TRIP Steels: A Multiscale Computational Simulation and Experimental Study of Heat Treatment and Mechanical Behavior
Abstract
1. Introduction
2. Materials and Modeling of the Heat Treatment
2.1. Selection of Heat Treatment Parameters
2.2. Methodology
2.2.1. Stage I—Intercritical Annealing
2.2.2. Stage II—Isothermal Bainitic Treatment
2.3. Simulation Results of the Heat Treatment
3. Experimental Study
3.1. Heat Treatment
3.2. Evaluation of the Temperature
3.3. Microstructural Characterization
3.4. Retained Austenite Measurements
4. Stability and Transformation Kinetics of Retained Austenite
4.1. Methodology for the Calculation of
4.2. Calculation of and the Effects of the Variants on Austenite Stability
4.3. Transformation Kinetics of Retained Austenite
Calibration of the Model to the Available Experimental Data
5. Description of the Constitutive Model
5.1. The Elastic Part of the Deformation Rate
5.2. Yield Criterion
5.3. The Plastic Part of the Deformation Rate
5.4. The Transformation Part of the Deformation Rate
5.5. The Total Inelastic Deformation Rate
5.6. Evolution of the Volume Fraction of the Phases
5.7. The Elastoplastic Tangent Modulus
6. Comparison of the Constitutive Model with Experimental Data
Experiments
7. Applications
7.1. Necking of a Bar
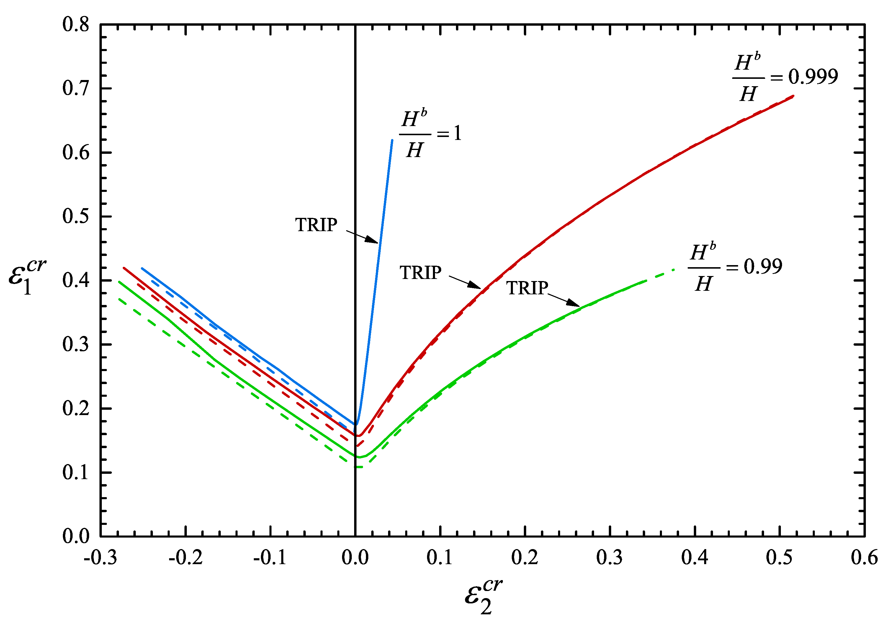
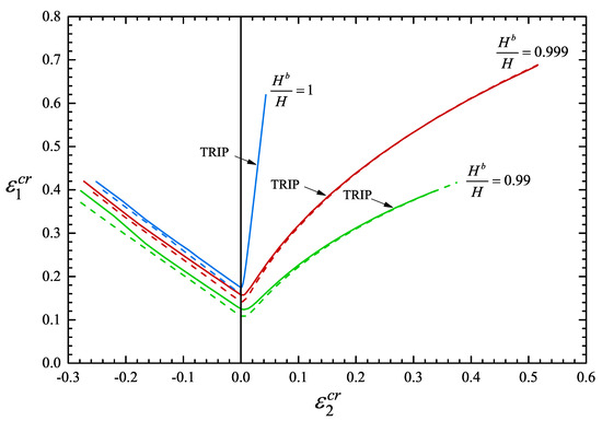
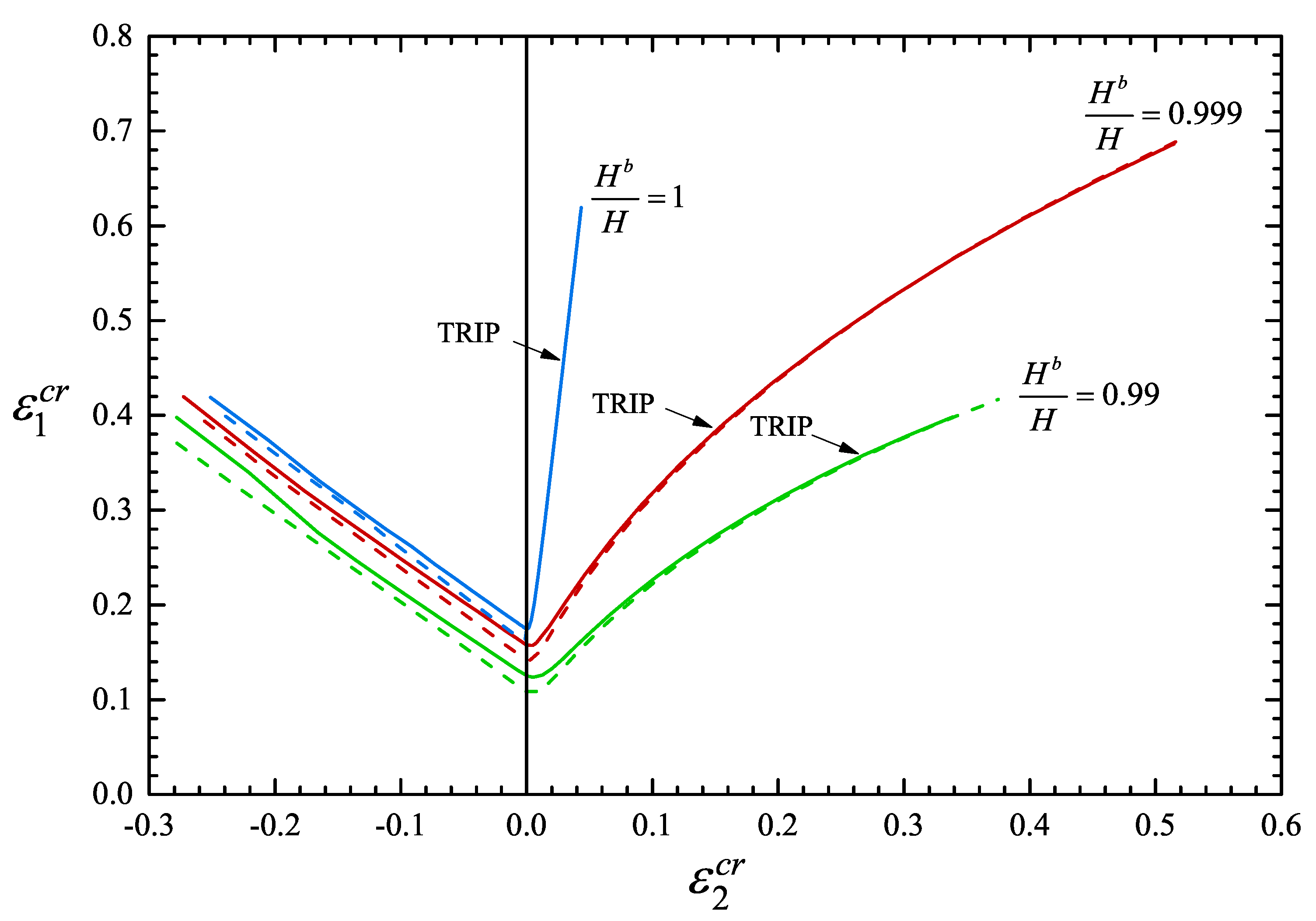
7.2. Forming Limit Diagrams
8. Conclusions
Author Contributions
Funding
Acknowledgments
Conflicts of Interest
Appendix A. Numerical Implementation of the Constitutive Model
Appendix B. Plane Stress Algorithm
References
- Olson, G.B.; Azrin, M. Transformation behavior of TRIP steels. Metall. Trans. A 1978, 9, 713–721. [Google Scholar] [CrossRef]
- Bhadeshia, H.K.D.H. TRIP-Assisted Steels? ISIJ Int. 2002, 42, 1059–1060. [Google Scholar] [CrossRef]
- Jacques, P.J. Transformation-induced plasticity for high strength formable steels. Curr. Opin. Solid State Mater. Sci. 2004, 8, 259–265. [Google Scholar] [CrossRef]
- Sakuma, Y.; Matsumura, O.; Takechi, H. Mechanical properties and retained austenite in intercritically heat-treated bainite-transformed steel and their variation with si and mn additions. Metal. Mater. Trans. A 1991, 22, 489–498. [Google Scholar] [CrossRef]
- Katsamas, A.I.; Vasilakos, A.N.; Haidemenopoulos, G.N. Simulation of intercritical annealing in low-alloy TRIP steels. Steel Res. 2000, 71, 351–356. [Google Scholar] [CrossRef]
- Gavard, L.; Bhadeshia, H.K.D.H.; MacKay, D.J.C.; Suzuki, S. Bayesian neural network model for austenite formation in steels. Mater. Sci. Tech. 1998, 12, 453–463. [Google Scholar] [CrossRef]
- Zheng, C.; Raabe, D. Interaction between recrystallization and phase transformation during intercritical annealing in a cold-rolled dual-phase steel: A cellular automaton model. Acta Mater. 2013, 61, 5504–5517. [Google Scholar] [CrossRef]
- Matsuda, H.; Bhadeshia, H.K.D.H. Kinetics of the bainite transformation. Proc. R. Soc. A Math. Phys. Eng. Sci. 2004, 460, 1707–1722. [Google Scholar] [CrossRef]
- Azuma, M.; Fujita, N.; Takahashi, M.; Senuma, T.; Quidort, D.; Lung, T. Modelling upper and lower bainite trasformation in steels. ISIJ Int. 2005, 45, 221–228. [Google Scholar] [CrossRef]
- Toloui, M.; Militzer, M. Phase field modeling of the simultaneous formation of bainite and ferrite in TRIP steel. Acta Mater. 2018, 144, 786–800. [Google Scholar] [CrossRef]
- Yeddu, H.K.; Malik, A.; Agren, J.; Amberg, G.; Borgenstam, A. Three-dimensional phase-field modeling of martensitic microstructure evolution in steels. Acta Mater. 2012, 60, 1538–1547. [Google Scholar] [CrossRef]
- Wang, J.; Van Der Zwaag, S. Stabilization mechanisms of retained austenite in transformation-induced plasticity steel. Metall. Mater. Trans. A 2001, 32A, 1527–1539. [Google Scholar] [CrossRef]
- Kim, S.J.; Lee, C.G.; Choi, I.; Lee, S. Effects of heat treatment and alloying elements on the microstructure and mechanical properties of 0.15 wt pct C transformation-induced plasticity-aided cold rolled steel sheet. Metall. Trans. A 2001, 32A, 505–514. [Google Scholar] [CrossRef]
- Livitsanos, C.P.; Thomson, P.F. The effect of temperature and deformation rate on transformation-dependent ductility of a metastable austenitic stainless steel. Mater. Sci. Eng. 1977, 30, 93–98. [Google Scholar] [CrossRef]
- Haidemenopoulos, G.N.; Vasilakos, A.N. Modelling of austenite stability in low-alloy triple-phases steels. Steel Res. 1996, 67, 513–519. [Google Scholar] [CrossRef]
- Samek, L.; De Moor, E.; Penning, J.; De Cooman, B.C. Influence of alloying elements on the kinetics of strain-induced martensitic nucleation in low-alloy, multiphase high-strength steels. Metall. Mater. Trans. A 2006, 37, 109–124. [Google Scholar] [CrossRef]
- Haidemenopoulos, G.N.; Aravas, N.; Bellas, I. Kinetics of strain-induced transformation of dispersed austenite in low-alloy TRIP steels. Mater. Sci. Eng. A 2014, 615, 416–423. [Google Scholar] [CrossRef]
- Stringfellow, R.G.; Parks, D.M.; Olson, G.B. A constitutive model for transformation plasticity accompanying strain-induced martensitic transfrmation in metastable austenitic steels. Acta Metall. Mater. 1992, 40, 1703–1716. [Google Scholar] [CrossRef]
- Papatriantafillou, I.; Agoras, M.; Aravas, N.; Haidemenopoulos, G.N. Constitutive modeling and finite element methods for TRIP steels. Comp. Methods Appl. Mech. Eng. 2006, 195, 5094–5114. [Google Scholar] [CrossRef]
- Han, H.N.; Lee, C.G.; Oh, C.-S.; Lee, T.-H.; Kim, S.-J. A model for deformation behavior and mechanically induced martensitic transformation ofmetastable austenitic steel. Acta Mater. 2004, 52, 5203–5214. [Google Scholar] [CrossRef]
- Zhu, R.; Li, S.; Karaman, I.; Arroyave, R.; Niendorf, T.; Maier, H.J. Multi-phase microstructure design of a low-alloy TRIP-assisted steel through a combined computational and experimental methodology. Acta Mater. 2012, 60, 3022–3033. [Google Scholar] [CrossRef]
- Li, S. A Computational-Based Approach for the Design of TRIP Steels. Ph.D. Thesis, Texas A&M University of Texas, College Station, TX, USA, 2013. [Google Scholar]
- Ponte Castañeda, P. The effective mechanical properties of nonlinear isotropic composites. J. Mech. Phys. Solids 1991, 39, 45–71. [Google Scholar] [CrossRef]
- Ponte Castañeda, P. Nonlinear composite materials: Effective constitutive behavior and microstructure evolution. In Continuum Micromechanics; CISM Courses and Lectures No. 377; Suquet, P., Ed.; Springer: Berlin, Germany, 1997; pp. 131–195. [Google Scholar]
- Ponte Castañeda, P. Nonlinear composites. Adv. Appl. Mech. 1998, 34, 171–302. [Google Scholar]
- Papadioti, I.; Danas, K.; Aravas, N. A methodology for the estimation of the effective yield function of isotropic composites. Int. J. Solids Struct. 2016, 87, 120–138. [Google Scholar] [CrossRef]
- Andersson, J.O.; Helander, T.; Höglund, L.; Shi, P.; Sundman, B. THERMO-CALC & DICTRA, Computational Tools For Materials Science. Calphad 2002, 26, 273–312. [Google Scholar]
- Steinbach, I.; Pezzolla, F.; Nestler, B.; Seeßelberg, M.; Prieler, R.; Schmitz, G.J.; Rezende, J.L.L. A phase field concept for multiphase systems. Phys. D 1996, 94D, 135–147. [Google Scholar]
- Tiaden, J.; Nestler, B.; Diepers, H.J.; Steinbach, I. The multiphase-field model with an integrated concept for modelling solute diffusion. Phys. D. 1998, 115, 73–86. [Google Scholar] [CrossRef]
- Böttger, B.; Eiken, J.; Steinbach, I. Phase field simulation of equiaxed solidification in technical alloys. Acta Mater. 2006, 54, 2697–2704. [Google Scholar] [CrossRef]
- Eiken, J.; Böttger, B.; Steinbach, I. Multiphase-field approach for multicomponent alloys with extrapolation scheme for numerical application. Phys. Rev. E Stat. Nonlinear Soft Matter Phys. 2006, 73, 1–9. [Google Scholar] [CrossRef]
- The MICRostructure Evolutions Simulation (MICRESS). Available online: www.micress.de (accessed on 2 January 2019).
- Militzer, M.; Mecozzi, M.G.; Sietsma, J.; Van der Zwaag, S. Three-dimensional phase field modelling of the austenite-to-ferrite transformation. Acta Mater. 2006, 54, 3961–3972. [Google Scholar] [CrossRef]
- Huang, J.; Poole, W.J.; Militzer, M. Austenite formation during intercritical annealing. Metall. Mater. Trans. A Phys. Metall. Mater. Sci. 2004, 35, 3363–3375. [Google Scholar] [CrossRef]
- Zhu, B. Phase-Field Modeling of Microstructure Evolution in Low-Carbon Steels During Intercritical Annealing. Ph.D. Thesis, The University of British Columbia, Vancouver, BC, Canada, 2015. [Google Scholar]
- Kulakov, M. Microstructure Evolution During Intercritical Annealing of a Mn-Cr Dual-Phase Steel. Ph.D. Thesis, The University of British Columbia, Vancouver, BC, Canada, 2013. [Google Scholar]
- Tzini, M.I.T.; Karamichailidou, D.A.; Haidemenopoulos, G.N. Grain size evolution during multipass hot-rolling of C-Mn steels: Comparison of phase field and extended JMAK modeling. Steel Res. 2018, 89, 1–13. [Google Scholar] [CrossRef]
- Azizi-Alizamini, H. Austenite Formation and Grain Refinement in C-Mn Steels. Ph.D. Thesis, The University of British Columbia, Vancouver, BC, Canada, 2010. [Google Scholar]
- Nakajima, K.; Apel, M.; Ingo Steinbach, I. The role of carbon diffusion in ferrite on the kinetics of cooperative growth of pearlite: A multi-phase field study. Acta Mater. 2006, 54, 3665–3672. [Google Scholar] [CrossRef]
- Savran, V.I. Austenite Formation in C-Mn Steel. Ph.D. Thesis, Delft University of Technology, Delft, The Netherlands, 2009. [Google Scholar]
- Thiessen, R.G. Physically-Based Modelling of Material Response to Welding Austenite Formation in C-Mn Steel. Ph.D. Thesis, Delft University of Technology, Delft, The Netherlands, 2006. [Google Scholar]
- Speich, G.R.; Demarest, V.A.; Miller, R.L. Formation of austenite during intercritical annealing of dual-phase steels. Metall. Mater. Trans. A 1981, 12, 1419–1428. [Google Scholar] [CrossRef]
- Bhadeshia, H.K.D.H. Bainite in Steels Theory and Practice, 3rd ed.; CRC Press: Wakefield, UK, 2006; ISBN 978-1-909662-74-2. [Google Scholar]
- Song, W.; Prahl, U.; Ma, Y.; Bleck, W. Multiphase-field simulation of cementite precipitation during isothermal lower bainitic transformation. Steel Res. Int. 2018, 89, 1–6. [Google Scholar] [CrossRef]
- Verbeken, K.; Barbé, L.; Raabe, D. Evaluation of the crystallographic orientation relationships between FCC and BCC phases in TRIP steels. ISIJ Int. 2009, 49, 1601–1606. [Google Scholar] [CrossRef]
- Garcia-Mateo, C.; Caballero, F.G.; Bhadeshia, H.K.D.H. Low temperature bainite. J. Phys. IV 2003, 112, 285–288. [Google Scholar] [CrossRef]
- Unemoto, M.; Guo, Z.H.; Tamura, I. Effect of cooling rate on grain size of ferrite in a carbon steel. Mater. Sci. Technol. 1987, 3, 249–255. [Google Scholar] [CrossRef]
- Haidemenopoulos, G.N.; Kermanidis, A.T.; Malliaros, C.; Dickert, H.H.; Kucharzyk, P.; Bleck, W. On the effect of austenite stability on high cycle fatigue of TRIP 700 steel. Mater. Sci. Eng. A 2013, 573, 7–11. [Google Scholar] [CrossRef]
- Vasilakos, A.N.; Papamantellos, K.; Haidemenopoulos, G.N.; Bleck, W. Experimental determination of the stability of retained austenite in low alloy TRIP steels. Steel Res. 1999, 70, 466–471. [Google Scholar] [CrossRef]
- Russ, J.C. The Image Processing Handbook, 6th ed.; CRC Press: Boca Raton, FL, USA, 2011. [Google Scholar]
- Christodoulou, P.I.; Kermanidis, A.T.; Krizan, D. Fatigue behavior and retained austenite transformation of Al-containing TRIP steels. Int. J. Fatigue 2016, 91, 220–231. [Google Scholar] [CrossRef]
- Wirth, E.; Pichler, A.; Angerer, R.; Staszny, P.; Hauzenberger, K.; Titovets, Y.F.; Hackl, M. Determination of the volume amount of retained austenite and ferrite in small specimens by magnetic measurements. In Proceedings of the International Conference on TRIP-Aided High Strength Ferrous Alloys, Ghent, Belgium, 19–21 June 2002; pp. 61–64. [Google Scholar]
- Shen, Y.F.; Qiu, L.N.; Sun, X.; Zuo, L.; Liaw, P.K.; Raabe, D. Effects of retained austenite volume fraction, morphology, and carbon content on strength and ductility of nanostructured TRIP-assisted steels. Mater. Sci. Eng. A 2015, 636, 551–564. [Google Scholar] [CrossRef]
- Vasilakos, A.N.; Ohlert, J.; Giasla, K.; Haidemenopoulos, G.N.; Bleck, W. Low alloy TRIP steels: A correlation between mechanical properties and retained austenite stability. Steel Res. Int. 2002, 73, 249–252. [Google Scholar] [CrossRef]
- Haidemenopoulos, G.N.; Grujicic, M.; Olson, G.B.; Cohen, M. Transformation microyielding of retained austenite. Acta Mater. 1989, 37, 1677–1682. [Google Scholar] [CrossRef]
- Olson, G.B.; Cohen, M. A mechanism for the strain-induced martensitic transformations. J. Less-Common Met. 1972, 28, 107–118. [Google Scholar] [CrossRef]
- Olson, G.B.; Cohen, M. A general mechanism of martensitic nucleation: Part I. General concepts and the FCC ⟶ HCP transformation. Metall. Trans. A 1976, 7, 1897–1904. [Google Scholar]
- Olson, G.B.; Cohen, M. A general mechanism of martensitic nucleation: Part II. FCC ⟶ BCC and other martensitic transformations. Metall. Trans. A 1976, 7, 1905–1914. [Google Scholar]
- Olson, G.B.; Cohen, M. A general mechanism of martensitic nucleation: Part III. Kinetics of martensitic nucleation. Metall. Trans. A 1978, 7, 1915–1923. [Google Scholar] [CrossRef]
- Patel, J.R.; Cohen, M. Criterion for the action of applied stress in the martensitic transformation. Acta Metall. 1953, 1, 531–538. [Google Scholar] [CrossRef]
- Olson, G.B.; Tsuzaki, K.; Cohen, M. Statistical aspects of martensitic nucleation. MRS Proc. 1987, 57, 129–148. [Google Scholar] [CrossRef]
- Cech, R.E.; Turnbull, D. Heterogeneous nucleation of the martensite transformation. Trans. AIME 1956, 206, 124–132. [Google Scholar] [CrossRef]
- Cohen, M.; Olson, G.B. Martensitic nucleation and the role of the nucleating defect. In New Aspects of Martensitic Transformation; Japan Institute of Metals: Tokyo, Japan, 1976; Volume 17, pp. 93–98. [Google Scholar]
- Bolling, G.F.; Richman, R.H. The plastic deformation-transformation of paramagnetic F.C.C Fe-Ni-C alloys. Acta Metall. 1970, 18, 673–681. [Google Scholar] [CrossRef]
- Olson, G.B.; Cohen, M. Stress-assisted isothermal martensitic transformation: Application to TRIP steels. Metall. Trans. A 1982, 13, 1907–1914. [Google Scholar] [CrossRef]
- Haidemenopoulos, G.N.; Grujicic, M.; Olson, G.B.; Cohen, M. Thermodynamics-based alloy design criteria for austenitic stabilization and transformation toughening in the Fe-Ni-Co system. J. Alloy. Compd. 1995, 220, 142–147. [Google Scholar] [CrossRef]
- Haidemenopoulos, G.N.; Constantinou, M.; Kamoutsi, H.; Krizan, D.; Bellas, I.; Koutsokeras, L.; Constantinides, G. Probing the evolution of retained austenite in TRIP steel during strain-induced transformation: A multitechnique investigation. JOM 2018, 70, 924–928. [Google Scholar] [CrossRef]
- Bellas, I. Study of Strain-Induced Transformation in Low-Alloy TRIP Steels. Master’s Thesis, University of Thessaly, Volos, Greece, 2015. Available online: http://ir.lib.uth.gr/bitstream/handle/11615/46156/14153.pdf?sequence=1&isAllowed=y (accessed on 20 January 2019).
- Kuroda, Y. Kinetics of Deformation-Induced Transformation of Dispersed Austenite in Two Alloy Systems. Master’s Thesis, Massachusetts Institute of Technology, Cambridge, MA, USA, 1987. [Google Scholar]
- Papadioti, I. Non-Linear Homogenization Theories with Applications to TRIP Steels. Ph.D. Thesis, University of Thessaly, Volos, Greece, 2016. [Google Scholar]
- Kaufman, E.H.; Leeming, D.J.; Taylor, G.D. An ODE-based approach to nonlin- early constrained minimax problems. Numer. Algorithms 1995, 9, 25–37. Available online: www.netlib.org/cgi-bin/search.pl (accessed on 15 January 2019). [CrossRef]
- Dafalias, Y.F. The plastic spin. J. Appl. Mech. 1985, 52, 249–256. [Google Scholar] [CrossRef]
- Technical Steel Research: Modeling of Mechanical Properties and Local Deformation of High-Strength Multi-Phase Steels; Final Report; Contract No. 7210-Pr/044; European Commission: Brussels, Belgium, 2002.
- Blondé, R.; Jimenez-Melero, E.; Zhao, L.; Schell, N.; Bruck, E.; van der Zwaag, S.; van Dijk, N.H. The mechanical stability of retained austenite in low-alloyed TRIP steel under shear loading. Mater. Sci. Eng. A 2014, 594, 125–134. [Google Scholar] [CrossRef]
- Yeddu, H.K.; Borgenstam, A.; Agren, J. Stress-assisted martensitic transformations in steels: A 3-D phase-field study. Acta Mater. 2013, 61, 2595–2606. [Google Scholar] [CrossRef]
- Christodoulou, P.I.; Kermanidis, A.T.; Haidemenopoulos, G.N.; Krizan, D.; Polychronopoulou, K. Effect of retained austenite stability on cyclic deformation behavior of low-alloy transformation-induced plasticity steels. Fatigue Fract. Eng. Mater. Struct. 2019, 42, 1085–1099. [Google Scholar] [CrossRef]
- Chiang, J.; Boyd, J.D.; Pilkey, A.K. Effect of microstructure on retained austenite stability and tensile behaviour in an aluminum-alloyed TRIP steel. Mater. Sci. Eng. A 2015, 638, 132–142. [Google Scholar] [CrossRef]
- Chiang, J.; Lawrence, B.; Boyd, J.D.; Pilkey, A.K. Effect of microstructure on retained austenite stability and work hardening of TRIP steels. Mater. Sci. Eng. A 2011, 528, 4516–4521. [Google Scholar] [CrossRef]
- Olson, G.B.; Cohen, M. Kinetics of strain-induced martensitic nucleation. Metall. Trans. A 1975, 6, 791–795. [Google Scholar] [CrossRef]
- Papatriantafillou, I. TRIP Steels: Constitutive Modeling and Computational Issues. Ph.D. Thesis, University of Thessaly, Volos, Greece, 2005. [Google Scholar]
- Hadamard, J. Leçons Sur La Propagation Des Ondes Et Les équations De L’ Hydrodynamique; Libraire Scientifique A, Hermann: Paris, France, 1903. [Google Scholar]
- Hill, R. Discontinuity relations in mechanics of solids. In Progress in Solid Mechanics; Sneddon, I.N., Hill, R., Eds.; North Holland Publ. Co.: Amsterdam, The Netherlands, 1961; Volume II, Chapter 6; pp. 247–276. [Google Scholar]
- Rice, J.R. The localization of plastic deformation. In Proceedings of the 14th International Congress on Theoretical and Applied Mechanics, Delft, The Netherlands, 30 August–4 September 1976; pp. 207–220. [Google Scholar]
- Marciniak, Z.; Kuczynski, K. Limit strains in the process of stretch forming sheet metal. Int. J. Mech. Sci. 1967, 9, 609–620. [Google Scholar] [CrossRef]
- Tvergaard, V. Effect of kinematic hardening on localized necking in biaxially stretched sheets. Int. J. Mech. Sci. 1978, 20, 651–658. [Google Scholar] [CrossRef]
- Tvergaard, V. Bifurcation and imperfection sensitivity at necking instabilities. Zeitschrift fuer Angewandte Mathematik und Mechanik 1980, 60, T26–T34. [Google Scholar]
- Needleman, A.; Tvergaard, V. Limits to formability in rate-sensitive metal sheets. In Mechanical Behavior of Materials—IV; Carlsson, J., Ohlson, N.G., Eds.; Pergamon Press: Oxford, UK, 1984; pp. 51–65. [Google Scholar]
- Aravas, N.; Ponte Castañeda, P. Numerical methods for porous metals with deformation-induced anisotropy. Comp. Methods Appl. Mech. Eng. 2004, 193, 3767–3805. [Google Scholar] [CrossRef]



















| C | Mn | Si | Al |
|---|---|---|---|
| 0.202 | 1.99 | 0.348 | 1.07 |
| 0.5 | 0.9 | 1 | 0.4 | 0.5 | 0.7 | |
| 2.4 | 3.2 | 3.9 | 2.5 | 3.3 | 2.6 | |
| 150 | 200 | 200 | 162.5 | 162.5 | 185 |
| [MPa] | [MPa] | [%] | [%] | n | K [MPa] | |
|---|---|---|---|---|---|---|
| TRIP700 | 530 | 762 | 28.6 | 25.14 | 0.166 | 1182 |
© 2020 by the authors. Licensee MDPI, Basel, Switzerland. This article is an open access article distributed under the terms and conditions of the Creative Commons Attribution (CC BY) license (http://creativecommons.org/licenses/by/4.0/).
Share and Cite
Papadioti, I.; Bellas, I.; Tzini, M.-I.T.; Christodoulou, P.I.; Aravas, N. TRIP Steels: A Multiscale Computational Simulation and Experimental Study of Heat Treatment and Mechanical Behavior. Materials 2020, 13, 458. https://doi.org/10.3390/ma13020458
Papadioti I, Bellas I, Tzini M-IT, Christodoulou PI, Aravas N. TRIP Steels: A Multiscale Computational Simulation and Experimental Study of Heat Treatment and Mechanical Behavior. Materials. 2020; 13(2):458. https://doi.org/10.3390/ma13020458
Chicago/Turabian StylePapadioti, Ioanna, Ilias Bellas, Maria-Ioanna T. Tzini, Peter I. Christodoulou, and Nikolaos Aravas. 2020. "TRIP Steels: A Multiscale Computational Simulation and Experimental Study of Heat Treatment and Mechanical Behavior" Materials 13, no. 2: 458. https://doi.org/10.3390/ma13020458
APA StylePapadioti, I., Bellas, I., Tzini, M.-I. T., Christodoulou, P. I., & Aravas, N. (2020). TRIP Steels: A Multiscale Computational Simulation and Experimental Study of Heat Treatment and Mechanical Behavior. Materials, 13(2), 458. https://doi.org/10.3390/ma13020458

