Dual and Multi-Emission Hybrid Micelles Realized through Coordination-Driven Self-Assembly
Abstract
1. Introduction
2. Materials and Methods
2.1. Materials and Characterization
2.2. Synthesis of QDs
2.3. Synthesis of RAFT Reagent trithiocarbonate S-1-dodecyl-S’-(α,α’-dimethyl-α”-acetic acid) (DDMAT)
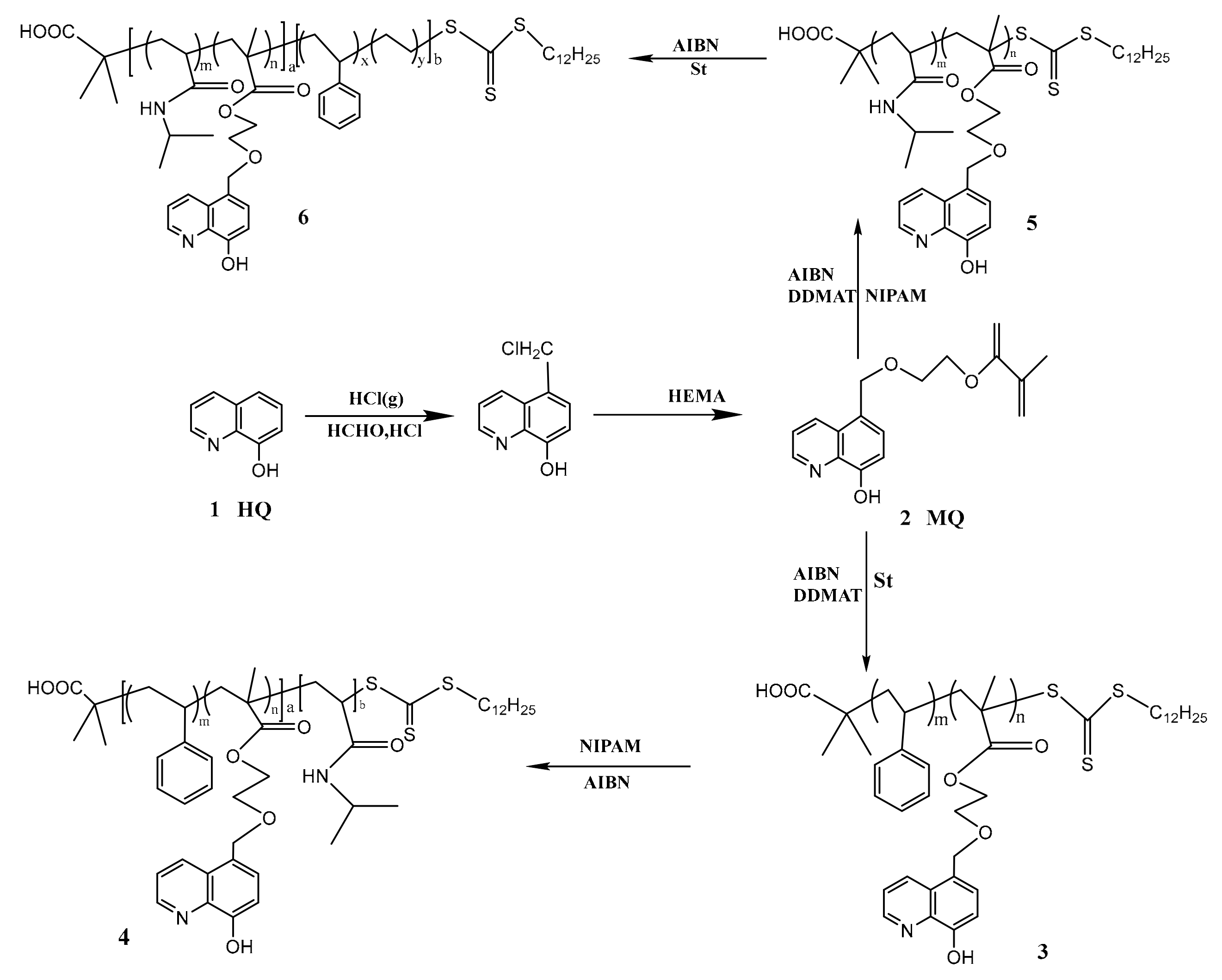
2.4. Synthesis of Amphiphilic Macromolecular Ligands
2.4.1. Synthesis of P(MQ-co-St)-b-PNIPAM
2.4.2. Synthesis of P(MQ-co-NIPAM)-b-PS
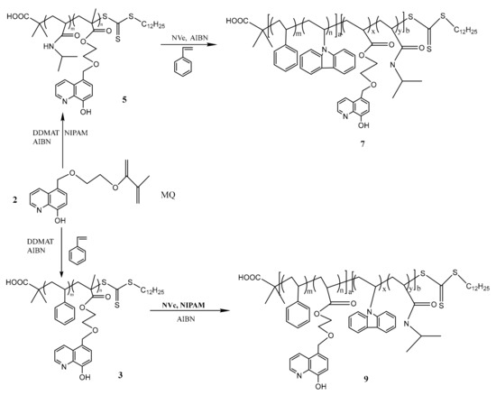
2.5. Synthesis of Amphiphilic Blue Light Macromolecular Ligands
2.6. Preparation of Coordination Micelles
2.7. Preparation of Dual-Emission Micelles
2.8. Preparation of White Light Emission Micelle
3. Results and Discussion
3.1. Preparation of CdSe/ZnS and CdTe/ZnS QDs
3.2. Preparation of Amphiphilic Macromolecular Ligands
3.3. Preparation of Coordination Micelles
3.4. Dual-Emission Micelle
3.4.1. CdSe/ZnS@M4
3.4.2. M6@CdTe/ZnS
3.5. White Light Emission Micelles
4. Conclusions
Supplementary Materials
Author Contributions
Funding
Conflicts of Interest
References
- Sutthira, S.; Kajornsak, F.; Kenneth, B.W.; Fumio, S. Thermo-responsive micelles prepared from brush-like block copolymers of proline- and oligo(lactide)-functionalized norbornenes. Polymer 2019, 177, 178–188. [Google Scholar]
- Thomas, S.; Hannah, L.; Marzia, M.; Miriam, V.F.-M.; Lorena, R.-P.; Giuseppe, B. Block copolymer nanostructures. Nano Today 2008, 3, 38–46. [Google Scholar]
- Man, Y.; Li, X.; Li, S.; Yang, Z.; Lee, Y.; Liu, H. Effects of hydrophobic/hydrophilic blocks ratio on PS-b-PAA self assembly in solutions, in emulsions, and at the interfaces. Colloids Surf. A Phys. Eng. Asp. 2019, 580, 123684. [Google Scholar] [CrossRef]
- Mejías, F.J.R.; Gutiérrez, M.T.; Durán, A.G.; Molinillo, J.M.G.; Valdivia, M.M.; Macías, F.A. Provitamin supramolecular polymer micelle with pH responsiveness to control release, bioavailability enhancement and potentiation of cytotoxic efficacy. Colloids Surf. B Biointerfaces 2019, 173, 85–93. [Google Scholar] [CrossRef] [PubMed]
- Yang, C.; Pang, X.; Chen, W.; Wang, X. Environmentally responsive dual-targeting nanotheranostics for overcoming cancer multidrug resistance. Sci. Bull. 2019, 64, 705–714. [Google Scholar] [CrossRef]
- Šimek, M.; Hermannová, M.; Šmejkalová, D.; Foglová, T.; Souček, K.; Binó, L.; Velebný, V. LC–MS/MS study of in vivo fate of hyaluronan polymeric micelles carrying doxorubicin. Carbohydr. Polym. 2019, 209, 181–189. [Google Scholar] [CrossRef] [PubMed]
- Gao, Q.-Q.; Zhang, C.-M.; Zhang, E.-X.; Chen, H.-Y. Zwitterionic pH-responsive hyaluronic acid polymer micelles for delivery of doxorubicin. Colloids Surf. B Biointerfaces 2019, 178, 412–420. [Google Scholar] [CrossRef] [PubMed]
- Yang, Q.; Li, J.; Wang, X.; Peng, H.; Xiong, H.; Chen, L. Dual-emission color-controllable nanoparticle based molecular imprinting ratiometric fluorescence sensor for the visual detection of Brilliant Blue. Sens. Actuators B Chem. 2019, 284, 428–436. [Google Scholar] [CrossRef]
- Xiao, X.; He, S.; Dan, M.; Huo, F.; Zhang, W. Nanoparticle-to-vesicle and nanoparticle-to-toroid transitions of pH-sensitive ABC triblock copolymers by in-to-out switch. Chem. Commun. 2014, 50, 3969–3972. [Google Scholar] [CrossRef]
- Dan, M.; Huo, F.; Xiao, X.; Su, Y.; Zhang, W. Temperature-Sensitive Nanoparticle-to-Vesicle Transition of ABC Triblock Copolymer Corona–Shell–Core Nanoparticles Synthesized by Seeded Dispersion RAFT Polymerization. Macromolecules 2014, 47, 1360–1370. [Google Scholar] [CrossRef]
- Feng, A.; Yan, Q.; Zhang, H.; Peng, L.; Yuan, J. Electrochemical redox responsive polymeric micelles formed from amphiphilic supramolecular brushes. Chem. Commun. 2014, 50, 4740–4742. [Google Scholar] [CrossRef] [PubMed]
- Jancar, J.; Douglasc, J.F.; Starr, F.W.; Kumard, S.K.; Cassagnaue, P.; Lesserg, A.J.; Sternsteinh, S.S.; Buehler, M.J. Current issues in research on structure—Property relationships in polymer nanocomposites. Polymer 2010, 51, 3321–3343. [Google Scholar] [CrossRef]
- Schmidt, G.; Malwitz, M.M. Properties of polymer-nanoparticle composites. Curr. Opin. Colloid Interface Sci. 2003, 8, 103–108. [Google Scholar] [CrossRef]
- Tan, M.; Shi, Y.; Fu, Z.; Yang, W. In situ synthesis of diblock copolymer nano-assemblies via dispersion RAFT polymerization induced self-assembly and Ag/copolymer composite nanoparticles. Polym. Chem. 2018, 9, 1082–1094. [Google Scholar] [CrossRef]
- Ribeiro, T.; Prazeres, T.J.V.; Moffitt, M.; Farinha, J.P. Enhanced Photoluminescence from Micellar Assemblies of Cadmium Sulfide Quantum Dots and Gold Nanoparticles. J. Phys. Chem. C 2013, 117, 3122–3133. [Google Scholar] [CrossRef]
- Zhou, J.; Zha, X. Synthesis and Pickering emulsifier performance of Ag/poly( (2-dimethylamino) ethyl methacrylate)-co-poly( hexafluorobutyl acrylate) amphiphilic random copolymer hybrid micelles. React. Funct. Polym. 2019, 137, 46–56. [Google Scholar] [CrossRef]
- Pereira, S.O.; Trindade, T.; Barros-Timmons, A. Impact of critical micelle concentration of macroRAFT agents on the encapsulation of colloidal Au nanoparticles. J. Colloid Interface Sci. 2019, 545, 251–258. [Google Scholar] [CrossRef]
- Luo, X.; Chen, M.; Chen, Z.; Xie, S. An implantable depot capable of in situ generation of micelles to achieve controlled and targeted tumor chemotherapy. Acta Biomater. 2018, 67, 122–133. [Google Scholar] [CrossRef]
- Kos, T.; Anžlovar, A.; Pahovnik, D.; Žagar, E.; Orel, Z.C.; Žigon, M. Zinc-Containing Block Copolymer as a Precursor for the in Situ Formation of Nano ZnO and PMMA/ZnO. Nanocomposites Macromol. 2013, 46, 6942–6948. [Google Scholar] [CrossRef]
- Mai, Y.; Eisenberg, A. Controlled Incorporation of Particles into the Central Portion of Vesicle Walls. J. Am. Chem. Soc. 2010, 132, 10078–10084. [Google Scholar] [CrossRef]
- Zhao, J.; Li, C.; Liu, R. Enhanced oxygen reduction of multi-Fe3O4@carbon core–shell electrocatalysts through a nanoparticle/polymer co-assembly strategy. Nanoscale 2018, 10, 5882–5887. [Google Scholar] [CrossRef]
- Kang, Y.; Taton, T.A. Core/shell gold nanoparticles by self-assembly and crosslinking of micellar, block-copolymer shells. Angew. Chem. Int. Ed. 2005, 44, 409–412. [Google Scholar] [CrossRef]
- Li, W.; Liu, S.; Deng, R.; Zhu, J. Encapsulation of nanoparticles in block copolymer micellar aggregates by directed supramolecular assembly. Angew. Chem. Int. Ed. 2011, 50, 5865–5868. [Google Scholar] [CrossRef]
- Wang, J.; Li, W.; Zhu, J. Encapsulation of inorganic nanoparticles into block copolymer micellar aggregates: Strategies and precise localization of nanoparticles. Polymer 2014, 55, 1079–1096. [Google Scholar] [CrossRef]
- Zhang, X.; Daniel, G.; Frank, W. White-light emitting dye micelles in aqueous solution. Chem. Commun. 2013, 49, 8178–8180. [Google Scholar] [CrossRef]
- Wang, R.; Peng, J.; Qiu, F.; Yang, Y.; Xie, Z. Simultaneous blue, green, and red emission from diblock copolymer micellar films: A new approach to white-light emission. Chem. Commun. 2009, 44, 6723–6725. [Google Scholar] [CrossRef]
- Wang, R.; Peng, J.; Qiu, F.; Yang, Y. Enhanced white-light emission from multiple fluorophores encapsulated in a single layer of diblock copolymer micelles. Chem. Commun. 2011, 47, 2787–2789. [Google Scholar] [CrossRef]
- Zhang, H.; Zhou, Z.; Yang, B.; Gao, M. The Influence of Carboxyl Groups on the Photoluminescence of Mercaptocarboxylic Acid-Stabilized CdTe Nanoparticles. J. Phys. Chem. B 2003, 107, 8–13. [Google Scholar] [CrossRef]
- Liu, Y.-F.; Yu, J.-S. In situ synthesis of highly luminescent glutathione-capped CdTe/ZnS quantum dots with biocompatibility. J. Colloid Interface Sci. 2010, 351, 1–9. [Google Scholar] [CrossRef]
- Lai, J.T.; Filla, D.; Shea, R. Functional Polymers from Novel Carboxyl-Terminated Trithiocarbonates as Highly Efficient RAFT Agents. Macromolecules 2002, 35, 6754–6756. [Google Scholar] [CrossRef]
- Sébastien, P. 50th Anniversary Perspective: RAFT Polymerization—A User Guide. Macromolecules 2017, 50, 7433–7447. [Google Scholar]
- Niu, J.; Xu, W.; Shen, H.; Li, S.; Wang, H.; Li, L.S. Synthesis of CdS, ZnS, and CdS/ZnS Core/Shell Nanocrystals Using Dodecanethiol. Bull. Korean Chem. Soc. 2012, 33, 393–397. [Google Scholar] [CrossRef][Green Version]
- Shen, H.; Wang, H.; Tang, Z.; Niu, J.Z.; Lou, S.; DU, Z.; Li, L.S. High quality synthesis of monodisperse zinc-blende CdSe and CdSe/ZnS nanocrystals with a phosphine-free method. CrystEngComm 2009, 11, 1733–1738. [Google Scholar] [CrossRef]
- Reiss, P.; Protière, M.; Li, L. Core/Shell Semiconductor Nanocrystals. Small 2009, 5, 154–168. [Google Scholar] [CrossRef]
- Jack, L.J.; Andrew, W.Y.; Guo, W.; Keay, J. Large-Scale Synthesis of Nearly Monodisperse CdSe/CdS Core/Shell Nanocrystals Using Air-Stable Reagents via Successive Ion Layer Adsorption and Reaction. J. Am. Chem. Soc. 2003, 125, 12567–12575. [Google Scholar]
- He, Y.; Lu, H.-T.; Sai, L.-M.; Su, Y.-Y.; Hu, M.; Fan, C.-H.; Huang, W.; Wang, L.H. Microwave Synthesis of Water-Dispersed CdTe/CdS/ZnS Core-Shell-Shell Quantum Dots with Excellent Photostability and Biocompatibility. Adv. Mater. 2008, 20, 3416–3421. [Google Scholar] [CrossRef]
- Keddie, D.; Moad, G.; Rizzardo, E.; Thang, S. RAFT agent design and synthesis. Macromolecules 2012, 45, 5321–5342. [Google Scholar] [CrossRef]
- Liu, B.; Tong, C.; Feng, L.; Wang, C.; He, Y.; Lü, C. Water-Soluble Polymer Functionalized CdTe/ZnS Quantum Dots: A Facile Ratiometric Fluorescent Probe for Sensitive and Selective Detection of Nitroaromatic Explosives. Chem. A Eur. J. 2014, 20, 2132–2137. [Google Scholar] [CrossRef]
- Lu, C.; Gao, J.; Fu, Y.; Du, Y.; Shi, Y.; Su, Z. A Ligand Exchange Route to Highly Luminescent Surface-Functionalized ZnS Nanoparticles and Their Transparent Polymer Nanocomposites. Adv. Funct. Mater. 2008, 18, 3070–3079. [Google Scholar] [CrossRef]
- Kim, K.-S.; Kim, J.-H.; Kim, H.; Laquai, F.; Arifin, E.; Lee, J.-K.; Yoo, S.I.; Sohn, B.H. Switching Off FRET in the Hybrid Assemblies of Diblock Copolymer Micelles, Quantum Dots, and Dyes by Plasmonic Nanoparticles. ACS Nano 2012, 6, 5051–5059. [Google Scholar] [CrossRef]













| Samples Copolymer Ligand | MNMR * (KDa) | n (KDa) | w (KDa) | PDI | |
|---|---|---|---|---|---|
| — | P(St49-co-MQ12) Macro-RAFT | 8.5 | 9.2 | 9.5 | 1.032 |
| 4-1 | P(St0.8-co-MQ0.2)61-b-PNIPAM15 | 10.2 | 9.8 | 10.5 | 1.071 |
| 4-2 | P(St0.8-co-MQ0.2)61-b-PNIPAM26 | 12.6 | 13.5 | 16.7 | 1.237 |
| 4-3 | P(St0.8-co-MQ0.2 )61-b-PNIPAM43 | 13.4 | 14.1 | 18.2 | 1.290 |
| 4-4 | P(St0.8-co-MQ0.2)61-b-PNIPAM51 | 14.3 | 15.3 | 20.5 | 1.339 |
| — | P(NIPAM54-co-MQ9)Macro-RAFT | 8.6 | 9.3 | 9.5 | 1.021 |
| 6-1 | P(NIPAM0.86-co-MQ0.14)63-b-PS27 | 11.5 | 11.4 | 12.1 | 1.061 |
| 6-2 | P(NIPAM0.86-co-MQ0.14)63-b-PS32 | 11.9 | 12.3 | 13.8 | 1.121 |
| 6-3 | P(NIPAM0.86-co-MQ0.14)63-b-PS65 | 15.4 | 15.9 | 17.3 | 1.088 |
| 6-4 | P(NIPAM0.86-co-MQ0.14)63-b-PS86 | 17.6 | 18.2 | 19.1 | 1.049 |
© 2020 by the authors. Licensee MDPI, Basel, Switzerland. This article is an open access article distributed under the terms and conditions of the Creative Commons Attribution (CC BY) license (http://creativecommons.org/licenses/by/4.0/).
Share and Cite
Zheng, Y.; Tang, Y.; Yu, J.; Xie, L.; Dong, H.; Deng, R.; Jia, F.; Liu, B.; Gao, L.; Duan, J. Dual and Multi-Emission Hybrid Micelles Realized through Coordination-Driven Self-Assembly. Materials 2020, 13, 440. https://doi.org/10.3390/ma13020440
Zheng Y, Tang Y, Yu J, Xie L, Dong H, Deng R, Jia F, Liu B, Gao L, Duan J. Dual and Multi-Emission Hybrid Micelles Realized through Coordination-Driven Self-Assembly. Materials. 2020; 13(2):440. https://doi.org/10.3390/ma13020440
Chicago/Turabian StyleZheng, Youxiong, Yan Tang, Jianwei Yu, Lan Xie, Huiyou Dong, Rongsheng Deng, Fuhua Jia, Bingxin Liu, Li Gao, and Junyuan Duan. 2020. "Dual and Multi-Emission Hybrid Micelles Realized through Coordination-Driven Self-Assembly" Materials 13, no. 2: 440. https://doi.org/10.3390/ma13020440
APA StyleZheng, Y., Tang, Y., Yu, J., Xie, L., Dong, H., Deng, R., Jia, F., Liu, B., Gao, L., & Duan, J. (2020). Dual and Multi-Emission Hybrid Micelles Realized through Coordination-Driven Self-Assembly. Materials, 13(2), 440. https://doi.org/10.3390/ma13020440

