Resistive Switching of GaAs Oxide Nanostructures
Abstract
1. Introduction
2. Materials and Methods
3. Results and Discussion
3.1. Nanostructures
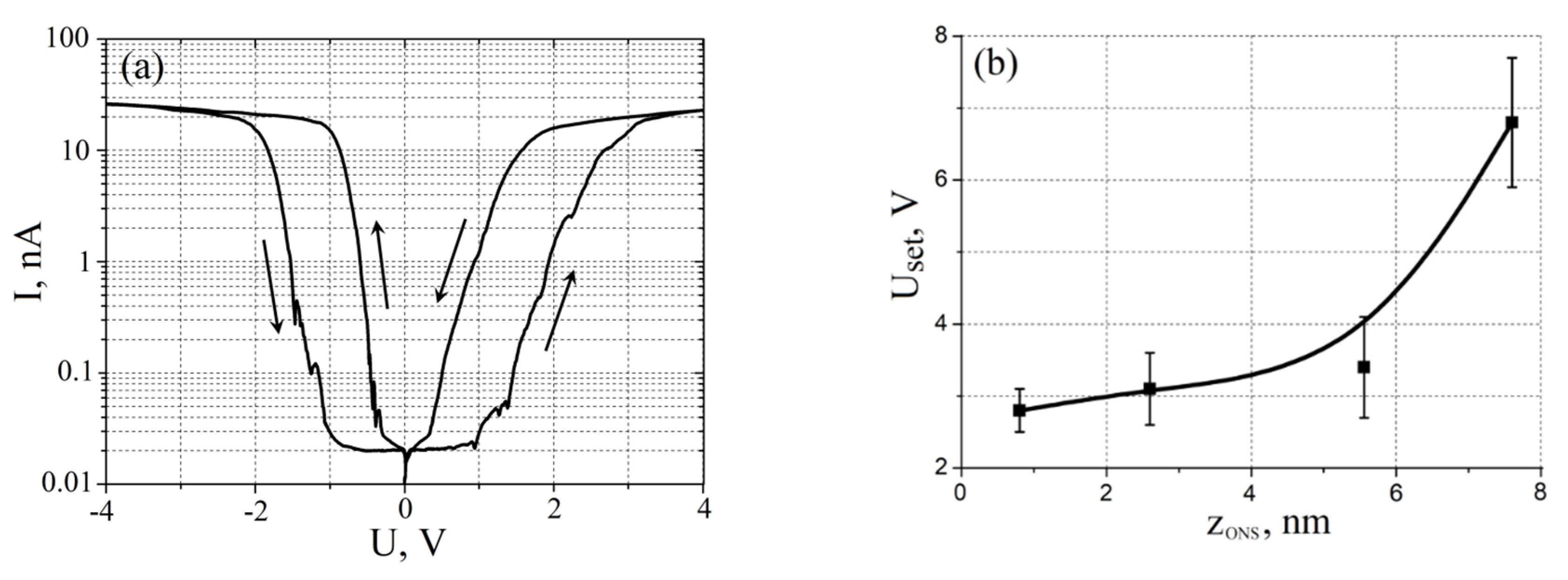
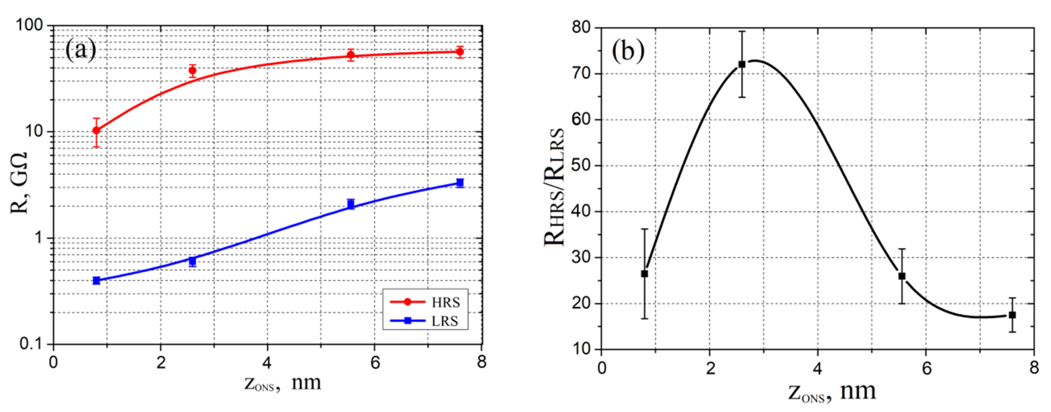
3.2. Effect of Resistive Switching
4. Conclusions
Author Contributions
Funding
Acknowledgments
Conflicts of Interest
References
- Yeh, N.C. Nanotechnology for electronics & photonics. Technovation 2013, 33, 108. [Google Scholar]
- Rae, A. Real life applications of nanotechnology in electronics. Board Technol. 2006, 1, 28. [Google Scholar]
- Doering, R. Potential opportunities for nanotechnology in electronics manufacturing. Solid State Technol. 2011, 54, 12–15. [Google Scholar]
- Jo, S.H.; Chang, T.; Ebong, I.; Bhadviya, B.B.; Mazumder, P.; Lu, W. Nanoscale memristor device as synapse in neuromorphic systems. Nano Lett. 2010, 10, 1297–1301. [Google Scholar] [CrossRef]
- Rozenberg, M.J.; Inoue, I.H.; Sanchez, M.J. Nonvolatile memory with multilevel switching: A basic model. Phys. Rev. Lett. 2004, 92, 178302. [Google Scholar] [CrossRef]
- Chua, L. Resistance switching memories are memristors. Appl. Phys. A 2011, 102, 765–783. [Google Scholar] [CrossRef]
- Jo, S.H.; Kim, K.H.; Lu, W. High-Density crossbar arrays based on a Si memristive system. Nano Lett. 2009, 9, 870–874. [Google Scholar] [CrossRef]
- Ko, S.H.; Park, I.; Pan, H.; Grigoropoulos, C.P.; Pisano, A.P.; Luscombe, C.K.; Fréchet, J.M. Direct nanoimprinting of metal nanoparticles for nanoscale electronics fabrication. Nano Lett. 2007, 7, 1869–1877. [Google Scholar] [CrossRef]
- Chen, Q.; Hubbard, G.; Shields, P.A.; Liu, C.; Allsopp, D.W.; Wang, W.N.; Abbott, S. Broadband moth-eye antireflection coatings fabricated by low-cost nanoimprinting. Appl. Phys. Lett. 2009, 94, 263118. [Google Scholar] [CrossRef]
- Vieu, C.; Carcenac, F.; Pepin, A.; Chen, Y.; Mejias, M.; Lebib, A.; Launois, H. Electron beam lithography: Resolution limits and applications. Appl. Surf. Sci. 2000, 164, 111–117. [Google Scholar] [CrossRef]
- Tseng, A.A.; Chen, K.; Chen, C.D.; Ma, K.J. Electron beam lithography in nanoscale fabrication: Recent development. IEEE Trans. Electron. Packag. Manuf. 2003, 26, 141–149. [Google Scholar] [CrossRef]
- Orloff, J. High-resolution focused ion beams. Rev. Sci. Instrum. 1993, 64, 1105–1130. [Google Scholar] [CrossRef]
- Tseng, A.A. Recent developments in nanofabrication using focused ion beams. Small 2005, 1, 924–939. [Google Scholar] [CrossRef]
- Xie, Q.; Hong, M.H.; Tan, H.L.; Chen, G.X.; Shi, L.P.; Chong, T.C. Fabrication of nanostructures with laser interference lithography. J. Alloys Compd. 2008, 449, 261–264. [Google Scholar] [CrossRef]
- Avilov, V.I.; Smirnov, V.A.; Tominov, R.V.; Sharapov, N.A.; Polupanov, N.A.; Ageev, O.A. Phase composition investigation of titanium oxide nanostructures obtained by the local anodic oxidation. IOP Conf. Ser. Mater. Sci. Eng. 2019, 699, 012003. [Google Scholar] [CrossRef]
- Avilov, V.I.; Tominov, R.V.; Sharapov, N.A.; Smirnov, V.A.; Ageev, O.A. Local Anodic Oxidation Proceses Influence and Temterature Stability on the Memristive Propherties of Titanium Oxide Nanostructures for ReRAM Development. In Proceedings of the 2020 Moscow Workshop on Electronic and Networking Technologies (MWENT), Moscow, Russia, 11–13 March 2020; pp. 1–5. [Google Scholar]
- Avilov, V.I.; Smirnov, V.A.; Tominov, R.V.; Sharapov, N.A.; Avakyan, A.A.; Polyakova, V.V.; Ageev, O.A. Atomic force microscopy of titanium oxide nanostructures with forming-free resistive switching. Conf. Ser. Mater. Sci. Eng. 2019, 699, 012004. [Google Scholar] [CrossRef]
- Tominov, R.V.; Polupanov, N.A.; Avilov, V.I.; Solodovnik, M.S.; Parshina, N.V.; Smirnov, V.A.; Ageev, O.A. Investigation of resistive switching in gallium oxide nanostructures formed by local anodic oxidation. J. Phys. Conf. Ser. 2019, 1410, 012233. [Google Scholar] [CrossRef]
- Avilov, V.I.; Kolomiytsev, A.S.; Tominov, R.V.; Alyabyeva, N.I.; Bykova, E.M. Investigation of the electrode material influence on the titanium oxide nanosize structures memristor effect. J. Phys. Conf. Ser. 2018, 1124, 2. [Google Scholar] [CrossRef]
- Avilov, V.I.; Smirnov, V.A.; Fedotov, A.A.; Tominov, R.V.; Sharapov, N.A.; Polupanov, N.A. Formation of memristor nanostructures for RRAM memory by local anodic oxidation. MS E 2018, 443, 012004. [Google Scholar]
- Avilov, V.I.; Polupanov, N.V.; Tominov, R.V.; Smirnov, V.A.; Ageev, O.A. Scanning probe nanolithography of resistive memory element based on titanium oxide memristor structures. IOP Conf. Ser. Mater. Sci. Eng. 2017, 256, 012001. [Google Scholar] [CrossRef]
- Ageev, O.; Konoplev, B. (Eds.) Nanotechnology in Microelectronics; Nauka: Moscow, Russia, 2019; p. 511. [Google Scholar]
- Bolotin, K.I.; Kuemmeth, F.; Pasupathy, A.N.; Ralph, D.C. Metal-nanoparticle single-electron transistors fabricated using electromigration. Appl. Phys. Lett. 2004, 84, 3154–3156. [Google Scholar] [CrossRef]
- Sala, E.M.; Bollani, M.; Bietti, S.; Fedorov, A.; Esposito, L.; Sanguinetti, S. Ordered array of Ga droplets on GaAs (001) by local anodic oxidation. J. Vac. Sci. Technol. B Nanotechnol. Microelectron. Mater. Process. Meas. Phenom. 2014, 32, 061206. [Google Scholar] [CrossRef]
- Nakamura, H.; Kohmoto, S.; Ishikawa, T.; Asakawa, K. Novel nano-scale site-controlled InAs quantum dot assisted by scanning tunneling microscope probe. Phys. E Low Dimens. Syst. Nanostruct. 2000, 7, 331–336. [Google Scholar] [CrossRef]
- Masubuchi, S.; Ono, M.; Yoshida, K.; Hirakawa, K.; Machida, T. Fabrication of graphene nanoribbon by local anodic oxidation lithography using atomic force microscope. Appl. Phys. Lett. 2009, 94, 082107. [Google Scholar] [CrossRef]
- Tominov, R.V.; Vakulov, Z.E.; Avilov, V.I.; Khakhulin, D.A.; Fedotov, A.A.; Zamburg, E.G.; Ageev, O.A. Synthesis and Memristor Effect of a Forming-Free ZnO Nanocrystalline Films. Nanomaterials 2020, 10, 1007. [Google Scholar] [CrossRef]
- Taylor, C.; Marega, E.; Stach, E.A.; Salamo, G.; Hussey, L.; Muñoz, M.; Malshe, A. Directed self-assembly of quantum structures by nanomechanical stamping using probe tips. Nanotechnology 2007, 19, 015301. [Google Scholar] [CrossRef][Green Version]
- Sellin, R.L.; Ribbat, C.; Grundmann, M.; Ledentsov, N.N.; Bimberg, D. Close-to-ideal device characteristics of high-power InGaAs/GaAs quantum dot lasers. Appl. Phys. Lett. 2001, 78, 1207–1209. [Google Scholar] [CrossRef]
- Rogalski, A. Infrared detectors: Status and trends. Prog. Quantum Electron. 2003, 27, 59–210. [Google Scholar] [CrossRef]
- Bhattacharya, P.; Mi, Z. Quantum-dot optoelectronic devices. Proc. IEEE 2007, 95, 1723–1740. [Google Scholar] [CrossRef]
- Fischbein, M.D.; Drndic, M. CdSe nanocrystal quantum-dot memory. Appl. Phys. Lett. 2005, 86, 193106. [Google Scholar] [CrossRef]
- Madhukar, A.; Lu, S.; Konkar, A.; Zhang, Y.; Ho, M.; Hughes, S.M.; Alivisatos, A.P. Integrated semiconductor nanocrystal and epitaxial nanostructure systems: Structural and optical behavior. Nano Lett. 2005, 5, 479–482. [Google Scholar] [CrossRef] [PubMed]
- Yang, J.B.; Chang, T.C.; Huang, J.J.; Chen, S.C.; Yang, P.C.; Chen, Y.T.; Tsai, M.J. Resistive switching characteristics of gallium oxide for nonvolatile memory application. Thin Solid Films 2013, 529, 200–204. [Google Scholar] [CrossRef]
- Balakirev, S.V.; Solodovnik, M.S.; Eremenko, M.M.; Konoplev, B.G.; Ageev, O.A. Mechanism of nucleation and critical layer formation during In/GaAs droplet epitaxy. Nanotechnology 2019, 30, 505601. [Google Scholar] [CrossRef] [PubMed]
- Balakirev, S.V.; Solodovnik, M.S.; Ageev, O.A. Hybrid Analytical–Monte Carlo Model of In/GaAs (001) Droplet Epitaxy: Theory and Experiment. Phys. Status Solidi 2018, 255, 1700360. [Google Scholar] [CrossRef]
- Ageev, O.A.; Solodovnik, M.S.; Balakirev, S.V.; Mikhaylin, I.A. Monte Carlo investigation of the influence of V/III flux ratio on GaAs/GaAs (001) submonolayer epitaxy. Tech. Phys. 2016, 61, 971–977. [Google Scholar] [CrossRef]
- Ageev, O.A.; Solodovnik, M.S.; Balakirev, S.V.; Mikhaylin, I.A.; Eremenko, M.M. Monte Carlo simulation of the kinetic effects on GaAs/GaAs (001) MBE growth. J. Cryst. Growth 2017, 457, 46–51. [Google Scholar] [CrossRef]
- Wang, Y.; Tian, H.; Zhang, L. Role of starch nanocrystals and cellulose whiskers in synergistic reinforcement of waterborne polyurethane. Carbohydr. Polym. 2010, 80, 665–671. [Google Scholar] [CrossRef]
- Sibirev, N.V. Statistics of nucleation associated with the growth of whisker nanocrystals. Tech. Phys. Lett. 2013, 39, 660–663. [Google Scholar] [CrossRef]
- Lahti, P.J.; Mączynski, M.J. Partial order of quantum effects. J. Math. Phys. 1995, 36, 1673–1680. [Google Scholar] [CrossRef]
- Mori, G.; Lazzarino, M.; Ercolani, D.; Sorba, L.; Heun, S.; Locatelli, A. Desorption dynamics of oxide nanostructures fabricated by local anodic oxidation nanolithography. J. Appl. Phys. 2005, 97, 114324. [Google Scholar] [CrossRef]
- Greenwood, N.N.; Earnshaw, A. Chemistry of the Elements, 2nd ed.; Butterworth-Heinemann: Oxford, UK, 1997; pp. 576–577. ISBN 0-7506-3365-4. [Google Scholar]
- Yang, Y.; Lu, W. Nanoscale resistive switching devices: Mechanisms and modeling. Nanoscale 2013, 5, 10076–10092. [Google Scholar] [CrossRef] [PubMed]
- Padovani, A.; Larcher, L.; Pirrotta, O.; Vandelli, L.; Bersuker, G. Microscopic modeling of HfO x RRAM operations: From forming to switching. IEEE Trans. Electron Devices 2015, 62, 1998–2006. [Google Scholar] [CrossRef]










© 2020 by the authors. Licensee MDPI, Basel, Switzerland. This article is an open access article distributed under the terms and conditions of the Creative Commons Attribution (CC BY) license (http://creativecommons.org/licenses/by/4.0/).
Share and Cite
Avilov, V.; Polupanov, N.; Tominov, R.; Solodovnik, M.; Konoplev, B.; Smirnov, V.; Ageev, O. Resistive Switching of GaAs Oxide Nanostructures. Materials 2020, 13, 3451. https://doi.org/10.3390/ma13163451
Avilov V, Polupanov N, Tominov R, Solodovnik M, Konoplev B, Smirnov V, Ageev O. Resistive Switching of GaAs Oxide Nanostructures. Materials. 2020; 13(16):3451. https://doi.org/10.3390/ma13163451
Chicago/Turabian StyleAvilov, Vadim, Nikita Polupanov, Roman Tominov, Maxim Solodovnik, Boris Konoplev, Vladimir Smirnov, and Oleg Ageev. 2020. "Resistive Switching of GaAs Oxide Nanostructures" Materials 13, no. 16: 3451. https://doi.org/10.3390/ma13163451
APA StyleAvilov, V., Polupanov, N., Tominov, R., Solodovnik, M., Konoplev, B., Smirnov, V., & Ageev, O. (2020). Resistive Switching of GaAs Oxide Nanostructures. Materials, 13(16), 3451. https://doi.org/10.3390/ma13163451

