Finite Element Analysis of Axial Compression Steel Members Strengthened with Unbonded CFRP Laminates
Abstract
1. Introduction
2. Summary of Experimental Investigation
3. Numerical Work
3.1. Finite Element Model
3.2. Meshing and Elements
3.3. Material Properties
3.4. Support Conditions
3.5. Unbonded Condition
3.6. Load Application
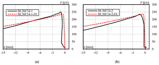
3.7. Model Validation
4. Parametric Study
4.1. Effect of Number of CFRP Layers
4.2. Effect of Slenderness Ratio
4.3. Effect of CFRP Length
4.4. Effect of Different Values of CFRP’s Elastic Modulus
4.5. Strength Design for Strengthened Members
5. Conclusions
- 1.
- The unbonded CFRP strengthening method is effective in improving the compressive strength of steel members as well as delaying overall buckling by reducing lateral displacements.
- 2.
- Increasing the number of CFRP layers will highly affect the increasing compressive strength of steel members.
- 3.
- The increase in compressive strength is higher for steel members with higher slenderness ratios.
- 4.
- A reduction in CFRP length will result in a decrease of the strength gain.
- 5.
- The difference in elastic modulus of CFRP only has a very small effect on strengthening steel with unbonded CFRP.
- 6.
- The method of the equivalent slenderness ratio proposed by the authors can be used for the design of axial compression steel members strengthened with unbonded CFRP laminates.
Author Contributions
Funding
Conflicts of Interest
References
- Kabir, M.H.; Fawzia, S.; Chan, T.H.T.; Gamage, J.C.P.H.; Bai, J.B. Experimental and numerical investigation of the behaviour of CFRP strengthened CHS beams subjected to bending. Eng. Struct. 2016, 113, 160–173. [Google Scholar] [CrossRef]
- Siwowski, T.W.; Siwowska, P. Experimental study on CFRP-strengthened steel beams. Compos. Part B Eng. 2018, 149, 12–21. [Google Scholar] [CrossRef]
- Linghoff, D.; Al-Emrani, M.; Kliger, R. Performance of steel beams strengthened with CFRP laminate—Part 1: Laboratory test. Compos. Part B Eng. 2010, 41, 509–515. [Google Scholar] [CrossRef]
- Liu, H.; Xiao, Z.; Zhao, X.L.; Al-Mahaidi, R. Prediction of fatigue life for CFRP-strengthened steel plates. Thin Walled Struct. 2009, 47, 1069–1077. [Google Scholar] [CrossRef]
- Wu, C.; Zhao, X.L.; Al-Mahaidi, R.; Emdad, M.R.; Duan, W. Fatigue tests of cracked steel plates strengthened with UHM CFRP plates. Adv. Struct. Eng. 2012, 15, 1801–1815. [Google Scholar] [CrossRef]
- Wang, H.T.; Wu, G.; Jiang, J.B. Fatigue behavior of cracked steel plates strengthened with different CFRP systems and configurations. J. Compos. Constr. 2016, 20, 04015078. [Google Scholar] [CrossRef]
- Sayed-Ahmed, E.Y.; Shaat, A.A.; Abdallah, E.A. CFRP-strengthened HSS columns subject to eccentric loading. J. Compos. Constr. 2018, 22, 04018025. [Google Scholar] [CrossRef]
- Ritchie, A.; Fam, A.; MacDougall, C. Strengthening long steel columns of S-Sections against global buckling around weak axis using CFRP plates of various moduli. J. Compos. Constr. 2015, 19, 04014074. [Google Scholar] [CrossRef]
- Shaat, A.; Fam, A. Axial loading tests on short and long hollow structural steel columns retrofitted using carbon fibre reinforced polymers. Can. J. Civ. Eng. 2006, 33, 458–470. [Google Scholar] [CrossRef]
- Imran, M.; Mahendran, M.; Keerthan, P. Experimental and numerical investigations of CFRP strengthened short SHS steel columns. Eng. Struct. 2018, 175, 879–894. [Google Scholar] [CrossRef]
- Wu, C.; He, L.; Ghafoori, E.; Zhao, X.L. Torsional strengthening of steel circular hollow sections (CHS) using CFRP composites. Eng. Struct. 2018, 171, 806–816. [Google Scholar] [CrossRef]
- Chahkand, N.A.; Jumaat, M.Z.; Sulong, N.H.R.; Zhao, X.L.; Mohammadizadeh, M.R. Experimental and theoretical investigation on torsional behaviour of CFRP strengthened square hollow steel section. Thin Walled Struct. 2013, 68, 135–140. [Google Scholar] [CrossRef]
- Wang, X.; Wu, C.; Zhao, X.L. Theoretical analysis of CFRP strengthened thin-walled steel square hollow section (SHS) under torsion. In Proceedings of the Fourth Asia-Pacific Conference on FRP in Structures (APFIS 2013), Melbourne, Australia, 11–13 December 2013. [Google Scholar]
- Hatami, F.; Ghamari, A.; Rahai, A. Investigating the properties of steel shear walls reinforced with carbon fiber polymers (CFRP). J. Constr. Steel Res. 2012, 70, 36–42. [Google Scholar] [CrossRef]
- Sahebjam, A.; Showkati, H. Experimental study on the cyclic behavior of perforated CFRP strengthened steel shear walls. Arch. Civ. Mech. Eng. 2016, 16, 365–379. [Google Scholar] [CrossRef]
- Nguyen, T.C.; Bai, Y.; Zhao, X.L.; Al-Mahaidi, R. Mechanical characterization of steel/CFRP double strap joints at elevated temperatures. Compos. Struct. 2011, 93, 1604–1612. [Google Scholar] [CrossRef]
- Chandrathilaka, E.R.K.; Gamage, J.C.P.H.; Fawzia, S. Mechanical characterization of CFRP/steel bond cured and tested at elevated temperature. Compos. Struct. 2019, 207, 471–477. [Google Scholar] [CrossRef]
- Hea, J.; Xian, G.; Zhang, Y.X. Effect of moderately elevated temperatures on bond behaviour of CFRP-to-steel bonded joints using different adhesives. Constr. Build. Mat. 2020, 241, 118057. [Google Scholar] [CrossRef]
- Dawood, M.; Rizkalla, S. Environmental durability of a CFRP system for strengthening steel structures. Constr. Build. Mat. 2010, 24, 1682–1689. [Google Scholar] [CrossRef]
- Nguyen, T.C.; Bai, Y.; Zhao, X.L.; Al-Mahaidi, R. Effects of ultraviolet radiation and associated elevated temperature on mechanical performance of steel/CFRP double strap joints. Compos. Struct. 2012, 94, 3563–3573. [Google Scholar] [CrossRef]
- Yoresta, F.S.; Maruta, R.; Mieda, G.; Matsumoto, Y. Unbonded CFRP strengthening method for buckling control of steel members. Constr. Build. Mat. 2020, 241, 118050. [Google Scholar] [CrossRef]
- Theory Manual Volume 1; LUSAS Version 14.7; LUCAS: Surrey, UK, 2011.
- Hiroshi, S. (Ed.) Mechanics of Composite Materials: Introduction to Engineering Beginners; Baifukan: Tokyo, Japan, 2009. (In Japanese) [Google Scholar]
- Crisfield, M.A. A fast incremental/iterative solution procedure that handles “snap-through”. Comput. Struct. 1981, 13, 55–62. [Google Scholar] [CrossRef]
- El-Kholi, A.M.; Mourad, S.A.; Shaheen, A.A.; Mohamed, Y.A. Finite element simulation for steel tubular members strengthened with FRP under compression. Struct. Eng. Mech. 2019, 72, 569–583. [Google Scholar]















| Specimens | FE Model | CFRP Length (mm) | CFRP Thickness (mm) | Number of CFRP Layer | Elastic Modulus of CFRP (GPa) | Poisson’s Ratio of CFRP |
|---|---|---|---|---|---|---|
| NS56BL | NS56BL-FE | - | - | - | - | - |
| BL56F26-1 | BL56F26-1-FE | 260 | 5.30 | 26 | 68.72 | 0.0311 |
| BL56F26-2 | BL56F26-2-FE | 260 | 5.85 | 28 | 67.49 | 0.0312 |
| BL56F34-1 | BL56F34-1-FE | 340 | 5.43 | 27 | 69.94 | 0.0311 |
| BL56F34-2 | BL56F34-2-FE | 340 | 6.02 | 28 | 65.06 | 0.0313 |
| Specimens | FE Model | Ultimate Load (kN) | Pexp./PFE | |
|---|---|---|---|---|
| Exp. (Pexp.) | FE (PFE) | |||
| NS56BL | NS56BL-FE | 214 | 213 | 1.00 |
| BL56F26-1 | BL56F26-1-FE | 249 | 230 | 1.08 |
| BL56F26-2 | BL56F26-2-FE | 228 | 231 | 0.99 |
| BL56F34-1 | BL56F34-1-FE | 250 | 235 | 1.06 |
| BL56F34-2 | BL56F34-2-FE | 234 | 236 | 0.99 |
| FE Model | Maximum Load (kN) | Increase Over Unstrengthened Model (%) | Lateral Displacement at Maximum Load (mm) | Decrease Over Unstrengthened Model (%) |
|---|---|---|---|---|
| Control-120 | 107.4 | - | 6.57 | - |
| 120-385-10L-E1 | 119.7 | 11.4 | 6.03 | 8.16 |
| 120-385-20L-E1 | 132.6 | 23.4 | 5.69 | 13.3 |
| 120-385-40L-E1 | 155.5 | 44.8 | 3.73 | 43.2 |
| 120-385-50L-E1 | 164.3 | 53.0 | 2.91 | 55.7 |
| 120-385-80L-E1 | 181.0 | 68.4 | 2.05 | 68.7 |
| 120-480-10L-E1 | 122.6 | 14.1 | 5.53 | 15.8 |
| 120-480-20L-E1 | 140.4 | 30.7 | 5.10 | 22.3 |
| 120-480-40L-E1 | 173.1 | 61.1 | 3.35 | 48.9 |
| 120-480-50L-E1 | 185.4 | 72.6 | 2.47 | 62.3 |
| 120-480-80L-E1 | 204.9 | 90.7 | 1.35 | 79.5 |
| 120-625-10L-E1 | 126.1 | 17.3 | 5.48 | 16.6 |
| 120-625-20L-E1 | 150.0 | 39.6 | 4.72 | 28.1 |
| 120-625-40L-E1 | 200.0 | 86.2 | 2.60 | 60.4 |
| 120-625-50L-E1 | 214.2 | 99.4 | 1.70 | 74.1 |
| 120-625-80L-E1 | 228.5 | 112.7 | 0.71 | 89.1 |
| 120-385-10L-E2 | 119.3 | 11.0 | 6.39 | 2.69 |
| 120-385-20L-E2 | 132.0 | 22.9 | 5.19 | 21.0 |
| 120-385-40L-E2 | 153.9 | 43.3 | 4.04 | 38.5 |
| 120-385-50L-E2 | 162.8 | 51.6 | 3.15 | 52.0 |
| 120-385-80L-E2 | 179.7 | 67.2 | 2.16 | 67.1 |
| Control-100 | 146.6 | - | 3.44 | - |
| 100-385-10L-E1 | 164.0 | 11.9 | 3.31 | 3.76 |
| 100-385-20L-E1 | 182.1 | 24.2 | 2.68 | 22.0 |
| 100-385-40L-E1 | 206.2 | 40.7 | 1.52 | 55.8 |
| 100-385-50L-E1 | 212.5 | 45.0 | 1.13 | 67.2 |
| 100-385-80L-E1 | 221.4 | 51.0 | 0.82 | 76.2 |
| Control-70 | 212.8 | - | 0.87 | - |
| 70-385-10L-E1 | 226.1 | 6.25 | 0.73 | 16.0 |
| 70-385-20L-E1 | 235.5 | 10.6 | 0.60 | 30.5 |
| 70-385-40L-E1 | 240.4 | 12.9 | 0.39 | 55.0 |
| 70-385-50L-E1 | 241.1 | 13.3 | 0.35 | 59.9 |
| 70-385-80L-E1 | 242.0 | 13.7 | 0.25 | 71.3 |
| FE Model | Max. Stress (MPa) | Euler Buckling Stress (MPa) | λeq. (Low–Up) | Rec. Design Strength (MPa) (Low–Up) | σ(rec.)/σ(FEM) | ||
|---|---|---|---|---|---|---|---|
| Low | Up | Low | Up | ||||
| 120-385-10L-E1 | 148.8 | 155.7 | 160.1 | 114.0–112.4 | 135.81–139.12 | 0.91 | 0.94 |
| 120-385-20L-E1 | 164.8 | 173.1 | 184.1 | 108.1–104.8 | 148.39–155.59 | 0.90 | 0.94 |
| 120-385-40L-E1 | 193.4 | 208.2 | 238.5 | 98.58–92.10 | 169.63–184.46 | 0.88 | 0.95 |
| 120-385-50L-E1 | 204.3 | 223.3 | 264.7 | 95.19–87.43 | 177.36–195.26 | 0.87 | 0.96 |
| 120-385-80L-E1 | 225.0 | 254.4 | 324.2 | 89.18–79.00 | 191.22–214.76 | 0.85 | 0.95 |
| 120-480-10L-E1 | 152.4 | 159.2 | 163.8 | 112.7–111.1 | 138.45–141.88 | 0.91 | 0.93 |
| 120-480-20L-E1 | 174.6 | 181.7 | 194.1 | 105.5–102.1 | 154.05–161.72 | 0.88 | 0.93 |
| 120-480-40L-E1 | 215.2 | 230.9 | 271.2 | 93.62–86.37 | 180.97–197.71 | 0.84 | 0.92 |
| 120-480-50L-E1 | 230.5 | 253.5 | 312.9 | 89.33–80.41 | 190.86–211.52 | 0.83 | 0.92 |
| 120-480-80L-E1 | 254.8 | 302.9 | 420.5 | 81.73–69.36 | 208.47–236.64 | 0.82 | 0.93 |
| 120-625-10L-E1 | 156.7 | 164.0 | 168.0 | 111.1–109.8 | 142.01–144.84 | 0.91 | 0.92 |
| 120-625-20L-E1 | 186.5 | 194.3 | 205.9 | 102.1–99.13 | 161.80–168.39 | 0.87 | 0.90 |
| 120-625-40L-E1 | 248.7 | 270.0 | 318.0 | 86.56–79.77 | 197.28–212.99 | 0.79 | 0.86 |
| 120-625-50L-E1 | 266.4 | 309.9 | 391.3 | 80.80–71.91 | 210.62–230.94 | 0.79 | 0.87 |
| 120-625-80L-E1 | 284.1 | 406.9 | 643.4 | 70.52–56.08 | 234.07–264.98 | 0.82 | 0.93 |
| 120-385-10L-E2 | 148.3 | 155.4 | 159.7 | 114.1–112.6 | 135.58–138.84 | 0.91 | 0.94 |
| 120-385-20L-E2 | 164.1 | 172.1 | 182.7 | 108.4–105.2 | 147.71–154.69 | 0.90 | 0.94 |
| 120-385-40L-E2 | 191.4 | 205.6 | 234.2 | 99.20–92.95 | 168.22–182.51 | 0.88 | 0.95 |
| 120-385-50L-E2 | 202.5 | 220.2 | 259.2 | 95.85–88.35 | 175–193.12 | 0.87 | 0.95 |
| 120-385-80L-E2 | 223.4 | 251.3 | 317.9 | 89.73–79.78 | 189.95–212.97 | 0.85 | 0.95 |
| 100-385-10L-E1 | 203.9 | 228.3 | 234.9 | 94.14–92.80 | 179.76–182.86 | 0.88 | 0.90 |
| 100-385-20L-E1 | 226.5 | 259.3 | 277.0 | 88.34–85.47 | 193.15–199.80 | 0.85 | 0.88 |
| 100-385-40L-E1 | 256.4 | 326.0 | 381.5 | 78.79–72.83 | 215.26–228.87 | 0.84 | 0.89 |
| 100-385-50L-E1 | 264.3 | 356.3 | 436.8 | 75.36–68.06 | 223.12–239.53 | 0.84 | 0.91 |
| 100-385-80L-E1 | 275.3 | 421.6 | 575.4 | 69.28–59.30 | 236.83–258.38 | 0.86 | 0.94 |
| 70-385-10L-E1 | 281.2 | 485.0 | 495.7 | 64.59–63.89 | 247.14–248.65 | 0.88 | 0.88 |
| 70-385-20L-E1 | 292.8 | 579.2 | 611.0 | 59.10–57.54 | 258.79–262.00 | 0.88 | 0.89 |
| 70-385-40L-E1 | 298.9 | 823.0 | 960.8 | 49.58–45.89 | 277.61–284.33 | 0.93 | 0.95 |
| 70-385-50L-E1 | 299.8 | 956.2 | 1198.2 | 46.00–41.09 | 284.13–292.49 | 0.95 | 0.98 |
| 70-385-80L-E1 | 301.0 | 1291.4 | 2083.4 | 39.58–31.16 | 294.92–307.08 | 0.98 | 1.02 |
© 2020 by the authors. Licensee MDPI, Basel, Switzerland. This article is an open access article distributed under the terms and conditions of the Creative Commons Attribution (CC BY) license (http://creativecommons.org/licenses/by/4.0/).
Share and Cite
Yoresta, F.S.; Nhut, P.V.; Matsumoto, Y. Finite Element Analysis of Axial Compression Steel Members Strengthened with Unbonded CFRP Laminates. Materials 2020, 13, 3540. https://doi.org/10.3390/ma13163540
Yoresta FS, Nhut PV, Matsumoto Y. Finite Element Analysis of Axial Compression Steel Members Strengthened with Unbonded CFRP Laminates. Materials. 2020; 13(16):3540. https://doi.org/10.3390/ma13163540
Chicago/Turabian StyleYoresta, Fengky Satria, Phan Viet Nhut, and Yukihiro Matsumoto. 2020. "Finite Element Analysis of Axial Compression Steel Members Strengthened with Unbonded CFRP Laminates" Materials 13, no. 16: 3540. https://doi.org/10.3390/ma13163540
APA StyleYoresta, F. S., Nhut, P. V., & Matsumoto, Y. (2020). Finite Element Analysis of Axial Compression Steel Members Strengthened with Unbonded CFRP Laminates. Materials, 13(16), 3540. https://doi.org/10.3390/ma13163540

