Expansion of Dolomitic Rocks in TMAH and NaOH Solutions and Its Root Causes
Abstract
:1. Introduction
2. Materials and Methods
2.1. Materials
2.1.1. Rocks
2.1.2. Cement and Chemical Agents
2.2. Methods
2.2.1. Concrete Microbar Test
2.2.2. Expansion Stress Test
2.2.3. Thin Section Petrography
2.2.4. Laser Scanning Confocal Microscopy (LSCM)
2.2.5. Analysis by SEM-EDS and X-ray Diffraction
3. Results
3.1. Expansion of Concrete Microbars
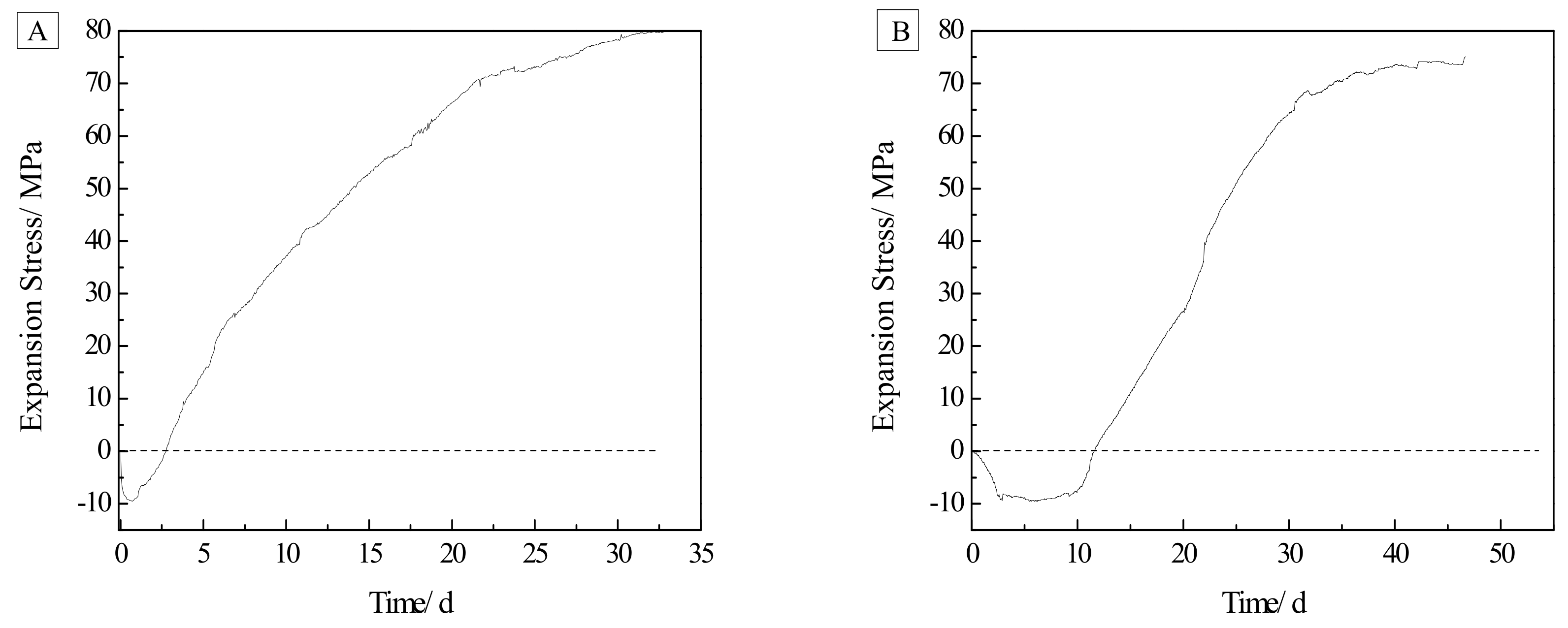
3.2. Characterization of Expansive Stress
3.3. Optical Microscopy
3.3.1. Polarizing Microscopy
3.3.2. Laser Scanning Confocal Microscopy (LSCM)
3.4. Analysis by SEM and EDS
3.4.1. Dolomitic Limestone BFL1, NaOH solution, 80 °C, 196 days
3.4.2. Dolomitic limestone BFL1, TMAH solution, 80 °C, 196 days
4. Discussion
5. Conclusions
Author Contributions
Funding
Acknowledgments
Conflicts of Interest
References
- Stanton, T.E. Expansion of Concrete through Reaction between Cement and Aggregate. Proc. ASCE 1940, 6, 1781–1811. [Google Scholar]
- Swenson, E.G. A reactive aggregate undetected by ASTM test. ASTM Bull. 1957, 226, 48–51. [Google Scholar]
- Hadley, D.W. Alkali reactivity of carbonate rocks-expansion and dedolomitization. Highw. Res. Board Proc. 1961, 40, 462–474. [Google Scholar]
- Deng, M.; Han, S.F.; Lu, Y.N.; Lan, X.H.; Hu, Y.L.; Tang, M.S. Deterioration of concrete structures due to alkali dolomite reaction in China. Cem. Concr. Res. 1993, 23, 1040–1046. [Google Scholar] [CrossRef]
- Hadley, D.W. Alkali reactivity of dolomitic carbonate rocks. Highw. Res. Rec. 1964, 45, 1–20. [Google Scholar]
- Gillott, J.E. Mechanism and kinetics of expansion in the alkali carbonate rock reaction. Can. J. Earth Sci. 1964, 1, 121–145. [Google Scholar] [CrossRef]
- Tang, M.; Liu, Z.; Han, S. Mechanism of alkali-carbonate reaction. In Proceedings of the 7th ICAAR in Concrete, Ottawa, Canada, 18–22 August 1986; pp. 275–279. [Google Scholar]
- Min, D.; Tang, M. Mechanism of dedolomitization and expansion of dolomitic rocks. Cem. Concr. Res. 1993, 23, 1397–1408. [Google Scholar] [CrossRef]
- Tong, L.; Tang, M. Expansion mechanism of alkali-dolomite and alkali-magnesite reaction. Cem. Concr. Compos. 1999, 21, 361–373. [Google Scholar] [CrossRef]
- Gillott, J.E. Review of Expansive Alkali-Aggregate Reactions in Concrete. J. Mater. Civil Eng. 1995, 7, 278–282. [Google Scholar] [CrossRef]
- Katayama, T. How to identify carbonate rock reactions in concrete. Mater. Charact. 2004, 53, 85–104. [Google Scholar] [CrossRef]
- Katayama, T. The so-called alkali-carbonate reaction (ACR)—Its mineralogical and geochemical details, with special reference to ASR. Cem. Concr. Res. 2010, 40, 643–675. [Google Scholar] [CrossRef]
- Grattan-Bellew, P.E.; Mitchell, L.D.; Margeson, J.; Min, D. Is alkali-carbonate reaction just a variant of alkali-silica reaction ACR=ASR? Cem. Concr. Res. 2010, 40, 556–562. [Google Scholar] [CrossRef]
- Xu, Z.; Lan, X.; Deng, M.; Tang, M. A new accelerated method for determining the potential alkali-carbonate reactivity. Cem. Concr. Res. 2002, 32, 851–857. [Google Scholar] [CrossRef]
- Qian, G.; Min, D.; Tang, M. Expansion of siliceous and dolomitic aggregates in lithium hydroxide solution. Cem. Concr. Res. 2002, 32, 763–768. [Google Scholar]
- Milanesi, C.A.; Batic, O.R.; Milanesi, C.A.; Batic, O.R. Alkali reactivity of dolomitic rocks from Argentina. Cem. Concr. Res. 1994, 24, 1073–1084. [Google Scholar] [CrossRef]
- Milanesi, C.A.; Marfil, S.A.; Batic, O.R.; Maiza, P.J. The alkali-carbonate reaction and its reaction products an experience with Argentinean dolomite rocks. Cem. Concr. Res. 1996, 26, 1579–1591. [Google Scholar] [CrossRef]
- Thong, J.T.L.; Choi, W.K.; Chong, C.W. TMAH etching of silicon and the interaction of etching parameters. Sens. Actuators A 1997, 63, 243–249. [Google Scholar] [CrossRef]
- Chen, B.; Deng, M.; Lan, X.; Xu, L. Behaviours of reactive silica and dolomite in tetramethyl ammonium hydroxide solutions. In Proceedings of the 15th International Confrence on Alkali Aggregate Reaction in Concrete, St Paul, Sao Paulo, Brazil, 3–7 July 2016. [Google Scholar]
- Nixon, P.J. RILEM: AAR-2-Detection of potential alkali mreactivity of aggregates—The ultra-accelerated mortar-bar test. Mater. Struct. 2000, 33, 283–289. [Google Scholar]
- Sims, I.; Nixon, P. RILEM TC 191-ARP Alkali-reactivity and prevention—Assessment, specification and diagnosis of alkali reactivity AAR-5: Rapid preliminary screening test for carbonate aggregates. Mater. Struct. 2005, 38, 787–792. [Google Scholar]
- French, W.J. Concrete petrography: A review. Q. J. Eng. Geol. 1991, 24, 17–48. [Google Scholar] [CrossRef]
- Deng, M.; Fournier, B.; Huang, X. The role of alkali-dolomite reaction in deterioration of an airport pavement. In Proceedings of the 12th International Conference on Alkali-Aggregate Reaction in Concrete (ICAAR), Beijing, China, 15–19 October 2004. [Google Scholar]
- Qian, G.; Deng, M.; Lan, X.; Xu, Z.; Tang, M. Alkali carbonate reaction expansion of dolomitic limestone aggregates with porphyrotopic texture. Eng. Geol. 2002, 63, 17–29. [Google Scholar] [CrossRef]
- Prinčič, T.; Štukovnik, P.; Pejovnik, S.; De Schutter, G.; Bokan Bosiljkov, V. Observations on dedolomitization of carbonate concrete aggregates, implications for ACR and expansion. Cem. Concr. Res. 2013, 54, 151–160. [Google Scholar] [CrossRef]
- Fecteau, P.-L.; Fournier, B.; Choquette, M. Contribution to the understanding of the so-called alkali carbonate reaction (ACR). In Proceedings of the 12th International Conference on Alkali Aggregate Reaction in Concrete (ICAAR), Beijing, China, 15–19 October 2004. [Google Scholar]
- Locati, F.; Falcone, D.; Marfil, S. Dedolomitization and alkali-silica reactions in low expansive marbles from the province of Córdoba, Argentina. A microstructural and chemical study. Constr. Build. Mater. 2014, 58, 171–181. [Google Scholar] [CrossRef]
- Štukovnik, P.; Prinčič, T.; Pejovnik, R.S.; Bokan Bosiljkov, V. Alkal carbonate reaction in concrete and its implications for a high rate of long term compressive strength increase. Constr. Build. Mater. 2014, 50, 699–709. [Google Scholar] [CrossRef]
- Štukovnik, P.; Marinšek, M.; Mirtič, B.; Bokan Bosiljkov, V. Influence of alkali carbonate reaction on compressive strength of mortars with air lime binder. Constr. Build. Mater. 2015, 75, 247–254. [Google Scholar] [CrossRef]
- LU, D.-Y.; Lü, Y.-N.; Mei, L.-B.; XU, Z.-Z.; Deng, M.; Tang, M.-S. Autoclave Products of Two Kinds of Typical Alkali Reactive Rocks in Alkaline Solutions. J. Build. Mater. 2006, 9, 10–18. [Google Scholar]
- Zhang, X.; Glasser, F.P.; Scrivener, K.L. Reaction kinetics of dolomite and portlandite. Cem. Concr. Res. 2014, 66, 11–18. [Google Scholar] [CrossRef]
- Tong, L.; Tang, M. Correlation between reaction and expansion of alkali-carbonate reaction. Cem. Concr. Res. 1995, 25, 470–476. [Google Scholar] [CrossRef]
- Goralczyk, S. Alkalii-Carbonate reaction of aggregates. Gospod. Surowcami Miner. 2012, 28, 45–62. [Google Scholar]
- Deng, M.; Niu, L.; Xu, L. Expansive mechanism of rilem aar-5 concrete microbars with dolostones. In Proceedings of the 12th International Conference on Alkali-Aggregate Reaction in Concrete (ICAAR), Beijing, China, 15–19 October 2004. [Google Scholar]
- Tong, L.; Tang, M. Expandability of solid-volume-reducing reactions of alkali-magnesite and alkali-dolomite. Cem. Concr. Aggreg. 1997, 19, 31–37. [Google Scholar]
- López-Buendía, A.M.; Climent, V.; Verdú, P. Lithological influence of aggregate in the alkali-carbonate reaction. Cem. Concr. Res. 2006, 36, 1490–1500. [Google Scholar] [CrossRef]
- Gillott, J.E. Erratum to The behaviour of silicocarbonatite aggregates from the Montreal Area. Cem. Concr. Res. 2003, 33, 471–480. [Google Scholar] [CrossRef]
- Tong, L.; Tang, M. Concurrence of alkali-silica and alkali-dolomite reaction. In Proceedings of the 10th International Conference on Alkali-Aggregate Reaction in Concrete, CSIRO, Melbourne, Australia, 18–23 August 1996; pp. 742–749. [Google Scholar]
- Fournier, B.; Bérubé, M.A. Alkali-reactivity potential of carbonate rocks from the St. Lawrence lowland, Quebec, Canada. In Proceedings of the 8th International Conference on Alkali–Aggregate Reaction in Concrete, Kyoto, Japan, 17–20 July 1989; pp. 363–368. [Google Scholar]
- Fournier, B.; Bérubé, M.A. Evaluation of a modified chemical method to determine the alkali reactivity potential of siliceous carbonate aggregates. In Proceedings: Canadian Developments in Testing Concrete Aggregate for Alkali–Aggregate Reactivity; Rogers, C.A., Ed.; Ministry of Transportation: Toronto, ON, Canada, 1990; pp. 118–135. [Google Scholar]
- Katayama, T. Critical review of carbonate reactions—is their reactivity useful or harmful. In Proceedings of the 9th International Conference on Alkali–Aggregate Reaction, London, UK, 27–31 July 1992; Concrete Society: London, UK, 1992; Volume 1, pp. 508–517. [Google Scholar]
















| Sample | Chemical Composition/% | |||||
|---|---|---|---|---|---|---|
| Loss | SiO2 | Fe2O3 | Al2O3 | CaO | MgO | |
| BFL1 | 42.05 | 3.90 | 0.65 | 1.23 | 44.61 | 6.35 |
| BFL8 | 42.06 | 2.68 | 0.26 | 0.93 | 48.65 | 4.39 |
| BFL9 | 41.71 | 5.54 | 0.81 | 1.14 | 38.39 | 11.63 |
| LY | 47.05 | 0.20 | 0.16 | 0.18 | 28.68 | 20.36 |
| CG1 | 32.01 | 18.42 | 2.14 | 5.00 | 34.07 | 4.84 |
| CK | 37.31 | 11.01 | 0.71 | 3.06 | 41.04 | 4.47 |
| LOI | SiO2 | Fe2O3 | Al2O3 | CaO | MgO | K2O | Na2O | SO3 | Total |
|---|---|---|---|---|---|---|---|---|---|
| 2.91 | 19.33 | 2.86 | 4.83 | 64.10 | 2.25 | 0.67 | 0.12 | 2.58 | 99.65 |
| CaCO3 | SiO2 | Al2O3 | Fe2O3 | Total |
|---|---|---|---|---|
| 78.18 | 14.03 | 4.40 | 3.39 | 100 |
| C3S | C2S | C4AF | C3A | f-CaO | f-MgO |
|---|---|---|---|---|---|
| 63.50 | 12.40 | 10.60 | 13.50 | 0.10 | 0 |
© 2020 by the authors. Licensee MDPI, Basel, Switzerland. This article is an open access article distributed under the terms and conditions of the Creative Commons Attribution (CC BY) license (http://creativecommons.org/licenses/by/4.0/).
Share and Cite
Yuan, H.; Deng, M.; Chen, B.; Chen, W.; Mao, Z. Expansion of Dolomitic Rocks in TMAH and NaOH Solutions and Its Root Causes. Materials 2020, 13, 308. https://doi.org/10.3390/ma13020308
Yuan H, Deng M, Chen B, Chen W, Mao Z. Expansion of Dolomitic Rocks in TMAH and NaOH Solutions and Its Root Causes. Materials. 2020; 13(2):308. https://doi.org/10.3390/ma13020308
Chicago/Turabian StyleYuan, Huan, Min Deng, Bi Chen, Weifeng Chen, and Zhongyang Mao. 2020. "Expansion of Dolomitic Rocks in TMAH and NaOH Solutions and Its Root Causes" Materials 13, no. 2: 308. https://doi.org/10.3390/ma13020308
APA StyleYuan, H., Deng, M., Chen, B., Chen, W., & Mao, Z. (2020). Expansion of Dolomitic Rocks in TMAH and NaOH Solutions and Its Root Causes. Materials, 13(2), 308. https://doi.org/10.3390/ma13020308

