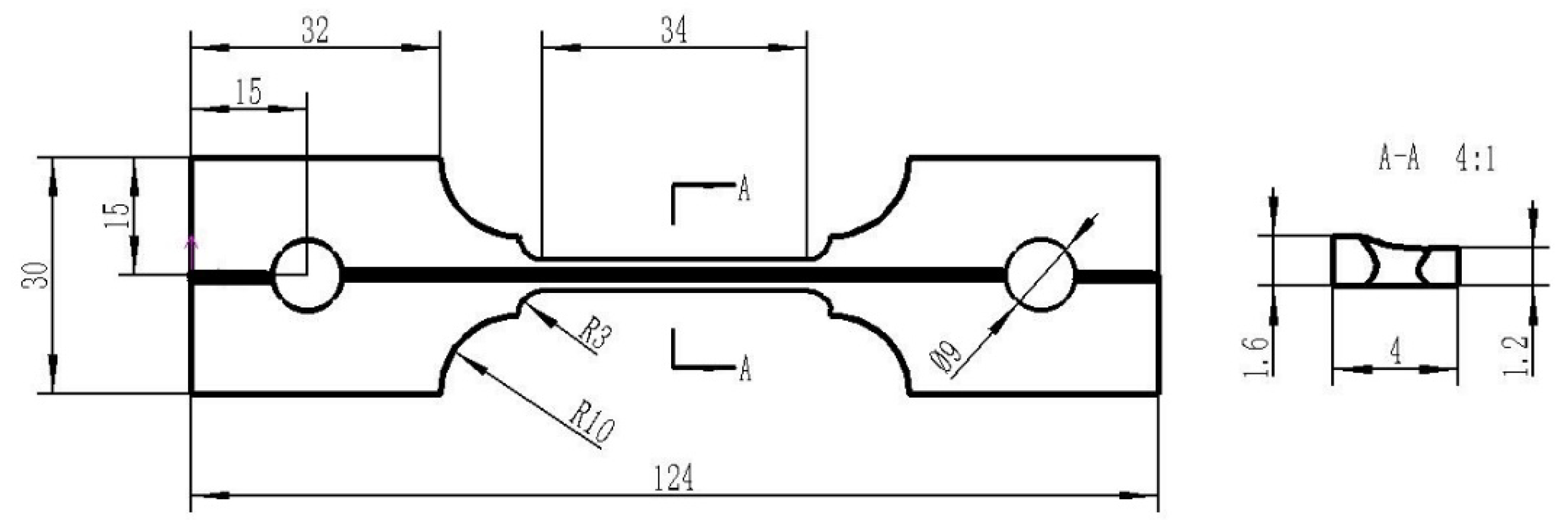
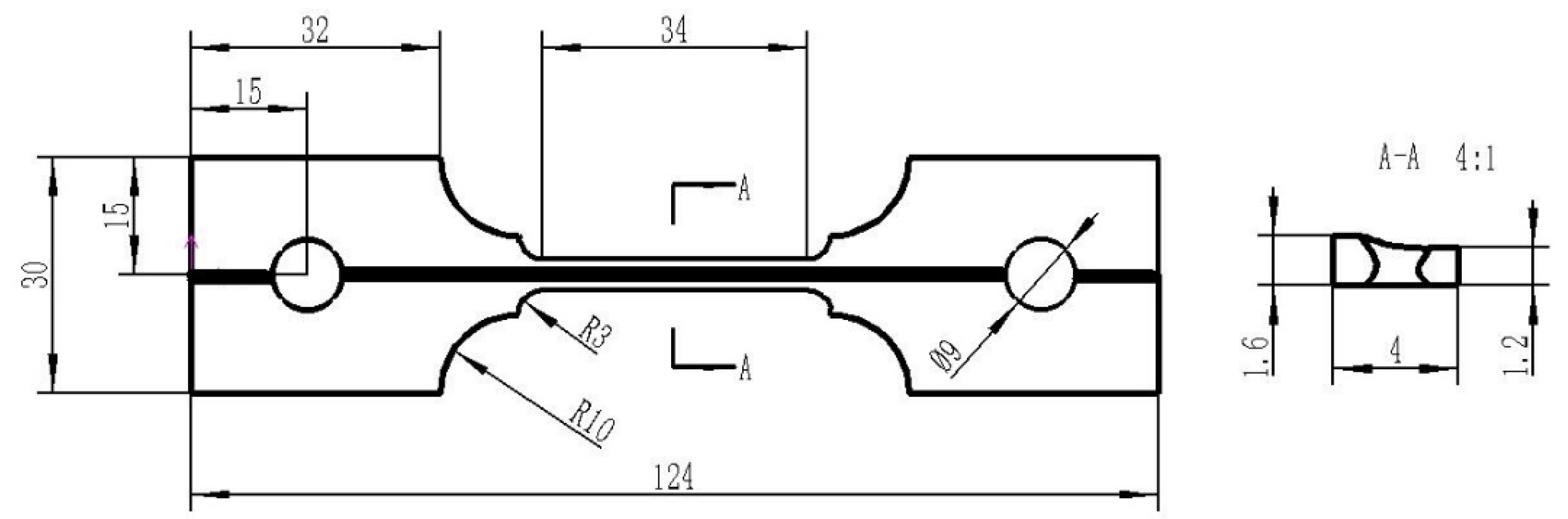
2.4. Mechanical Properties Tests
3. Results and Discussion
3.1. Joint Appearance and Dimension
3.2. Microstructure
3.2.1. Microstructure of Weld Joint before Quenching
3.2.2. Microstructure of Weld Joint after Quenching
3.2.3. Effect of Welding Speed on the Microstructure of Weld Joint
3.3. Microhardness
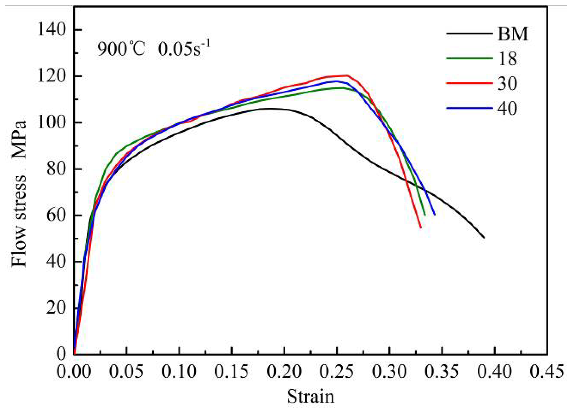
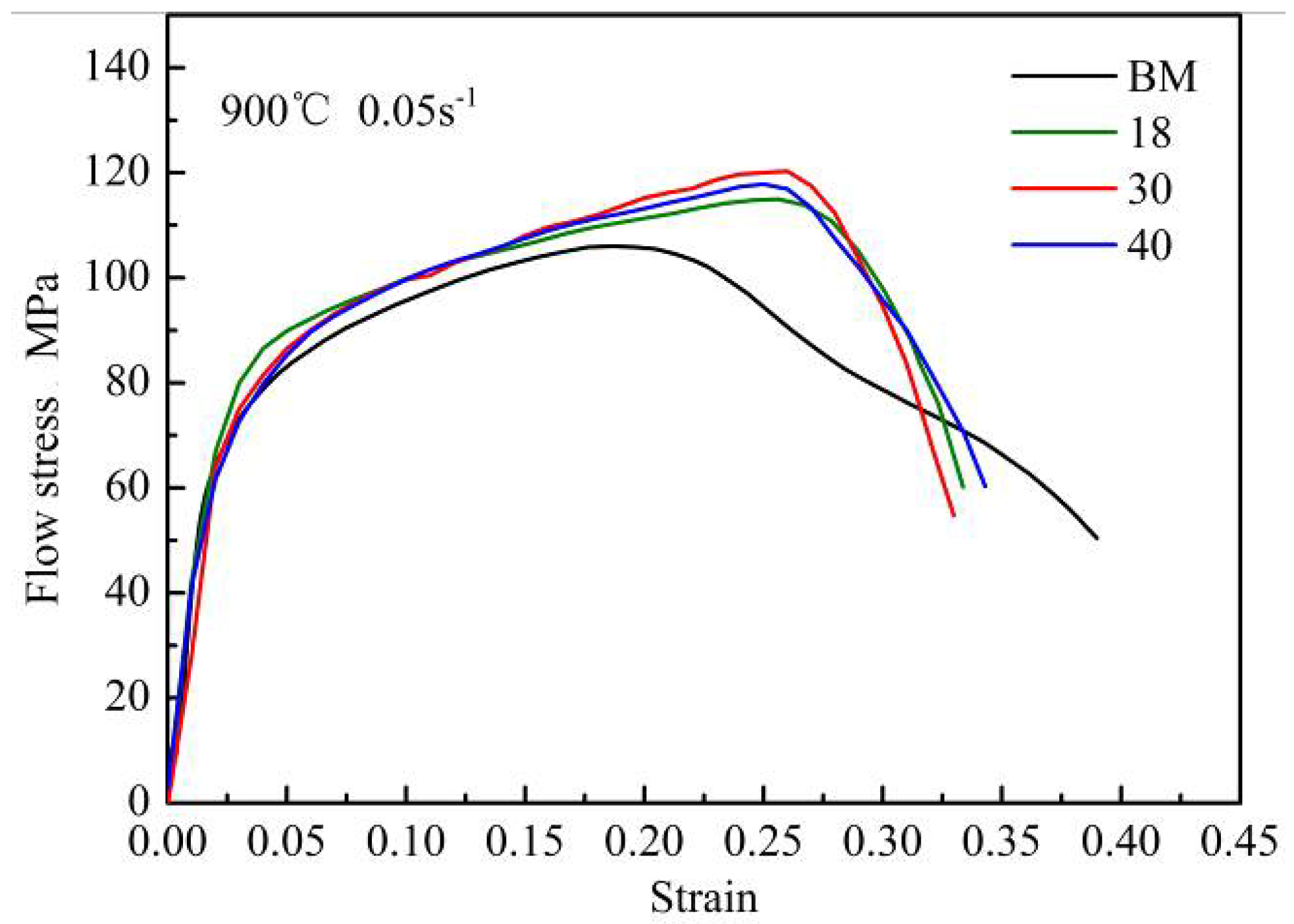
3.4. Tensile Properties at High Temperature
4. Conclusions
Author Contributions
Funding
Conflicts of Interest
References
- Zhu, B.; Liu, Z.; Wang, Y.N. Application of a model for quenching and partitioning in hot stamping of high-strength steel. Metallurg. Mater. Transact. A 2018, 49, 1304–1312. [Google Scholar] [CrossRef]
- Zhang, P.Y.; Zhu, L.; Luo, S.Y.; Luo, J.T. Hot stamping forming and finite element simulation of USIBOR1500 high-strength steel. Int. J. Adv. Manuf. Techno. 2019, 103, 3187–3197. [Google Scholar] [CrossRef]
- Bok, H.H.; Lee, M.G.; Pavlina, E.J.; Barlat, F.; Kim, H.D. Comparative study of the prediction of microstructure and mechanical properties for a hot-stamped B-pillar reinforcing part. Int. J. Mech. Sci. 2011, 53, 744–752. [Google Scholar] [CrossRef]
- Kim, H.Y.; Park, J.K.; Lee, M.G. Phase transformation-based finite element modeling to predict strength and deformation of press-hardened tubular automotive part. Int. J. Adv. Manuf. Technol. 2014, 70, 1787–1801. [Google Scholar] [CrossRef]
- Tang, B.T.; Wang, Q.L.; Wei, Z.J.; Meng, X.J.; Yuan, Z.J. FE simulation models for hot stamping an automobile component with tailor-welded high-strength steels. J. Mater. Eng. Perform. 2016, 25, 1709–1721. [Google Scholar] [CrossRef]
- Riahi, M.; Amini, A. Effect of different combinations of tailor-welded blank coupled with change in weld location on mechanical properties by laser welding. Int. J. Adv. Manuf. Technol. 2013, 67, 1937–1945. [Google Scholar] [CrossRef]
- Oyyaravelu, R.; Kuppan, P.; Arivazhagan, N. Metallurgical and mechanical properties of laser welded high strength low alloy steel. J. Adv. Res. 2016, 7, 463–472. [Google Scholar] [CrossRef] [PubMed]
- Wang, J.F.; Yang, L.J.; Sun, M.S.; Liu, T.; Li, H. Effect of energy input on the microstructure and properties of butt joints in DP1000 steel laser welding. Mater. Design 2016, 90, 642–649. [Google Scholar] [CrossRef]
- Windmann, M.; Röttger, A.; Kugler, H.; Theisen, W. Removal of oxides and brittle coating constituents at the surface of coated hot-forming 22MnB5 steel for a laser welding process with aluminum alloys. Surface Coat. Technol. 2016, 285, 153–160. [Google Scholar] [CrossRef]
- Rossini, M.; Spena, P.R.; Cortese, L.; Matteis, P.; Firrao, D. Investigation on dissimilar laser welding of advanced high strength steel sheets for the automotive industry. Mater. Sci. Eng. A 2015, 628, 288–296. [Google Scholar] [CrossRef]
- Guo, W.; Wan, Z.D.; Peng, P.; Jia, Q.; Zou, G.S.; Peng, Y. Microstructure and mechanical properties of fiber laser welded QP980 steel. J. Mater. Process. Technol. 2018, 256, 229–238. [Google Scholar] [CrossRef]
- Jia, Q.; Guo, W.; Peng, P.; Li, M.G.; Zhu, Y.Z. Microstructure—And strain rate-dependent tensile behavior of fiber laser-welded DP980 steel joint. J. Mater. Eng. Perform. 2016, 25, 668–676. [Google Scholar] [CrossRef]
- Khan, M.M.A.; Romoli, L.; Fiaschi, M.; Dini, G.; Sarri, F. Laser beam welding of dissimilar stainless steels in a fillet joint configuration. J. Mater. Process. Technol. 2012, 212, 856–867. [Google Scholar] [CrossRef]
- Gao, S.L.; Li, Y.T.; Yang, L.J.; Qiu, W.C. Microstructure and mechanical properties of laser-welded dissimilar DP780 and DP980 high-strength steel joints. Mater. Sci. Eng. A 2018, 720, 117–129. [Google Scholar] [CrossRef]
- Sun, Q.; Zheng, Z.; Di, H.S.; Wang, X.N. Microstructure and fracture behavior of laser welded joints of DP steels with different heat inputs. Mater. Sci. Eng. 2017, 699, 18–25. [Google Scholar]
- Alves, P.H.O.M.; Lima, M.S.F.; Raabe, D.; Sandim, H.R.Z. Laser beam welding of dual-phase DP1000 steel. J. Mater. Process. Technol. 2018, 252, 498–510. [Google Scholar] [CrossRef]
- Tang, B.T.; Yuan, Z.J.; Zhang, B.Y.; Xie, H. Characterization of hot stamping and quenching of laser tailor welded blanks of HSLA steel B340LA and boron steel B1500HS. Transact. Mater. Heat Treat. 2013, 34, 62–66. [Google Scholar]
- Luo, C.; Zhao, Y.; Cao, Y.; Zhao, L.; Shan, J.G. Effect of laser heat treatment on bending property of laser welded joints of low-alloy ultra-high strength steel. J. Laser Appl. 2019, 31, 032011. [Google Scholar] [CrossRef]
- Zhang, F.; Li, F.; Hua, X.M.; Wang, X.E.; Chu, W.D.; Wang, D.M. Research of microstructure and mechanical properties of laser tailor-welded blank of cold rolled multi-phase steel and HSLA. Chin. J. Lasers 2015, 42, 149–155. [Google Scholar]
- Behzad, F.; Wayne, S.F.; Gladius, L.; Ebrahim, A. Areview on melt-pool characteristics in laser welding of metals. Adv. Mater. Sci. Eng. 2018, 2018, 1–18. [Google Scholar]
- Jia, J.; Yang, S.L.; Ni, W.Y.; Bai, J.Y. Microstructure and mechanical properties of fiber laser welded joints of ultrahigh-strength steel 22MnB5 and dual-phase steels. J. Mater. Res. 2014, 29, 2565–2575. [Google Scholar] [CrossRef]
- He, L.F. Research on Key Parameter Measuring and Quenching Properties of Boron Steel B1500HS. Ph.D. Thesis, Shandong University, Jinan, China, 20 May 2012. [Google Scholar]
- Ono, M.; Yoshitake, A.; Omura, M. Laser weldability of high-strength steel sheets in fabrication of tailor welded blanks. Weld. Int. 2004, 18, 777–784. [Google Scholar] [CrossRef]
- Li, H.P.; He, L.F.; Yang, X.D. Effect of deformation and cooling on the phase transformation of martensite for B1500HS boron steel. J. Mech. Eng. 2016, 52, 67–74. [Google Scholar] [CrossRef]
- Abdullah, K.; Wild, P.M.; Jeswiet, J.J.; Ghasempoor, A. Tensile testing for weld deformation properties in similar gage tailor welded blanks using the rule of mixtures. J. Mater. Process. Technol. 2001, 112, 91–97. [Google Scholar] [CrossRef]
- Merklein, M.; Johannes, M.; Lechner, M.; Kuppert, A. A review on tailored blanks-production, applications and evaluation. J. Mater. Process. Technol. 2014, 214, 151–164. [Google Scholar] [CrossRef]
- Bandyopadhyay, K.; Panda, S.K.; Saha, P. Investigations into the influence of weld zone on formability of fiber laser-welded advanced high strength steel. J. Mater. Eng. Perform. 2014, 23, 1465–1479. [Google Scholar] [CrossRef]
- Li, M.Y.; Duan, Y.C.; Yao, D.; Guan, Y.P.; Yang, L. Constitutive model and flow behavior of B1500HS high-strength steel during the hot deformation process. Metals 2019, 10, 64. [Google Scholar] [CrossRef]

















| C | Si | Mn | Cr | Ni | Mo | B | Al | Ti | Cu | V | S | P |
|---|---|---|---|---|---|---|---|---|---|---|---|---|
| 0.23 | 0.25 | 1.35 | 0.19 | 0.028 | 0.04 | 0.003 | 0.04 | 0.03 | 0.016 | 0.004 | 0.006 | 0.015 |
| Laser power | 2.5 kW |
| Flow rate of shielding gas | 15 L/min |
| Welding speed | 18, 22, 26, 30, 34, 40, 50 mm/s |
| Defocusing distance | 0 mm |
| Spot size | 0.4 mm |
| Welding Speed mm/s | Elongation |
|---|---|
| 18 | 46.54% |
| 30 | 42.18% |
| 40 | 45.43% |
| BM | 54.85% |
Publisher’s Note: MDPI stays neutral with regard to jurisdictional claims in published maps and institutional affiliations. |
© 2020 by the authors. Licensee MDPI, Basel, Switzerland. This article is an open access article distributed under the terms and conditions of the Creative Commons Attribution (CC BY) license (http://creativecommons.org/licenses/by/4.0/).
Share and Cite
Li, M.; Yao, D.; Guan, Y.; Duan, Y.; Yang, L. Effect of Welding Speed and Post Quenching on the Microstructure and Mechanical Properties of Laser-Welded B1500HS Joints. Materials 2020, 13, 4645. https://doi.org/10.3390/ma13204645
Li M, Yao D, Guan Y, Duan Y, Yang L. Effect of Welding Speed and Post Quenching on the Microstructure and Mechanical Properties of Laser-Welded B1500HS Joints. Materials. 2020; 13(20):4645. https://doi.org/10.3390/ma13204645
Chicago/Turabian StyleLi, Muyu, Dan Yao, Yingping Guan, Yongchuan Duan, and Liu Yang. 2020. "Effect of Welding Speed and Post Quenching on the Microstructure and Mechanical Properties of Laser-Welded B1500HS Joints" Materials 13, no. 20: 4645. https://doi.org/10.3390/ma13204645
APA StyleLi, M., Yao, D., Guan, Y., Duan, Y., & Yang, L. (2020). Effect of Welding Speed and Post Quenching on the Microstructure and Mechanical Properties of Laser-Welded B1500HS Joints. Materials, 13(20), 4645. https://doi.org/10.3390/ma13204645
