The Evolution of Residual Stress in Rib-Diaphragm Joints of Orthotropic Steel Decks Subjected to Thermal Cutting and Welding
Abstract
1. Introduction
2. Numerical Simulation Model
2.1. Geometry and Method
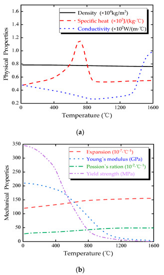
2.2. Material Properties
2.3. Boundary Conditions
3. Heat Source Model and Thermal Analysis
- a.
- the heat flux was considered as a load, and all thermal properties were expressed as a function of temperature.
- b.
- the cutting flame acting on the plate surface was expressed by heat flux in terms of Gaussian functions.
- c.
- the heat generation of the droplets can be simplified, and the heat from the chemical reaction at the cutting line was assumed to be uniformly distributed.
4. Experimental Work
5. Results and Discussions
5.1. Stress and Temperature Time History
5.2. Residual Stress Distribution
5.3. Effects of Cutting and Welding Speed
6. Conclusions
- (1)
- The residual stress around the diaphragm cutouts is mainly caused by the flame cutting process and distributes along longitudinal direction of the cutting line. The established heat source model caused by cutting can accurately describe the temperature distribution along the cutting line. The high residual stress region with a width of about 10 mm is responsible for the fatigue cracking of the diaphragm cutouts.
- (2)
- Near the welding area, the residual stress is mainly introduced by the welding. The longitudinal residual tensile stress (along the weld direction) exists in the weld joints between U-rib and diaphragm, and the peak residual stress even exceeds the yield strength. Moreover, the residual stress concentrates at the boundary of the weld fillets, which should be paid more attention.
- (3)
- The numerical simulation of residual stress distribution during cutting and welding process was validated by experimental measurements using both x-ray diffraction and HD methods. The longitudinal residual stress was found to be higher than the transversal one. In the high residual stress zone, the HD method underestimates the residual stress, while the x-ray diffraction method can accurately predict the actual residual stress.
- (4)
- The width of the high stress zone near the cutting line decreases with cutting speed. The residual stresses in diaphragm cutouts increases with welding speed, but the width of the high stress zone does not change significantly. Hence, choosing a fast cutting speed and a slow welding speed during fabrication processes can reduce the residual stresses and its concentration area at diaphragm cutout, which is beneficial for the fatigue performance of U rib-diaphragm joints in OSDs.
Author Contributions
Funding
Acknowledgments
Conflicts of Interest
References
- Sim, H.B.; Uang, C.M. Stress analyses and parametric study on full-scale fatigue tests of rib-to-deck welded joints in steel orthotropic decks. J. Bridge Eng. 2012, 17, 765–773. [Google Scholar] [CrossRef]
- Song, Y.S.; Ding, Y.L.; Wang, G.X.; Li, A.Q. Fatigue-life evaluation of a high-speed railway bridge with an orthotropic steel deck integrating multiple factors. J. Perform. Constr. Facil. 2016, 30, 04016036. [Google Scholar] [CrossRef]
- Zhang, Q.H.; Cui, C.; Bu, Y.Z.; Liu, Y.M.; Ye, H.W. Fatigue tests and fatigue assessment approaches for rib-to-diaphragm in steel orthotropic decks. J. Constr. Steel Res. 2015, 114, 110–118. [Google Scholar]
- Battista, R.C.; Pfeil, M.S. Strengthening fatigue-cracked steel bridge decks. Bridge Eng. 2004, 157, 93–102. [Google Scholar]
- Ji, B.; Liu, R.; Chen, C.; Maeno, H.; Chen, X. Evaluation on root-deck fatigue of orthotropic steel bridge deck. J. Constr. Steel Res. 2013, 90, 174–183. [Google Scholar] [CrossRef]
- Zhu, Z.W.; Huang, Y.; Chen, W.; Xiang, Z. Investigation on base metal cracking on diaphragm cutout at self-anchored suspension bridges. In Proceedings of the 4nd International Orthotropic Bridge Conference (IOBC), Tianjin, China, 21–25 September 2015; American Society of Civil Engineering: Reston, VA, USA, 2015; pp. 125–136. [Google Scholar]
- Cuninghame, J.R.; Beales, C. Fatigue assessment of orthotropic steel bridge decks. In Bridge Management; Springer: Boston, MA, USA, 1990; pp. 459–473. [Google Scholar]
- Roy, S.; Mukherjee, S. Verification of infinite life fatigue performance of a cost-effective steel orthotropic deck design by full scale laboratory testing. IABSE Symp. Rep. 2015, 105, 1–2. [Google Scholar] [CrossRef]
- American Association of State Highway and Transportation Officials (AASHTO). AASHTO LRFD Bridge Design Specifications; American Association of State Highway Transportation Officials (AASHTO): Washington, DC, USA, 2004. [Google Scholar]
- European Committee for Standardization (CEN). EN 1993-1-9 Eurocode 3 Design of Steel Structures—Part 1–9: Fatigue; European Committee for Standardization (CEN): Brussels, Belgium, 2005. [Google Scholar]
- Zhao, Q.; Zhai, Z.; Nie, Y. Distribution of Welding Residual Stress of Mixed Steel U-Rib-Stiffened Plates. Trans. Tianjin Univ. 2018, 24, 489–500. [Google Scholar] [CrossRef]
- Spyridoni, K.; Xin, H.; Hermans, M.; Veljkovic, M. Calibration of welding simulation parameters of fillet welding joints used in an orthotropic steel deck. ce/papers 2019, 3, 49–54. [Google Scholar] [CrossRef]
- Xin, H.; Veljkovic, M. Effects of residual stresses on fatigue crack initiation of butt-welded plates made of high strength steel. In Proceedings of the Seventh International Conference on Structural Engineering, Mechanics and Computation (SEMC 2019), Cape Town, South Africa, 2–4 September 2019. [Google Scholar]
- Xin, H.; Veljkovic, M. Residual stress effects on fatigue crack growth rate of mild steel S355 exposed to air and seawater environments. Mater. Des. 2020, 193, 108732. [Google Scholar] [CrossRef]
- Xin, H.; Veljkovic, M. Fatigue crack initiation prediction using phantom nodes-based extended finite element method for S355 and S690 steel grades. Eng. Fract. Mech. 2019, 214, 164–176. [Google Scholar] [CrossRef]
- Van Puymbroeck, E.; Nagy, W.; De Backer, H. Influence of the welding process on the residual welding stresses in an orthotropic steel bridge deck. Procedia Struct. Integr. 2018, 13, 920–925. [Google Scholar] [CrossRef]
- He, J.; Wang, S.; Liu, Y.; Wang, D.; Xin, H. Shear behavior of steel I-girder with stiffened corrugated web, Part II: Numerical study. Thin-Walled Struct. 2020, 147, 106025. [Google Scholar] [CrossRef]
- Cui, C.; Bu, Y.; Bao, Y.; Zhang, Q.; Ye, Z. Strain energy-based fatigue life evaluation of deck-to-rib welded joints in OSD considering combined effects of stochastic traffic load and welded residual stress. J. Bridge Eng. 2018, 23, 04017127. [Google Scholar] [CrossRef]
- Cui, C.; Zhang, Q.; Luo, Y.; Hao, H.; Li, J. Fatigue reliability evaluation of deck-to-rib welded joints in OSD considering stochastic traffic load and welding residual stress. Int. J. Fatigue 2018, 111, 151–160. [Google Scholar] [CrossRef]
- Cui, C.; Zhang, Q.; Bao, Y.; Bu, Y.; Luo, Y. Fatigue life evaluation of welded joints in steel bridge considering residual stress. J. Constr. Steel Res. 2019, 153, 509–518. [Google Scholar] [CrossRef]
- Gupta, R.S.; Xin, H.; Veljkovic, M. Fatigue crack propagation simulation of orthotropic bridge deck based on extended finite element method. Procedia Struct. Integr. 2019, 22, 283–290. [Google Scholar] [CrossRef]
- Wang, C.S.; Zhai, M.S.; Tang, Y.M.; Chen, W.Z.; Qu, T.Y. Numerical fracture mechanics simulation of fatigue crack coupled propagation mechanism of steel bridge deck. China J. Highw. Transp. 2017, 30, 82–95. (In Chinese) [Google Scholar]
- Yokozeki, K.; Miki, C. Fatigue evaluation for longitudinal-to-transverse rib connection of orthotropic steel deck by using structural hot spot stress. Weld. World 2016, 60, 83–92. [Google Scholar] [CrossRef]
- Perić, M.; Garašić, I.; Tonković, Z.; Vuherer, T.; Nižetić, S.; Dedić-Jandrek, H. Numerical prediction and experimental validation of temperature and residual stress distributions in buried-arc welded thick plates. Int. J. Energy Res. 2019, 43, 3590–3600. [Google Scholar] [CrossRef]
- Deng, D. FEM prediction of welding residual stress and distortion in carbon steel considering phase transformation effects. Mater. Des. 2009, 30, 359–366. [Google Scholar] [CrossRef]
- Mitra, A.; Prasad, N.S.; Ram, G.J. Estimation of residual stresses in an 800 mm thick steel submerged arc weldment. J. Mater. Process. Technol. 2016, 229, 181–190. [Google Scholar] [CrossRef]
- Chiarelli, M.; Lanciotti, A.; Sacchi, M. Fatigue resistance of MAG welded steel elements. Int. J. Fatigue. 1999, 21, 1099–1110. [Google Scholar] [CrossRef]
- Webster, G.A.; Ezeilo, A.N. Residual stress distributions and their influence on fatigue lifetimes. Int. J. Fatigue 2001, 23, 375–383. [Google Scholar] [CrossRef]
- Chen, Z.; Li, C.; He, J.; Xin, H. Retrofit Fatigue Cracked Diaphragm Cutouts Using Improved Geometry in Orthotropic Steel Decks. Appl. Sci. 2020, 10, 3983. [Google Scholar] [CrossRef]
- Ding, Y.; Zhong, W.; Sun, P.; Cao, B.; Song, Y. Fatigue Life Evaluation of Welded Joints in OSD for Railway Bridges Considering Welding Residual Stress. J. Perform. Constr. Facil. 2019, 33, 04018111. [Google Scholar] [CrossRef]
- Dattoma, V.; De Giorgi, M.; Nobile, R. On the evolution of welding residual stress after milling and cutting machining. Comput. Struct. 2006, 84, 1965–1976. [Google Scholar] [CrossRef]
- ABAQUS. User’s Manual, Version 6.4; Hibbitt, Karlsson & Sorensen, Inc.: Johnston, IA, USA, 2003. [Google Scholar]
- Thiébaud, R.; Drezet, J.M.; Lebet, J.P. Experimental and numerical characterisation of heat flow during flame cutting of thick steel plates. J. Mater. Process. Technol. 2014, 214, 304–310. [Google Scholar] [CrossRef]
- Nezamdost, M.R.; Esfahani, M.N.; Hashemi, S.H.; Mirbozorgi, S.A. Investigation of temperature and residual stresses field of submerged arc welding by finite element method and experiments. Int. J. Adv. Manuf. Technol. 2016, 87, 615–624. [Google Scholar] [CrossRef]
- Wei, Z.Y.; Liu, Y.J.; Zhou, B.; Huang, H. Numerical analysis and experimental research on residual stress distribution induced by oxygen cutting opening of steel structure. J. Dalian Univ. Technol. 2012, 52, 373–380. (In Chinese) [Google Scholar]
- Zhou, B.; Han, X.; Guo, W.; Liu, Y.; Tan, S.K. Numerical and experimental study on cutting access opening in ship structure. J. Ship Prod. Des. 2017, 33, 12–23. [Google Scholar] [CrossRef]
- Jokiaho, T.; Santa-aho, S.; Peura, P.; Vippola, M. Role of Steel Plate Thickness on the Residual Stress Formation and Cracking Behavior During Flame Cutting. Metall. Mater. Trans. A 2019, 50, 4178–4192. [Google Scholar] [CrossRef]
- Bae, K.Y.; Yang, Y.S.; Yi, M.S.; Hyun, C.M. A study on prediction of the size of heat affected zone in oxy-ethylene flame cutting of steel plates. Int. J. Precis. Eng. Manuf. 2016, 17, 733–740. [Google Scholar] [CrossRef]
- Bae, K.Y.; Yang, Y.S.; Yi, M.S.; Park, C.W. Numerical analysis of heat flow in oxy-ethylene flame cutting of steel plate. Proc. Inst. Mech. Eng. Part B J. Eng. Manuf. 2018, 232, 742–751. [Google Scholar] [CrossRef]
- Chen, L. Study of Effect of Cutting Heat Affected Zone on Structure and Performance of Q345E Low Alloy Steel Welded Joints. Master’s Thesis, Dalian Jiaotong University, Dalian, China, 2011. (In Chinese). [Google Scholar]
- Goldak, J.; Chakravarti, A.; Bibby, M. A new finite element model for welding heat sources. Metall. Trans. B 1984, 15, 299–305. [Google Scholar] [CrossRef]
- Biswas, P.; Mahapatra, M.M.; Mandal, N.R. Numerical and experimental study on prediction of thermal history and residual deformation of double-sided fillet welding. Proc. Inst. Mech. Eng. Part B J. Eng. Manuf. 2010, 224, 125–134. [Google Scholar] [CrossRef]
- Ministry of Housing and Urban-Rural Development. GB 50017-2017 Standard for Design of Steel structures; Ministry of Housing and Urban-Rural Development of the People’s Republic of China: Beijing, China, 2017.
- ASMT International. E837-08 Standard Test Method for Determining Residual Stresses by the Hole-Drilling Strain-Gage Method; ASMT International: West Conshohocken, PA, USA, 2008. [Google Scholar]
- Wang, Y.B.; Li, G.Q.; Chen, S.W. Residual stresses in welded flame-cut high strength steel H-sections. J. Constr. Steel Res. 2012, 79, 159–165. [Google Scholar] [CrossRef]
- Zhu, Z.; Xiang, Z. Fatigue cracking investigation on diaphragm cutout in a self-anchored suspension bridge with orthotropic steel deck. Struct. Infrastruct. Eng. 2019, 15, 1279–1291. [Google Scholar] [CrossRef]
- Ying, G. Research on Welding Residual Stresses and Distortions in Steel Bridge Decks Stiffened with U-shaped Ribs. Ph.D. Thesis, Southwest Jiaotong University, Chengdu, China, 2011. (In Chinese). [Google Scholar]
- British Standards Institution. BS EN 15305/2008: Non-Destructive Testing: Test Method for Residual Stress Analysis by X-ray Diffraction; British Standards Institution: London, UK, 2008. [Google Scholar]
















| Parameters | ||||||
|---|---|---|---|---|---|---|
| Value | 4.1 | 1 | 10 | 7 |
| Parameters | c/mm | ||||||
|---|---|---|---|---|---|---|---|
| Value | 9 | 8 | 6 | 14 | 4 | 250 | 25 |
© 2020 by the authors. Licensee MDPI, Basel, Switzerland. This article is an open access article distributed under the terms and conditions of the Creative Commons Attribution (CC BY) license (http://creativecommons.org/licenses/by/4.0/).
Share and Cite
Xiong, Y.; Li, C.; Chen, Z.; He, J.; Xin, H. The Evolution of Residual Stress in Rib-Diaphragm Joints of Orthotropic Steel Decks Subjected to Thermal Cutting and Welding. Materials 2020, 13, 3804. https://doi.org/10.3390/ma13173804
Xiong Y, Li C, Chen Z, He J, Xin H. The Evolution of Residual Stress in Rib-Diaphragm Joints of Orthotropic Steel Decks Subjected to Thermal Cutting and Welding. Materials. 2020; 13(17):3804. https://doi.org/10.3390/ma13173804
Chicago/Turabian StyleXiong, Yongming, Chuanxi Li, Zhuoyi Chen, Jun He, and Haohui Xin. 2020. "The Evolution of Residual Stress in Rib-Diaphragm Joints of Orthotropic Steel Decks Subjected to Thermal Cutting and Welding" Materials 13, no. 17: 3804. https://doi.org/10.3390/ma13173804
APA StyleXiong, Y., Li, C., Chen, Z., He, J., & Xin, H. (2020). The Evolution of Residual Stress in Rib-Diaphragm Joints of Orthotropic Steel Decks Subjected to Thermal Cutting and Welding. Materials, 13(17), 3804. https://doi.org/10.3390/ma13173804

