Suitability of Fiber Lengths for Hot Mix Asphalt with Different Nominal Maximum Aggregate Size: A Pilot Experimental Investigation
Abstract
1. Introduction
1.1. Background
1.2. Objectives and Significance
2. Materials and Mixing
2.1. Raw Materials
2.1.1. Aggregates
2.1.2. Asphalt Binder
2.1.3. Basalt Fiber
2.2. Mix Design
2.3. Preparation for Fiber-Reinforced HMA
3. Test Methods
3.1. IDEAL Cracking Test
3.2. Four-Point Bending Beam Fatigue Test
3.3. Wheel Tracking Test
3.4. Uniaxial Penetration Test
3.5. Low Temperature Bending Beam Test
3.6. Freeze-Thaw Splitting Test
4. Experimental Results and Discussions
4.1. Crack Resistance
4.2. Fatigue Resistance
4.3. High Temperature Deformation Resistance
4.4. Low Temperature Crack Resistance
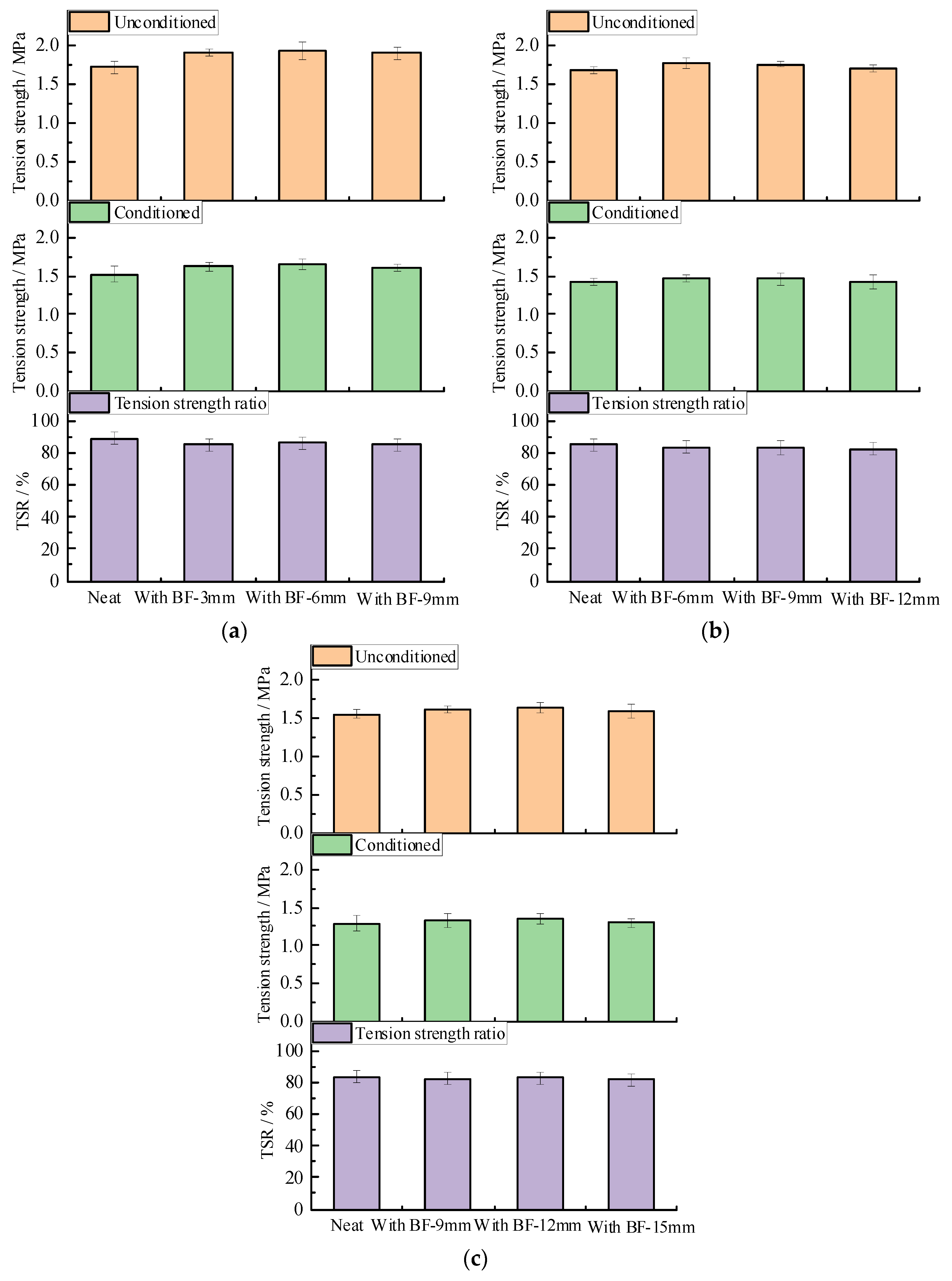
4.5. Water Stability
4.6. Comprehensive Analysis
5. Conclusions
- Adding basalt fiber, regardless of the length, can enhance the comprehensive performance of the hot asphalt mixture, to some extent.
- Fiber length presents significant impact on the enhancement effect on crack resistance, fatigue resistance, and low temperature crack resistance of basalt fiber-reinforced HMA with different NMAS, with the resistances increased by 15.3–108.2%, 19.2–579%, and 4.7–21.2%, respectively.
- Fiber length shows no obvious influence on the changes of high temperature deformation resistance and water stability of the selected HMA.
- Optimum fiber length is closely related to the NMAS of HMA, and larger NMAS requires longer fibers. The optimum fiber length is 6, 9, and 12 mm for SUP-13, SUP-20 and SUP-25, respectively.
Supplementary Materials
Author Contributions
Funding
Acknowledgments
Conflicts of Interest
References
- Xiong, R.; Fang, J.; Xu, A.; Guan, B.; Liu, Z. Laboratory investigation on the brucite fiber reinforced asphalt binder and asphalt concrete. Constr. Build. Mater. 2015, 83, 44–52. [Google Scholar] [CrossRef]
- Guo, Q.; Li, L.; Cheng, Y.; Jiao, Y.; Xu, C. Laboratory evaluation on performance of diatomite and glass fiber compound modified asphalt mixture. Mater. Des. 2015, 66, 51–59. [Google Scholar] [CrossRef]
- Zhang, J.; Tan, H.; Pei, J.; Qu, T.; Liu, W. Evaluating Crack Resistance of Asphalt Mixture Based on Essential Fracture Energy and Fracture Toughness. Int. J. Geomech. 2019, 19, 1–8. [Google Scholar] [CrossRef]
- Liu, G.; Yang, T.; Li, J.; Jia, Y.; Zhao, Y.; Zhang, J. Effects of aging on rheological properties of asphalt materials and asphalt-filler interaction ability. Constr. Build. Mater. 2018, 168, 501–511. [Google Scholar] [CrossRef]
- Gorkem, C.; Sengoz, B. Predicting stripping and moisture induced damage of asphalt concrete prepared with polymer modified bitumen and hydrated lime. Constr. Build. Mater. 2009, 23, 2227–2236. [Google Scholar] [CrossRef]
- Airey, G.D.; Collop, A.C.; Zoorob, S.E.; Elliott, R.C. The influence of aggregate, filler and bitumen on asphalt mixture moisture damage. Constr. Build. Mater. 2008, 22, 2015–2024. [Google Scholar] [CrossRef]
- Zhang, J.; Fan, Z.; Wang, H.; Sun, W.; Pei, J.; Wang, D. Prediction of dynamic modulus of asphalt mixture using micromechanical method with radial distribution functions. Mater. Struct. Mater. Et Constr. 2019, 52. [Google Scholar] [CrossRef]
- Norhidayah, A.H.; Haryati, Y.; Nordiana, M.; Khairul Idham, M.S.M.; Juraidah, A.; Ramadhansyah, P.J. Permeability coefficient of porous asphalt mixture containing coconut shells and fibres. IOP Conf. Ser. Earth Environ. Sci. 2019, 244. [Google Scholar] [CrossRef]
- Abtahi, S.M.; Sheikhzadeh, M.; Hejazi, S.M. Fiber-reinforced asphalt-concrete—A review. Constr. Build. Mater. 2010, 24, 871–877. [Google Scholar] [CrossRef]
- Haryati, Y.; Norhidayah, A.H.; Nordiana, M.; Juraidah, A.; Hayati, A.H.N.; Ramadhansyah, P.J.; Azman, M.K.; Haryati, A. Stability and rutting resistance of porous asphalt mixture incorporating coconut shells and fibres. IOP Conf. Ser. Earth Environ. Sci. 2019, 244. [Google Scholar] [CrossRef]
- Ting, T.L.; Ramadhansyah, P.J.; Norhidayah, A.H.; Yaacob, H.; Hainin, M.R.; Wan Ibrahim, M.H.; Jayanti, D.S.; Abdullahi, A.M. Effect of Treated Coconut Shell and Fiber on the Resilient Modulus of Double-layer Porous Asphalt at Different Aging. IOP Conf. Ser. Earth Environ. Sci. 2018, 140. [Google Scholar] [CrossRef]
- Hainin, M.R.; Idham, M.K.; Yaro, N.S.A.; Hussein, S.O.A.E.; Warid, M.N.M.; Mohamed, A.; Naqibah, S.N.; Ramadhansyah, P.J. Performance of Hot Mix Asphalt Mixture Incorporating Kenaf Fibre. IOP Conf. Ser. Earth Environ. Sci. 2018, 140. [Google Scholar] [CrossRef]
- Chen, H.; Xu, Q. Experimental study of fibers in stabilizing and reinforcing asphalt binder. Fuel 2010, 89, 1616–1622. [Google Scholar] [CrossRef]
- Qian, S.; Ma, H.; Feng, J.; Yang, R.; Huang, X. Fiber reinforcing effect on asphalt binder under low temperature. Constr. Build. Mater. 2014, 61, 120–124. [Google Scholar] [CrossRef]
- Chen, H.; Xu, Q.; Chen, S.; Zhang, Z. Evaluation and design of fiber-reinforced asphalt mixtures. Mater. Des. 2009, 30, 2595–2603. [Google Scholar] [CrossRef]
- Guo, F.; Li, R.; Lu, S.; Bi, Y.; He, H. Evaluation of the Effect of Fiber Type, Length, and Content on Asphalt Properties and Asphalt Mixture Performance. Materials 2020, 13, 1556. [Google Scholar] [CrossRef]
- Tanzadeh, R.; Tanzadeh, J.; Honarmand, M.; Tahami, S.A. Experimental study on the effect of basalt and glass fibers on behavior of open-graded friction course asphalt modified with nano-silica. Constr. Build. Mater. 2019, 212, 467–475. [Google Scholar] [CrossRef]
- Alfalah, A.; Offenbacker, D.; Ali, A.; Decarlo, C.; Lein, W.; Mehta, Y.; Elshaer, M. Assessment of the Impact of Fiber Types on the Performance of Fiber-Reinforced Hot Mix Asphalt. Transp. Res. Rec. 2020, 2674, 337–347. [Google Scholar] [CrossRef]
- Wu, J.; Hong, R.; Gu, C. Influence of Fiber Type on Low-Temperature Fracture Performance of Presawed Asphalt Mixture Beams. Adv. Mater. Sci. Eng. 2018, 2018. [Google Scholar] [CrossRef]
- Zhao, H.; Guan, B.; Xiong, R.; Zhang, A. Investigation of the performance of basalt fiber reinforced asphalt mixture. Appl. Sci. 2020, 10, 1561. [Google Scholar] [CrossRef]
- Morova, N. Investigation of usability of basalt fibers in hot mix asphalt concrete. Constr. Build. Mater. 2013, 47, 175–180. [Google Scholar] [CrossRef]
- Kathari, P.M.; Sandra, A.K.; Sravana, P. Experimental investigation on the performance of asphalt binders reinforced with basalt fibers. Innov. Infrastruct. Solut. 2018, 3, 1–9. [Google Scholar] [CrossRef]
- Wang, D.; Ju, Y.; Shen, H.; Xu, L. Mechanical properties of high performance concrete reinforced with basalt fiber and polypropylene fiber. Constr. Build. Mater. 2019, 197, 464–473. [Google Scholar] [CrossRef]
- Cheng, Y.; Wang, W.; Gong, Y.; Wang, S.; Yang, S.; Sun, X. Comparative study on the damage characteristics of asphalt mixtures reinforced with an eco-friendly basalt fiber under freeze-thaw cycles. Materials 2018, 11, 2488. [Google Scholar] [CrossRef] [PubMed]
- Liu, Z.; Asce, S.M.; Yu, X.; Asce, M. Laboratory Evaluation of Abrasion Resistance of Portland Cement Pervious Concrete. J. Mater. Civ. Eng. 2011, 27, 1239–1247. [Google Scholar] [CrossRef]
- Wu, Z.; Zhang, C.; Xiao, P.; Li, B.; Kang, A. Performance Characterization of Hot Mix Asphalt with High RAP Content and Basalt Fiber. Materials 2020, 13, 3145. [Google Scholar] [CrossRef]
- T/CHTS 10016: Technical Guideline for Construction of Asphalt Pavement with Basalt Fiber; China Communications Press Company Limited: Beijing, China, 2019.
- DB32/T 3710: Standard Specification for Construction of Asphalt Pavement with Basalt Fiber; Market Supervision Administration of Jiangsu Province: Nanjing, China, 2019. [CrossRef]
- Wang, W.; Cheng, Y.; Tan, G. Design Optimization of SBS-modified asphalt mixture reinforced with eco-friendly basalt fiber based on response surface methodology. Materials 2018, 11, 1311. [Google Scholar] [CrossRef]
- Xing, X.; Liu, T.; Pei, J.; Huang, J.; Li, R.; Zhang, J.; Tian, Y. Effect of fiber length and surface treatment on the performance of fiber-modified binder. Constr. Build. Mater. 2020, 248, 118702. [Google Scholar] [CrossRef]
- Qin, X.; Shen, A.; Guo, Y.; Li, Z.; Lv, Z. Characterization of asphalt mastics reinforced with basalt fibers. Constr. Build. Mater. 2018, 159, 508–516. [Google Scholar] [CrossRef]
- Zhang, X.; Gu, X.; Lv, J.; Zou, X. 3D numerical model to investigate the rheological properties of basalt fiber reinforced asphalt-like materials. Constr. Build. Mater. 2017, 138, 185–194. [Google Scholar] [CrossRef]
- Ministry of Communications of the People’s Republic of China. Test Methods of Aggregate for Highway Engineering; JTG E42; Ministry of Communications: Beijing, China, 2005. [Google Scholar]
- DS32/T 2798: Standard Specification for Superpave Construction; Market Supervision Administration of Jiangsu Province: Nanjing, China, 2015.
- Zhou, F.; Im, S.; Sun, L.; Scullion, T. Development of an IDEAL cracking test for asphalt mix design and QC/QA. Road Mater. Pavement Des. 2017, 86, 549–577. [Google Scholar] [CrossRef]
- Ministry of Transport of the People’s Republic of China. Standard Test Methods of Bitumen and Bituminous Mixtures for Highway Engineering; JTG E20-2011; China Communications Press: Beijing, China, 2011. [Google Scholar]
- JTG D50: Specifications for Design of Highway Asphalt Pavement; Ministry of Transport of People’s Republic of China: Beijing, China, 2017.
- Chen, X.; Huang, B.; Xu, Z. Uniaxial penetration testing for shear resistance of hot-mix asphalt mixtures. Transp. Res. Rec. 2006, 116–125. [Google Scholar] [CrossRef]
- Ren, R.; Geng, L.; An, H.; Wang, X. Experimental research on shear fatigue characteristics of asphalt mixture based on repeated uniaxial penetrating test. Road Mater. Pavement Des. 2015, 16, 459–468. [Google Scholar] [CrossRef]












| Characteristics | Requirements | Results | Standard | |
|---|---|---|---|---|
| Penetration (25 °C)/0.1 mm | 60–80 | 71 | T0604–2011 | |
| Softening point/°C | ≮55 | 64 | T0604–2011 | |
| Ductility (5cm/min, 5 °C)/cm | ≮30 | 48 | T0606–2011 | |
| Penetration Index | −0.4–1.0 | 0.5 | T0605–2011 | |
| Vscosity (135 °C)/Pa.s | ≯3 | 1.8 | T0601–2011 | |
| Recovery of elasticity (25 °C)/% | ≮65 | 76 | T0662–2011 | |
| Softening point variation/°C | ≯2.5 | 1.4 | T0664–2011 | |
| RTFOT residue | Weight change/% | ≯ ± 1.0 | −0.08 | T0610–2011 |
| Penetration ratio/% | ≮60 | 86 | T0604–2011 | |
| Residual ductility (15 °C)/cm | ≮20 | 37 | T0605–2011 | |
| Characteristics | Requirements | Results | Standard |
|---|---|---|---|
| Diameter/μm | / | 16 | / |
| Elongation at break/% | ≤3.1 | 2.71 | GB/T 20310 |
| Tensile strength/MPa | ≥2000 | 2200–2500 | GB/T 20310 |
| Heat resistance, Retention rate of fracture strength/% | ≥85 | 93 | GB/T 7690.3 |
| Acidity coefficient | ≥4.5 | 5.2 | GB/T 1549 |
| Types of Mixtures | OAC/% | VMA/% | VFA/% | VV/% |
|---|---|---|---|---|
| SUP-13 | 4.7 | 14.09 | 71.33 | 4.04 |
| SUP-13 + BF-3 mm | 4.8 | 14.13 | 71.12 | 4.08 |
| SUP-13 + BF-6 mm | 4.8 | 14.08 | 71.09 | 4.07 |
| SUP-13 + BF-9 mm | 4.8 | 14.15 | 71.38 | 4.05 |
| SUP-20 | 4.3 | 13.38 | 69.58 | 4.07 |
| SUP-20 + BF-6 mm | 4.4 | 13.24 | 69.41 | 4.05 |
| SUP-20 + BF-9 mm | 4.4 | 13.17 | 69.48 | 4.02 |
| SUP-20 + BF-12 mm | 4.4 | 13.26 | 69.68 | 4.02 |
| SUP-25 | 4.1 | 12.05 | 66.39 | 4.05 |
| SUP-25 + BF-9 mm | 4.2 | 12.23 | 67.05 | 4.03 |
| SUP-25 + BF-12 mm | 4.2 | 12.14 | 66.64 | 4.05 |
| SUP-25 + BF-15 mm | 4.2 | 12.27 | 66.67 | 4.09 |
| Types of Gradations | No. | 3 mm | 6 mm | 9 mm | 12 mm | 15 mm | Dosages |
|---|---|---|---|---|---|---|---|
| Superpave-13 | 1-0 | 0 | |||||
| 1-1 | √ | 0.3% | |||||
| 1-2 | √ | 0.3% | |||||
| 1-3 | √ | 0.3% | |||||
| Superpave-20 | 2-0 | 0 | |||||
| 2-1 | √ | 0.3% | |||||
| 2-2 | √ | 0.3% | |||||
| 2-3 | √ | 0.3% | |||||
| Superpave-25 | 3-0 | 0 | |||||
| 3-1 | √ | 0.3% | |||||
| 3-2 | √ | 0.3% | |||||
| 3-3 | √ | 0.3% |
| Types of Gradations | No. | Crack Resistance | Fatigue Resistance | High Temperature Deformation Resistance | Low Temperature Crack Resistance | Water Stability | Sum |
|---|---|---|---|---|---|---|---|
| SUP-13 | 1-0 | 1 | 1 | 1 | 1 | 1 | 5 |
| 1-1 | 1.15 | 1.50 | 1.22 | 1.06 | 1.09 | 6.02 | |
| 1-2 | 1.89 | 6.14 | 1.30 | 1.21 | 1.09 | 11.63 | |
| 1-3 | 1.46 | 5.64 | 1.25 | 1.08 | 1.08 | 10.51 | |
| SUP-20 | 2-0 | 1 | 1 | 1 | 1 | 1 | 5 |
| 2-1 | 1.54 | 2.22 | 1.23 | 1.17 | 1.05 | 7.21 | |
| 2-2 | 2.08 | 6.79 | 1.24 | 1.21 | 1.04 | 12.36 | |
| 2-3 | 1.44 | 1.19 | 1.16 | 1.10 | 1.02 | 5.91 | |
| SUP-25 | 3-0 | 1 | 1 | 1 | 1 | 1 | 5 |
| 3-1 | 1.80 | 2.69 | 1.20 | 1.15 | 1.04 | 7.88 | |
| 3-2 | 2.06 | 4.50 | 1.23 | 1.20 | 1.05 | 10.04 | |
| 3-3 | 1.46 | 3.60 | 1.16 | 1.10 | 1.02 | 8.34 |
© 2020 by the authors. Licensee MDPI, Basel, Switzerland. This article is an open access article distributed under the terms and conditions of the Creative Commons Attribution (CC BY) license (http://creativecommons.org/licenses/by/4.0/).
Share and Cite
Lou, K.; Xiao, P.; Kang, A.; Wu, Z.; Lu, P. Suitability of Fiber Lengths for Hot Mix Asphalt with Different Nominal Maximum Aggregate Size: A Pilot Experimental Investigation. Materials 2020, 13, 3685. https://doi.org/10.3390/ma13173685
Lou K, Xiao P, Kang A, Wu Z, Lu P. Suitability of Fiber Lengths for Hot Mix Asphalt with Different Nominal Maximum Aggregate Size: A Pilot Experimental Investigation. Materials. 2020; 13(17):3685. https://doi.org/10.3390/ma13173685
Chicago/Turabian StyleLou, Keke, Peng Xiao, Aihong Kang, Zhengguang Wu, and Pengcheng Lu. 2020. "Suitability of Fiber Lengths for Hot Mix Asphalt with Different Nominal Maximum Aggregate Size: A Pilot Experimental Investigation" Materials 13, no. 17: 3685. https://doi.org/10.3390/ma13173685
APA StyleLou, K., Xiao, P., Kang, A., Wu, Z., & Lu, P. (2020). Suitability of Fiber Lengths for Hot Mix Asphalt with Different Nominal Maximum Aggregate Size: A Pilot Experimental Investigation. Materials, 13(17), 3685. https://doi.org/10.3390/ma13173685
