Next Article in Journal
Spatial Distribution Evolution of Residual Stress and Microstructure in Laser-Peen-Formed Plates
Previous Article in Journal
Influence of Temperature and Sodium Sulfate Content on the Compaction Characteristics of Cement-Stabilized Macadam Base Materials
 
 
Font Type:
Arial Georgia Verdana
Font Size:
Aa Aa Aa
Line Spacing:
Column Width:
Background:
Article

The Effect of Poly(Vinyl Chloride) Powder Addition on the Thermomechanical Properties of Epoxy Composites Reinforced with Basalt Fiber

by
Danuta Matykiewicz
1,*,
Kamila Sałasińska
2 and
Mateusz Barczewski
1
1
Institute of Materials Technology, Faculty of Mechanical Engineering, Poznan University of Technology, Piotrowo 3, 61-138 Poznań, Poland
2
Central Institute for Labour Protection—National Research Institute, Department of Chemical, Biological and Aerosol Hazards, Czerniakowska 16, 00-701 Warsaw, Poland
*
Author to whom correspondence should be addressed.
Materials 2020, 13(16), 3611; https://doi.org/10.3390/ma13163611
Submission received: 4 July 2020 / Revised: 30 July 2020 / Accepted: 12 August 2020 / Published: 15 August 2020

Abstract

The aim of the article was to determine the effect of the poly(vinyl chloride) additive (PVC) on the thermomechanical and fire properties of epoxy composites reinforced with basalt fabric. Ten-layered composites with 2.5, 5 and 10 wt.% of PVC powder were fabricated using hand lay-up. The following features were evaluated for composites: structure (by scanning electron microscopy, SEM), thermomechanical properties (by dynamical thermomechanical analysis, DMTA), mechanical properties (in bending, tensile and interlaminar shear strength tests), hardness (using the Barcol method), thermal stability (by thermogravimetry, TGA) and fire behavior (using a cone calorimeter). It was found that the introduction of micron PVC powder into the epoxy matrix improved the thermomechanical properties of composites, such as storage module, and mechanical properties, such as flexural strength and modulus, as well as hardness.

1. Introduction

Technological development in various branches of industry creates the need for new construction materials [1,2,3]. Therefore, in recent years polymer composites have become a widely used construction material in many industries and the requirements for these materials are continually growing [4,5,6,7]. Due to the low strength and fire resistance of epoxy composites, various types of fillers and reinforcing fibers are introduced in order to improve their properties [8,9,10]. Due to the variety of interactions that may occur between individual components in a composite, the assessment of its properties is critical in order to determine its application potential. Epoxy resins reinforced with different types of particles can be classified as hybrid materials, which are designed using substances with different properties and form in order to achieve a significant improvement in the properties of the polymer matrix [11,12].
The following techniques are used to produce layered composites, depending on the shape, type of resin, permeability of the fibers and the time needed to make the element; hand lay-up process, resin transfer molding, vacuum-assisted resin transfer molding, and hot or cold pressing. The influence of selected forming methods on the properties of finished products has been widely described in the literature [13,14,15,16]. Basalt fiber (BF) is characterized by high strength, as well as chemical and thermal stability, which is why it has found wide application as a reinforcing material in polymer composites. Sarasini et al. proved that hybrid composites based on aramid and basalt woven fabrics have a better impact energy absorption capability than composites reinforced only with aramid fabric and enhanced damage tolerance [17]. Wang et al. described the degradation of the tensile properties of prestressed basalt fiber-reinforced polymer (BFRP) and hybrid FRP tendons in a marine environment [18]. Tirillò et al. described the effects of basalt fiber hybridization on high-velocity impact response of carbon fabric-reinforced epoxy composites [19].
Double modification of epoxy resin—through simultaneous reinforcement with a fiber filler and introducing dispersed powder filler—creates an opportunity to improve the mechanical, thermal, electrical or tribological of the composites. Li et al. used nanoparticles, such as montmorillonite, nano SiO2 and montmorillonite/nanoSiO2 double nanoparticles, for the modification of the epoxy/basalt fiber composites [20]. The combined nano-modifier composed of montmorillonite and nano SiO2 improved the interlaminar shear strength and impact strength of the epoxy/basalt fiber composites. Subagia et al. investigated the effect of different tourmaline micro/nano particle loading on the tensile and flexural properties of a basalt fiber-reinforced epoxy composite laminate [21]. They found that the addition of tourmaline significantly improved the tensile and flexural strength and modulus of the basalt/epoxy composite. Bulut proved that the addition of graphene nanopellets at low concentration into the epoxy matrix improves the mechanical properties of epoxy composites containing basalt fiber [22]. Natural graphite flakes used as a filler in the production of an epoxy composite reinforced with basalt fibers improved their mechanical properties, as described in the paper [23]. Khosravi et al. described the influence of the addition of multi-walled carbon nanotubes (MWCNT) to the epoxy matrix on the mechanical properties of unidirectional basalt fiber/epoxy composites [24]. While Kim et al. used MWCNT-coated basalt fibers as a reinforcement for epoxy resin [25], these composites showed highly improved flexural behaviors compared to the reference material. Abdi et al. reported that, in the case of basalt–epoxy composites modified with nano CaCO3, the tensile and flexural strength values increase with the amount of a introduced nanofiller as a result of improved load transfer between the nanocomposite matrix and BF [26]. In turn, Surana et al. used sawdust from the wood industry as a filler for basalt–epoxy composites, which improved the mechanical properties [27]. Obtaining a specific modification efficiency depends on the amount of polymer matrix filler used; for nanofillers it is usually up to 1% and it can reach up to 40% by weight in the case of micro fillers.
Products made of PVC are characterized by favorable properties and a relatively long life cycle. Still, finding an area to use recyclate from post-consumer PVC products seems to be an important ecological and technological issue. To the best of the authors’ knowledge, the available literature does not mention the use of powdered PVC as an effective modifier of the properties of basalt–epoxy composites. It should also be emphasized that the application of poly(vinyl chloride) powder to modify the properties of other fiber reinforced composites has not been described. In our previous work, we presented poly(vinyl chloride) powder as an inexpensive flame-retardant epoxy resin [28]. Therefore, the purpose of this work was to determine the possibility of using powdered PVC as a modifier in an epoxy composite reinforced with basalt fiber. The following features were evaluated for composites: structure (by scanning electron microscopy, SEM), thermomechanical properties (by dynamical thermomechanical analysis, DMTA), mechanical properties (in bending and interlaminar shear strength tests), hardness (using the Barcol method), thermal stability (by thermogravimetry, TGA) and fire behavior (using a cone calorimeter).

2. Materials and Methods

2.1. Materials

Epoxy resin Epidian 6 (EP6) based on bisphenol A (BPA) (viscosity at 25 °C; 10,000–15,000 mPas) with curing agent—triethylenetetramine (Z1)—both produced by CIECH Sarzyna S.A., Poland—were used as the matrix of the composites. Suspension poly(vinyl chloride) Polanvil S-67 (PVC) in the form of powder with particle size below 250 µm and basalt fiber woven fabric (BASALTEX)-type BAS 210.1270.P with 210 g/m2 were used as the filler. The epoxy resin was mixed with Z1 at the ratio: 13 parts Z1 per 100 parts EP6 by weight.

2.2. Sample Preparation

The epoxy resin was mixed using a mechanical stirrer Disperlux (proLAB, Gdańsk, Poland), with 2.5, 5 and 10 wt.% of PVC powder to the total weight of composition, respectively, under subatmospheric pressure conditions (0.2 Bar). The resulting compositions were mixed with a curing agent Z1 [28]. The epoxy composites were fabricated in a mold using hand lay-up, cured at ambient temperature (23 °C) for 24 h and post-cured at 80 °C for 3 h. They contained 10 layers of woven fabric. The samples were designated as 0PVC; 2.5PVC; 5PVC; 10PVC adequately to the PVC powder content.

2.3. Methods

The morphologies of the composites were monitored by Scanning Electron Microscopy (SEM). The fracture surfaces of the samples after impact tests were photographed at the magnification of 1000 with a scanning electron microscope Carl Zeiss Evo 40 (Oberkochen, Germany) and with an electron accelerating voltage of 12 kV. All materials were covered with a layer of gold.
Dynamic thermomechanical analysis (DMTA) was used to assess the thermomechanical properties of the composites using the Anton Paar MCR 301 apparatus (Graz, Austria) in the torsion mode, at a frequency of 1 Hz, in the temperature range of 25 °C–180° C and a heating rate of 2 °C/min. The glass transition temperature (Tg) was determined for the maximum tan δ value.
The material properties for bending were determined during a three-point bending test in accordance with DIN EN ISO 14125 using a Zwick Roell Z010 (Ulm, Germany) machine at a test speed of 1 mm/min and with a 10 kN load sensor. The width of the sample was 10 mm, the length of the span was calculated as 16-times the thickness of the sample.
Tensile mechanical behaviors were analyzed in accordance with ISO 527-4 by an INSTRON 4481 universal testing machine at 25 °C with a testing speed of 5 mm/min and a load cell of 50 kN.
Interlaminar Shear Strength Test (ILSS) was carried out in accordance with the EN2563.Zwick Roell Z010 machine at a test speed of 1 mm/min and with a 10 kN load sensor. Specimen dimensions for the short-beam shear test were 20 mm × 10 mm × 2 mm and the length of the span was 10 mm. The internal laminar shear strength of the composites was calculated using Equation (1).
τ = 3 P 4 bh
where: τ—the maximum ILSS at failure; P—the maximum load on the specimen; b—the width of the specimen; h—thickness of the specimen.
The hardness of the materials was determined with an ASTM D2583 standard Barcol hardness tester GYZJ-934-1 (Barber Colman Co., Loves Park, IL, USA).
The assessment of thermal stability of composites by the thermogravimetric method (TGA) was conducted in an air atmosphere in the temperature range from 30 °C to 900 °C and at the heating rate of 10 °C/min using a Netzsch TG 209 F1 apparatus (Selb, Germany) in ceramic pans. The initial decomposition temperature T10% was defined as the temperature at which the weight loss was 10% and the residual mass was determined at 900 °C. The maximum temperature of the thermal degradation and rate was also determined based on derivative thermogravimetric curves (DTG).
The fire behavior was determined by a cone calorimeter (Fire Testing Technology Ltd., East Grinstead, UK), in accordance with ISO 5660-1. The samples (100 × 100 × 4 mm3) were wrapped in an aluminum foil and placed on the holder in a steel frame, providing a surface area of 88.4 cm2. All specimens were irradiated horizontally at a heat flux of 35 kW/m2. After tests, the residues were photographed using a digital camera (EOS 400 D, Canon Inc. Tokyo, Japan).

3. Results

3.1. Composites Structure

The fracture morphology of composite samples was assessed using the SEM method. For all the tested samples, no significant differences were observed at the epoxy fiber-matrix interface (Figure 1a–d). This may indicate a good combination of all components in this layered composite. The fibers in the composites 5PVC and 10PVC were found to be more closely connected than in the reference sample (Figure 1c,d). Obtaining a favorable composite structure by properly connecting the epoxy matrix with the fiber and filler led to the improvement of the mechanical properties of the materials [29]. Moreover, SEM images of samples after ILSS tests are presented in Figure 2. The resulting pattern of damage in all cases was similar. The single pulled out fibers were not observed, which confirms their good connection with the matrix. Arrows indicate the distribution of PVC particles.

3.2. Thermomechanical Properties

The thermomechanical properties of the composites are one of the critical criteria determining the area of their application as construction materials. Therefore, the dynamic thermomechanical analysis provides important information on material properties, such as glass transition temperature, storage modulus, and damping factor. The storage modulus describes the amount of energy stored by the sample during one cycle of measurement [30]. Figure 3 shows the dependence of storage modulus and damping factor on temperature. Two peaks were observed on the tan δ curves for composites with PVC; the first one in the temperature range of 90–100 °C, which can be attributed to the glass transition of poly(vinyl chloride), and the second one in the range of 120–130 °C, which can be attributed to the glass transition of epoxy resin. It should be emphasized that, for all the tested PVC-modified composites, the value of storage modulus was higher than for the reference sample. G’ values determined at 30 °C for 2.5PVC, 5PVC and 10PVC samples were similar and averaged 3200 MPa, whereas for the sample 0PVC it was 2870 MPa (Table 1). It can be concluded that well-dispersed PVC particles can improve stiffness and act as a reinforcement in epoxy composites, which is consistent with our previous work [28]. Thermomechanical properties of fiber-reinforced materials are strictly dependent on the type of fiber, its weave, the type of matrix used, its continuity and the presence of other reinforcing molecules. Mineral fillers, if not functionalized, most often physically interact with the polymer matrix, while PVC, due to the Cl atom present, may be reactive with non-crosslinked epoxy monomers [31]. Therefore, when analyzing the G’ value above the glass transition temperature at 130 °C, a favorable effect is observed with the presence of modifier particles in the epoxy matrix, because these values are much higher than for PVC for samples 2.5PVC and 5PVC. This may indicate the favorable thermomechanical properties of these materials and higher resistance to temperature changes [9].

3.3. Flexural Behaviors

The bending resistance of fiber-reinforced composite materials is important for their functional properties. Flexural strength values for the modified 2.5PVC and 5PVC composites were similar to the unmodified sample (Table 2). Figure 4 shows the dependence of the obtained results of mechanical tests on the content of the PVC additive. However, a significant improvement of this value is observed from 250 MPa to 275 MPa for the composite with the highest content of PVC powder (10 wt.%). The values of the flexural modulus were similar for all the modified materials and slightly higher than for the reference sample. The addition of PVC powder may improve the rigidity of the tested materials and make it possible to obtain a composite with specific functionality [21].

3.4. Tensile Behaviors

Tensile strength values usually differ from flexural strength. For the tested materials, a decrease in tensile strength was noted in the group of modified PVC composites compared to the unmodified composites (Table 2). Nevertheless, Young’s modulus values for 2.5PVC and 5PVC samples were similar to the 0PVC sample, and a significant improvement in this parameter was noted for the 10PVC sample. This is consistent with our previous results, where the addition of PVC powder improves the stiffness of materials [28]. In order to compare the obtained mechanical properties of the tested composites, a table with literature data on similar systems based on epoxy resin reinforced with basalt fiber and modified with powder fillers is presented (Table 3). In the case of 10-layer basalt–epoxy composites modified with graphene nanoplatelets (GNPs) (0.1–0.3 wt.%), similar level values of flexural strength (275 MPa) and tensile strength (263 MPa) were obtained for composites with PVC [22]. Langovan et al. described that the addition of silica nanoparticles (SiO2) at 1.5 wt.% to epoxy/basalt composite pipes improved their flexural properties [32]. In the case of nanofillers, their addition at the level of 0.1–1 wt.% is enough to obtain improved properties. For fillers with a larger particle size, a much larger amount of additive is required. The beneficial effect of introducing sawdust (at 2 wt.%) into the epoxy matrix for six-layer basalt composites was described by Surana et al. [27].

3.5. Interlaminar Shear Strength

Interlaminar Shear Strength is the possibility to resist the inter-laminar deformation under load [33]. This is especially important in the case of composites reinforced with fibers and modified with other particles. The composites ILSS as well as the maximum load values determined, and the maximum load are summarized in the Table 4. The ILSS values for the modified composites were higher than those of the reference sample, which may indicate the beneficial effect of the PVC addition, and is in good agreement with the results obtained in the flexural test. This confirms the good strength of the interfacial bond between all composite components. In the work of Scalici et al. [13] the ILSS value for eight-layer basalt–epoxy composites was 18.9 MPa for composites produced by resin infusion and 21.1 MPa for composites produced by vacuum bagging. Therefore, it can be concluded that the results obtained for the tested PVC composites are satisfactory. Moreover, according to the literature, the Cl atom of PVC can attack the oxirane ring and chemically bond to the epoxy matrix [31]. Additionally, the recorded maximum force for all PVC composites was higher than for the neat sample. The highest values ILSS and p were recorded for the 5PVC sample. In the case of 10PVC these values were lower, which may be due to the tendency of a large amount of PVC particles to agglomerate. Figure 5 presents the dependence of load on displacement for investigated materials. The curves of all samples are characterized by the first linear region, followed by a sudden decrease and increase in load.

3.6. Hardness

The Barcol hardness methods determine the hardness of composite materials by the depth of penetration of the indenter into the material [34]. Barcol hardness values were, respectively, 45 for the 0PVC sample, and an average of 55 for samples modified with powdered PVC, which confirmed the beneficial effect of introducing this additive into the epoxy matrix.

3.7. Thermal Stability

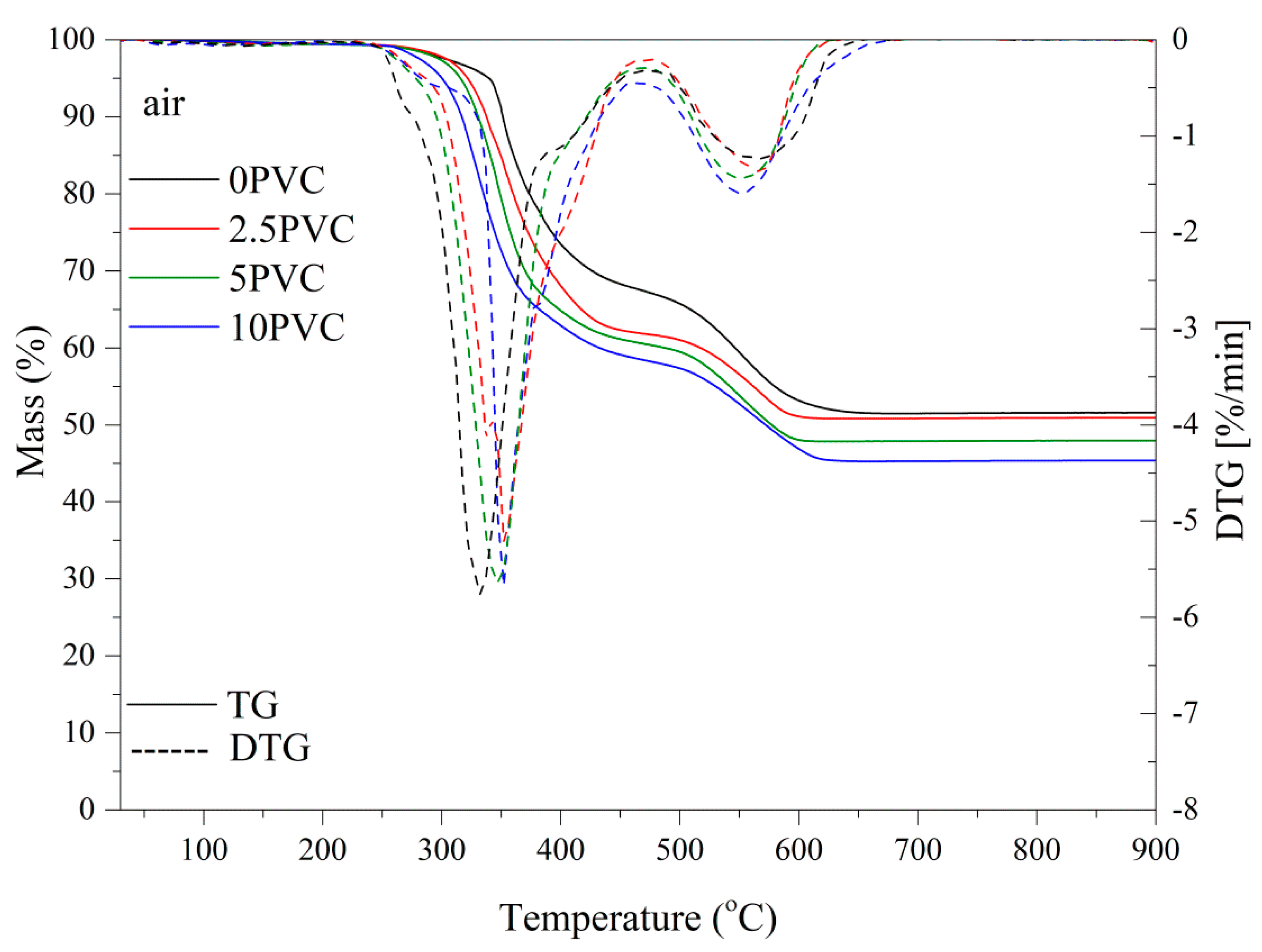
The thermogravimetric method was used to evaluate the thermal stability of the composites. The results are summarized in Table 5. The introduction of PVC powder reduced the T10% value of composites, caused by a partial distribution of PVC grains at a lower temperature than the pure epoxy resin. The residue mass after the test was similar in all cases, and on average reached 50 wt.%. It should be emphasized that the addition of PVC to the epoxy matrix delayed its degradation. This confirms the shift in the maximum decomposition temperature DTG peak towards higher temperatures for composite samples compared to the reference sample. The characteristic thermogravimetric curves are shown in Figure 6. A two-stage distribution was observed for all the tested composites.

3.8. Fire Behavior

Cone calorimeter tests were conducted to investigate the fire behavior of epoxy resin composites, and the relevant data, such as time to ignition (TTI), time to flameout (TTF), average heat release rate (av-HRR), total heat release (THR), maximum average rate of heat emission (MAHRE), fire residue and specific extinction area (SEA) are listed in Table 6.
As presented in Table 6, the addition of PVC powder resulted in TTI reduction, with the single exception of the 10PVC composite; moreover, in most cases, a higher TTF was observed.
The HRR curves of composites are shown in Figure 7. All the investigated materials exhibited curves consisting of two maxima, the first peaks were a result of the rapid initial increase in HRR, while the second appeared at the end of burning. Contrary to composites without PVC, higher values were obtained for the first peak, and the second peak flattened as the proportion of the additive increased. The average values of HRR were similar to those obtained for the reference material, and a slight decrease was noted for composites with the highest amount of PVC only (Table 6). The congruous reduction in av-HRR values (by approx. 10%) for epoxy composites containing 10 wt.% of PVC powder was observed in our previous work [28]. PVC has self-extinguishing properties and does not self-ignite [35]. Howeever, the introduction of only high content of powdered PVC into the epoxy resin has a positive effect on the fire resistance of composites, such as a reduction in heat release rate. In our previous article, a reduction in HRR and increase in TTI was achieved with 40 wt.% of PVC additive [28].
Maximum average rate of heat emission (MAHRE), corresponding to the peak of the cumulative heat emission divided by time, is another important parameter, used to assess the influence of materials on fire development. Compared to the reference material, the MARHE of composites with PVC was higher and reached similar values regardless of the poly(vinyl chloride) contribution. As shown in Table 6, the total heat release (THR) of the 0PVC sample was 63 MJ/m2, while that of the composites, in most cases, increased due to the addition of PVC. In some cases THR may be dependent on a length of flame burning time (TTF), however, the 2.5PVC and 5 PVC samples showed similar values of TTF to the reference sample.
Fire residues of the reference material and composites with 2.5–5 wt.% of PVC were similar and reached approx. 51%. The addition of a higher amount of thermoplastic powder caused a decrease in the investigated features. However, the results did not reflect the initial share of PVC. The reduction in the yield of residue with increasing PVC amount is confirmed by the photographs of samples after cone calorimetry tests (Figure 8). The addition of PVC powder did not have a positive effect on the smoke emission either. The specific extinction area (SEA) increased along with the amount of PVC, and the highest values (increase of approx. 7%) was recorded for composites modified with 10 wt.% of poly(vinyl chloride). The increase in this value was significant for the 10PVC sample, while for the 2.5PVC and 5PVC samples, these values were similar to the reference sample. The growth in the fumes emission as a result of PVC powder addition is consistent with the previous results [28].

4. Conclusions

The beneficial effect of introducing a powder filler in the form of poly(vinyl chloride) as a modifier in epoxy composites has been shown. The introduction of micron PVC powder into the epoxy matrix improved the thermomechanical properties of composites, such as storage modulus and mechanical properties, such as flexural strength and modulus and ILSS, as well as hardness. The TGA analysis has proven that the addition of PVC to the epoxy matrix retarded its rate of degradation. A slight decrease in the heat release rate was recorded for composites with the highest amount of PVC. Composites with 2.5 and 5 wt.% PVC showed similar fire properties to the reference sample. As for utility considerations, it is important to design materials that are safe for the environment. The introduction of powder fillers into layered composites is an easy method of obtaining materials with specific properties already at the stage of their components without the need for subsequent processing.

Author Contributions

Conceptualization, D.M.; methodology, D.M. and K.S.; validation, M.B.; formal analysis, M.B.; investigation, D.M., M.B. and K.S.; data curation, D.M. and K.S.; writing—original draft preparation, D.M.; writing—review and editing, D.M. and K.S. All authors have read and agreed to the published version of the manuscript.

Funding

This research was funded by the Ministry of Science and Higher Education in Poland under Project No 0613/SBAD/4630. The cone calorimetry investigations were realized using equipment allocated in the Central Institute for Labor Protection—National Research Institute.

Conflicts of Interest

The authors declare no conflict of interest.

References

  1. Ferreira, F.; Pinheiro, I.; de Souza, S.; Mei, L.; Lona, L. Polymer Composites Reinforced with Natural Fibers and Nanocellulose in the Automotive Industry: A Short Review. J. Compos. Sci. 2019, 3, 51. [Google Scholar] [CrossRef]
  2. Ravishankar, B.; Nayak, S.K.; Kader, M.A. Hybrid composites for automotive applications—A review. J. Reinf. Plast. Compos. 2019, 38, 835–845. [Google Scholar] [CrossRef]
  3. Brunner, A.J. Fracture mechanics of polymer composites in aerospace applications. In Polymer Composites in the Aerospace Industry; Elsevier: Amsterdam, The Netherlands, 2020; pp. 195–252. [Google Scholar]
  4. Kurańska, M.; Polaczek, K.; Auguścik-Królikowska, M.; Prociak, A.; Ryszkowska, J. Open-cell rigid polyurethane bio-foams based on modified used cooking oil. Polymer 2020, 190, 122164. [Google Scholar] [CrossRef]
  5. Hejna, A.; Sulyman, M.; Przybysz, M.; Saeb, M.R.; Klein, M.; Formela, K. On the Correlation of Lignocellulosic Filler Composition with the Performance Properties of Poly(ε-Caprolactone) Based Biocomposites. Waste Biomass Valorization 2020, 11, 1467–1479. [Google Scholar] [CrossRef]
  6. Czarnecka-Komorowska, D.; Sterzynski, T. Effect of Polyhedral Oligomeric Silsesquioxane on the Melting, Structure, and Mechanical Behavior of Polyoxymethylene. Polymers 2018, 10, 203. [Google Scholar] [CrossRef] [PubMed]
  7. Czarnecka-Komorowska, D.; Sterzynski, T.; Dutkiewicz, M. Polyoxymethylene/Polyhedral Oligomeric Silsesquioxane Composites: Processing, Crystallization, Morphology and Thermo-Mechanical Behavior. Int. Polym. Process. 2016, 31, 598–606. [Google Scholar] [CrossRef]
  8. Matykiewicz, D. Hybrid Epoxy Composites with Both Powder and Fiber Filler: A Review of Mechanical and Thermomechanical Properties. Materials 2020, 13, 1802. [Google Scholar] [CrossRef]
  9. Mahesh Babu, S.; Venkateswara Rao, M. Experimental Studies on the Effect of Basalt Powder Inclusion on Mechanical Properties of Hybrid Epoxy and Polyester Composites Reinforced with Glass Fiber. In Advances in Manufacturing Technology; Springer: Singapore, 2019; pp. 25–31. [Google Scholar]
  10. Matykiewicz, D. Biochar as an Effective Filler of Carbon Fiber Reinforced Bio-Epoxy Composites. Processes 2020, 8, 724. [Google Scholar] [CrossRef]
  11. Oliwa, R.; Bulanda, K.; Oleksy, M.; Ostynska, P.; Budzik, G.; Plocinska, M.; Krauze, S. Fire resistance and mechanical properties of powder-epoxy composites reinforced with recycled glass fiber laminate. Polimery 2020, 65, 280–288. [Google Scholar] [CrossRef]
  12. Barra, G.; Guadagno, L.; Vertuccio, L.; Simonet, B.; Santos, B.; Zarrelli, M.; Arena, M.; Viscardi, M. Different Methods of Dispersing Carbon Nanotubes in Epoxy Resin and Initial Evaluation of the Obtained Nanocomposite as a Matrix of Carbon Fiber Reinforced Laminate in Terms of Vibroacoustic Performance and Flammability. Materials 2019, 12, 2998. [Google Scholar] [CrossRef]
  13. Scalici, T.; Pitarresi, G.; Badagliacco, D.; Fiore, V.; Valenza, A. Mechanical properties of basalt fiber reinforced composites manufactured with different vacuum assisted impregnation techniques. Compos. Part B Eng. 2016, 104, 35–43. [Google Scholar] [CrossRef]
  14. Petrucci, R.; Santulli, C.; Puglia, D.; Nisini, E.; Sarasini, F.; Tirillò, J.; Torre, L.; Minak, G.; Kenny, J.M. Impact and post-impact damage characterisation of hybrid composite laminates based on basalt fibres in combination with flax, hemp and glass fibres manufactured by vacuum infusion. Compos. Part B Eng. 2015, 69, 507–515. [Google Scholar] [CrossRef]
  15. Raajeshkrishna, C.R.; Chandramohan, P. Effect of reinforcements and processing method on mechanical properties of glass and basalt epoxy composites. SN Appl. Sci. 2020, 2, 959. [Google Scholar] [CrossRef]
  16. Nautiyal, M.; Shrinet, A.; Ramachandran, M. Mechanical, Thermal and Morphological Characterization of Basalt Fibre Composite—A Review. IOP Conf. Ser. Mater. Sci. Eng. 2020, 810, 012043. [Google Scholar] [CrossRef]
  17. Sarasini, F.; Tirillò, J.; Valente, M.; Ferrante, L.; Cioffi, S.; Iannace, S.; Sorrentino, L. Hybrid composites based on aramid and basalt woven fabrics: Impact damage modes and residual flexural properties. Mater. Des. 2013, 49, 290–302. [Google Scholar] [CrossRef]
  18. Wang, X.; Wu, G.; Wu, Z.; Dong, Z.; Xie, Q. Evaluation of prestressed basalt fiber and hybrid fiber reinforced polymer tendons under marine environment. Mater. Des. 2014, 64, 721–728. [Google Scholar] [CrossRef]
  19. Tirillò, J.; Ferrante, L.; Sarasini, F.; Lampani, L.; Barbero, E.; Sánchez-Sáez, S.; Valente, T.; Gaudenzi, P. High velocity impact behaviour of hybrid basalt-carbon/epoxy composites. Compos. Struct. 2017, 168, 305–312. [Google Scholar] [CrossRef]
  20. Li, X.; Li, G.; Su, X.; Wang, Z. Synergistic reinforcement of epoxy/basalt fiber composites with dimensionally different nanoparticles. Polym. Eng. Sci. 2019, 59, 730–735. [Google Scholar] [CrossRef]
  21. Ary Subagia, I.D.G.; Tijing, L.D.; Kim, Y.; Kim, C.S.; Vista IV, F.P.; Shon, H.K. Mechanical performance of multiscale basalt fiber–epoxy laminates containing tourmaline micro/nano particles. Compos. Part B Eng. 2014, 58, 611–617. [Google Scholar] [CrossRef]
  22. Bulut, M. Mechanical characterization of Basalt/epoxy composite laminates containing graphene nanopellets. Compos. Part B Eng. 2017, 122, 71–78. [Google Scholar] [CrossRef]
  23. Kim, S.H.; Heo, Y.-J.; Park, M.; Min, B.-G.; Rhee, K.Y.; Park, S.-J. Effect of hydrophilic graphite flake on thermal conductivity and fracture toughness of basalt fibers/epoxy composites. Compos. Part B Eng. 2018, 153, 9–16. [Google Scholar] [CrossRef]
  24. Khosravi, H.; Eslami-Farsani, R. On the mechanical characterizations of unidirectional basalt fiber/epoxy laminated composites with 3-glycidoxypropyltrimethoxysilane functionalized multi-walled carbon nanotubes–enhanced matrix. J. Reinf. Plast. Compos. 2016, 35, 421–434. [Google Scholar] [CrossRef]
  25. Kim, M.; Lee, T.-W.; Park, S.-M.; Jeong, Y.G. Structures, electrical and mechanical properties of epoxy composites reinforced with MWCNT-coated basalt fibers. Compos. Part A Appl. Sci. Manuf. 2019, 123, 123–131. [Google Scholar] [CrossRef]
  26. Abdi, A.; Eslami-Farsani, R.; Khosravi, H. Evaluating the Mechanical Behavior of Basalt Fibers/Epoxy Composites Containing Surface-modified CaCO3 Nanoparticles. Fibers Polym. 2018, 19, 635–640. [Google Scholar] [CrossRef]
  27. Surana, I.; Pandya, D.J.; Padmaraj, N.H.; Hegde, S.; Chethan, K.N. Influence of filler material on mechanical and vibration properties of basalt/epoxy composites. Mater. Res. Express 2019, 6, 085342. [Google Scholar] [CrossRef]
  28. Barczewski, M.; Matykiewicz, D.; Sałasińska, K.; Kozicki, D.; Piasecki, A.; Skórczewska, K.; Lewandowski, K. Poly(vinyl chloride) powder as a low-cost flame retardant modifier for epoxy composites. Int. J. Polym. Anal. Charact. 2019, 24, 447–456. [Google Scholar] [CrossRef]
  29. Raajeshkrishna, C.R.; Chandramohan, P.; Saravanan, V.S. Thermomechanical characterization and morphological analysis of nano basalt reinforced epoxy nanocomposites. Int. J. Polym. Anal. Charact. 2020, 1–11. [Google Scholar] [CrossRef]
  30. Gupta, M.K.; Srivastava, R.K. Properties of sisal fibre reinforced epoxy composite. Indian J. Fibre Text. Res. 2016, 41, 235–241. [Google Scholar]
  31. Jouyandeh, M.; Ganjali, M.R.; Hadavand, B.S.; Aghazadeh, M.; Akbari, V.; Shammiry, F.; Saeb, M.R. Curing epoxy with polyvinyl chloride (PVC) surface-functionalized CoxFe3-xO4 nanoparticles. Prog. Org. Coatings 2019, 137, 105364. [Google Scholar] [CrossRef]
  32. Ilangovan, S.; Kumaran, S.S.; Vasudevan, A.; Naresh, K. Effect of silica nanoparticles on mechanical and thermal properties of neat epoxy and filament wounded E-glass/epoxy and basalt/epoxy composite tubes. Mater. Res. Express 2019, 6, 0850e2. [Google Scholar] [CrossRef]
  33. Naidu, P.P.; Raghavendra, G.; Ojha, S.; Paplal, B. Effect of g-C 3 N 4 nanofiller as filler on mechanical properties of multidirectional glass fiber epoxy hybrid composites. J. Appl. Polym. Sci. 2020, 137, 48413. [Google Scholar] [CrossRef]
  34. Subbaya, K.M.; Suresha, B.; Rajendra, N.; Varadarajan, Y.S. Grey-based Taguchi approach for wear assessment of SiC filled carbon–epoxy composites. Mater. Des. 2012, 41, 124–130. [Google Scholar] [CrossRef]
  35. Anays, M.M.; Tutikian, B.F.; Ortolan, V.; Oliveira, M.L.S.; Sampaio, C.H.; Gómez, P.L.; Silva, O.L.F. Fire resistance performance of concrete-PVC panels with polyvinyl chloride (PVC) stay in place (SIP) formwork. J. Mater. Res. Technol. 2019, 8, 4094–4107. [Google Scholar] [CrossRef]
Figure 1. Structure of composites (a) 0PVC; (b) 2.5PVC; (c) 5PVC; (d) 10PVC.
Figure 1. Structure of composites (a) 0PVC; (b) 2.5PVC; (c) 5PVC; (d) 10PVC.
Materials 13 03611 g001
Figure 2. Structure of composites after ILSS test (a) 0PVC; (b) 2.5PVC; (c) 5PVC; (d) 10PVC.
Figure 2. Structure of composites after ILSS test (a) 0PVC; (b) 2.5PVC; (c) 5PVC; (d) 10PVC.
Materials 13 03611 g002
Figure 3. DMTA curves of investigated materials.
Figure 3. DMTA curves of investigated materials.
Materials 13 03611 g003
Figure 4. Mechanical properties of the composites.
Figure 4. Mechanical properties of the composites.
Materials 13 03611 g004
Figure 5. The curves of load on displacement for investigated materials.
Figure 5. The curves of load on displacement for investigated materials.
Materials 13 03611 g005
Figure 6. The characteristic thermogravimetric curves of the composites.
Figure 6. The characteristic thermogravimetric curves of the composites.
Materials 13 03611 g006
Figure 7. Representative heat release rate curves of the composites.
Figure 7. Representative heat release rate curves of the composites.
Materials 13 03611 g007
Figure 8. Photographs of samples after cone calorimetry tests: (a) 0PVC, (b) 2.5PVC, (c) 5PVC, (d) 10PVC.
Figure 8. Photographs of samples after cone calorimetry tests: (a) 0PVC, (b) 2.5PVC, (c) 5PVC, (d) 10PVC.
Materials 13 03611 g008
Table 1. DMTA analysis results.
Table 1. DMTA analysis results.
NameG’(MPa) at 30 °CG’(MPa) at 130 °CTgI peak (°C)TgII peak (°C)
0PVC2870128116
2.5PVC325022597130
5PVC3180221100132
10PVC326010096127
Table 2. Mechanical properties of composites.
Table 2. Mechanical properties of composites.
NameFlexural Strength (MPa)Flexural Modulus (GPa)Tensile Strength (MPa)Tensile Modulus (GPa)Elongation at Break (%)
0PVC250 ± 1410.1 ± 0.5307 ± 97.7 ± 1.24.7 ± 0.2
2.5PVC252 ± 1211.6 ± 0.5262 ± 87.8 ± 0.84.4 ± 0.2
5PVC257 ± 1111.8 ± 0.7255 ± 77.5 ± 0.24.1 ± 0.2
10PVC275 ± 1311.8 ± 0.6263 ± 38.7 ± 0.64.4 ± 0.1
Table 3. Mechanical properties of basalt/epoxy composites with different filler.
Table 3. Mechanical properties of basalt/epoxy composites with different filler.
wt.% of Fillers and NameFlexural Strength (MPa)Flexural Modulus (GPa)Tensile Strength (MPa)Tensile Modulus (GPa)Ref.
0 GNPs2104.821213.1[18]
0.1 GNPs2738.124015.9
0.2 GNPs2327.822414.2
0.3 GNPs2205.722313.3
0 SiO21089
0.5 SiO21099.1[26]
1 SiO21329.6
1.5 SiO213710.9
01947.2
2 sawdust2527.5[22]
4 sawdust2057.0
6 sawdust1776.5
Table 4. ILSS of composites.
Table 4. ILSS of composites.
NameILSS (MPa)Max. Load, P (N)
0PVC22.6 ± 0.6756 ± 45
2.5PVC23.9 ± 0.3960 ± 25
5PVC26.7 ± 0.41100 ± 22
10PVC23.8 ± 0.8806 ± 60
Table 5. TG and DTG values of the materials examined in air atmosphere.
Table 5. TG and DTG values of the materials examined in air atmosphere.
NameT10% (°C)Residual Mass (%)DTG Peak Temperature (°C)Max Degradation Rate (%/min)
PVC271.01.05287.817.74
0PVC350.451.5331.65.78
2.5PVC337.650.9352.55.24
5PVC330.747.9347.25.64
10PVC317.545.4351.25.70
Table 6. Cone calorimeter results of investigated composites (irradiance 35 kW/m2).
Table 6. Cone calorimeter results of investigated composites (irradiance 35 kW/m2).
Sample TTI
(s)
TTF
(s)
av-HRR
(kW/m2)
MARHE
(kW/m2)
THR
(MJ/m2)
Fire Residue
(%)
SEA
(m2/kg)
0PVC63 (11 a)321 (32)239.0 (8)292.2 (10)63.0 (2)51.1 (3)865.2 (32)
2.5PVC61 (10)333 (13)242.0 (13)318.1 (2)66.2 (6)50.5 (2)848.3 (42)
5PVC54 (12)303 (25)245.4 (34)316.3 (18)52.9 (20)50.5 (1)898.2 (28)
10PVC63 (5)375 (27)215.1 (23)315.2 (16)68.1 (8)47.5 (2)923.7 (54)
a The values in parentheses are the standard deviations.

Share and Cite

MDPI and ACS Style

Matykiewicz, D.; Sałasińska, K.; Barczewski, M. The Effect of Poly(Vinyl Chloride) Powder Addition on the Thermomechanical Properties of Epoxy Composites Reinforced with Basalt Fiber. Materials 2020, 13, 3611. https://doi.org/10.3390/ma13163611

AMA Style

Matykiewicz D, Sałasińska K, Barczewski M. The Effect of Poly(Vinyl Chloride) Powder Addition on the Thermomechanical Properties of Epoxy Composites Reinforced with Basalt Fiber. Materials. 2020; 13(16):3611. https://doi.org/10.3390/ma13163611

Chicago/Turabian Style

Matykiewicz, Danuta, Kamila Sałasińska, and Mateusz Barczewski. 2020. "The Effect of Poly(Vinyl Chloride) Powder Addition on the Thermomechanical Properties of Epoxy Composites Reinforced with Basalt Fiber" Materials 13, no. 16: 3611. https://doi.org/10.3390/ma13163611

APA Style

Matykiewicz, D., Sałasińska, K., & Barczewski, M. (2020). The Effect of Poly(Vinyl Chloride) Powder Addition on the Thermomechanical Properties of Epoxy Composites Reinforced with Basalt Fiber. Materials, 13(16), 3611. https://doi.org/10.3390/ma13163611

Note that from the first issue of 2016, this journal uses article numbers instead of page numbers. See further details here.

Article Metrics

Back to TopTop