Influence of Fly Ash Additive on the Properties of Concrete with Slag Cement
Abstract
1. Introduction
- Increased stable strength and very good dynamics of strength increase over long periods of maturation;
- Low heat of hydration [24];
- High resistance to the action of corrosion factors, especially sulfates [24];
- Lower water and salt absorption [24];
- Resistance to chloride penetration and reinforcement corrosion [24];
- Low capillary porosity [25];
- Good workability of the mix;
- Stability of volume;
- Resistance to the destructive action of alkali from cement in concrete with reactive aggregate [24];
- Light color, allowing for its use in the production of architectural concrete.
- Improved workability and stability of the concrete mix;
- Reduced effects of water release from concrete—less “bleeding”;
- Increased tightness.
2. Materials and Methods
- Slag cement CEM IIIA 42.5 and CEM IIIA 32.5;
- Fly ash;
- Fine aggregate—pit sand with a maximum size of 2.0 mm;
- Coarse aggregate—natural gravel with a minimum and maximum size of 2.0 and 8.0 mm;
- Lignosulfonate- and naphthalene-based admixture;
- Polycarboxylate-based admixture;
- Pure laboratory pipeline water.
2.1. Cements
2.2. Fly Ash
- Fineness: category N, below 12%;
- Loss on ignition: category A, below 5%.
- Mullite A3S2;
- Quartz SiO2;
- Hematite Fe2O3;
- Magnetite Fe3O4.
2.3. Concrete Mixes
3. Test Methods
3.1. Concrete Mix Consistency Testing
3.2. Research on Migration of Chloride Ions in Concrete
3.3. Concrete Waterproof Test
3.4. Testing of Compressive Strength of Concrete
3.5. Testing of Tensile Strength of Concrete During Splitting
4. Test Results
4.1. Concrete Mix Consistency
4.2. Concrete Resistance to Chloride Ion Penetration
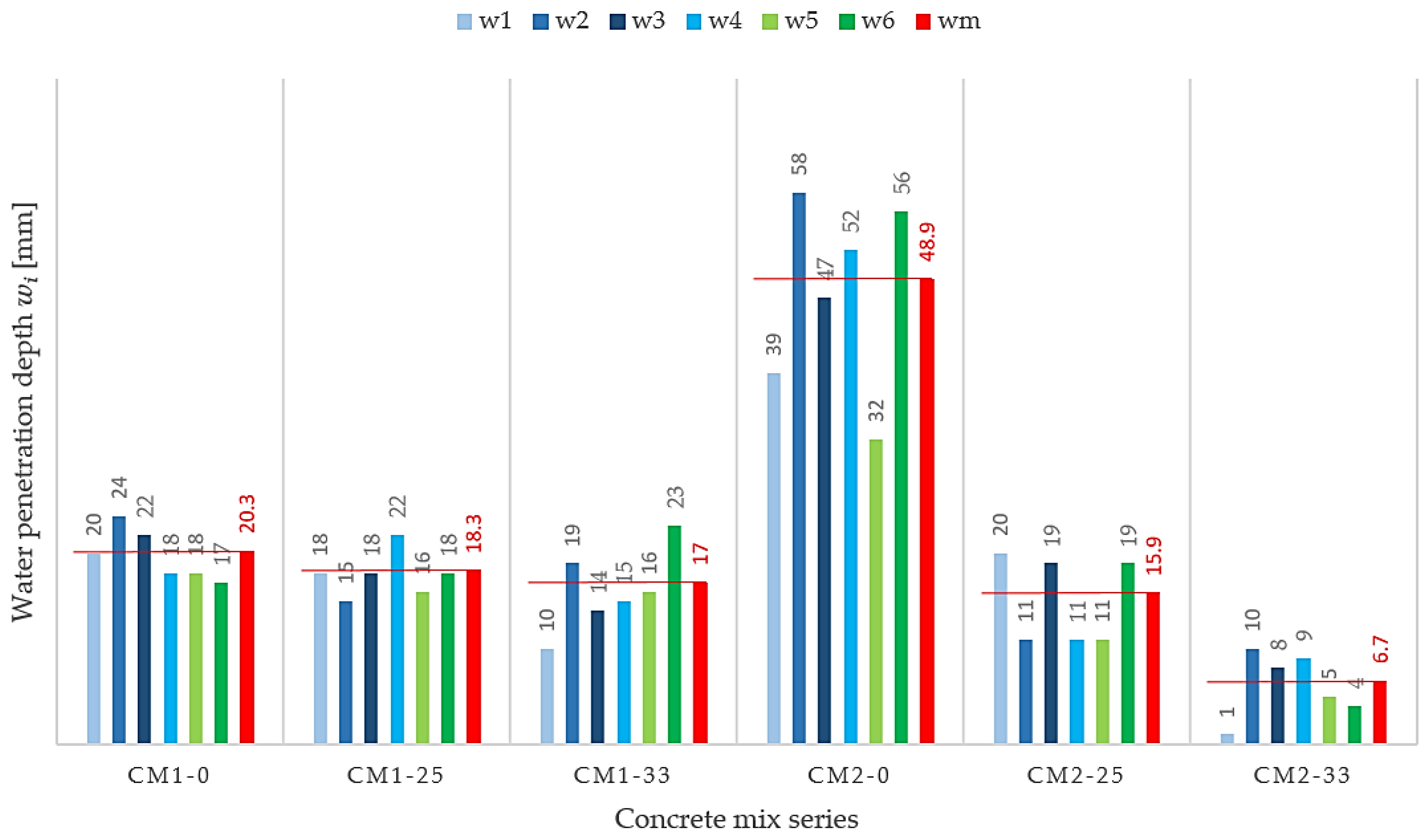
4.3. Water Permeability of Concrete
4.4. Compressive Strength of Concrete
4.5. Tensile Strength of Concrete at Splitting after Long Maturation Times
5. Discussion
6. Conclusions
- The addition of fly ash increases the tightness and resistance to the penetration of chloride ions of concrete made of slag cement.
- Fly ash reduces the depth of penetration of water under pressure into concrete based on CEM IIIA 32.5 slag cement, to a greater extent than that based on CEM IIIA 42.5 cement. The addition of FA reduced the depth of water penetration under pressure by 19% for CM1-33 concrete, and by as much as 87% for CM2-33 concrete, compared with reference concretes that did not contain fly ash.
- The relationship between the resistance of concrete to water penetration under pressure and resistance to chloride ion penetration is demonstrated. A comparison of the test results obtained for concretes CM1-0, CM1-25, and CM1-33 indicates that the effect of FA addition on reducing the mean value of the water penetration depth under pressure into concrete wm is proportional to the decrease in the average depth of the penetration of chloride ions into concrete xm,tot. The proportionality coefficient for this reduction is in the range = (2.6,2.7).
- FA addition to concrete based on slag cement reduces compressive strength during the initial and long-term maturation times. In the case of concrete based on CEM IIIA 42.5 cement, the reduction in compressive strength after the application of FA additive in amounts of 25% and 33% by the weight of cement is similar and does not exceed 5%. This applies to both the standard maturation period, i.e., after 28 days, as well as the extended maturation period, i.e., after 190 days. Concrete based on CEM IIIA 32.5 slag cement after using FA additive is characterized by a significant reduction in compressive strength, which after 28 days of maturation, is 23% (series CM2-25). After the long maturation period of over 120 days, the reduction in compressive strength of concretes containing FA additive does not exceed 10%.
- The use of FA additive for concretes based on slag cement in amounts of up to 33% by weight of cement is beneficial. The conducted research shows that the FA addition of 33% compared with the addition of 25% by the weight of cement in concrete based on CEM IIIA 42.5 cement does not significantly affect compressive strength and, in the case of concrete based on CEM IIIA 32.5 cement, even causes an increase in this strength. These observations refer to both standard and long maturation periods. The increased addition of fly ash significantly increases the tightness of concrete and its resistance to the penetration of chloride ions.
- Consideration should be given to allowing the use of the k factor at XD1-3 concrete exposure for CEM IIIA cement classes as well.
Author Contributions
Funding
Conflicts of Interest
References
- Małek, M.; Jackowski, M.; Łasica, W.; Kadela, M. Characteristics of recycled polypropylene fibers as an addition to concrete fabrication based on portland cement. Materials 2020, 13, 1827. [Google Scholar] [CrossRef] [PubMed]
- Smarzewski, P. Mechanical properties of ultra-high performance concrete with partial utilization of waste foundry sand. Buildings 2020, 10, 11. [Google Scholar] [CrossRef]
- Golewski, G.L. Green concrete composite incorporating fly ash with high strength and fracture toughness. J. Clean. Prod. 2018, 172, 218–226. [Google Scholar] [CrossRef]
- Golewski, G.L. Improvement of fracture toughness of green concrete as a result of addition of coal fly ash. Characterization of fly ash microstructure. Mater. Charact. 2017, 134, 335–346. [Google Scholar] [CrossRef]
- Kubissa, W.; Jaskulski, R.; Reiterman, P. Ecological concrete based on blast-furnace cement with incorporated coarse recycled concrete aggregate and fly ash addition. J. Renew. Mater. 2017, 5, 53–61. [Google Scholar] [CrossRef]
- Golewski, G.L. The influence of microcrack width on the mechanical parameters in concrete with the addition of fly ash: Consideration of technological and ecological benefits. Constr. Build. Mater. 2019, 197, 849–861. [Google Scholar] [CrossRef]
- Luping, T.; Utgenannt, P. Chloride ingress and corrosion from the Swedish field exposures under the marine environment. In Nordic Exposure Sites—Input to Revision of EN206-1; Bager, D.H., Ed.; The Nordic Concrete Federation: Hirtshals, Denmark, 2008; pp. 95–118. [Google Scholar]
- Chindaprasirt, P.; Rukzon, S.; Sirivivatnanon, V. Resistance to chloride penetration of blended Portland cement mortar containing palm oil fuel ash, rice husk ash and fly ash. Constr. Build. Mater. 2008. [Google Scholar] [CrossRef]
- Chindaprasirt, P.; Rukzon, S. Strength, porosity and corrosion resistance of ternary blend Portland cement, rice husk ash and fly ash mortar. Constr. Build. Mater. 2008, 22, 1601–1606. [Google Scholar] [CrossRef]
- Bijen, J. Benefits of slag and fly ash. Constr. Build. Mater. 1996, 10, 309–314. [Google Scholar] [CrossRef]
- Nadeem, A.; Memon, S.A.; Lo, T.Y. The performance of Fly ash and Metakaolin concrete at elevated temperatures. Constr. Build. Mater. 2014, 62, 67–76. [Google Scholar] [CrossRef]
- Harilal, M.; Rathish, V.R.; Anandkumar, B.; George, R.P.; Mohammed, M.S.H.S.; Philip, J.; Amarendra, G. High performance green concrete (HPGC) with improved strength and chloride ion penetration resistance by synergistic action of fly ash, nanoparticles and corrosion inhibitor. Constr. Build. Mater. 2019, 198, 299–312. [Google Scholar] [CrossRef]
- Joshaghani, A. The effect of trass and fly ash in minimizing alkali-carbonate reaction in concrete. Constr. Build. Mater. 2017, 150, 583–590. [Google Scholar] [CrossRef]
- Jasiczak, J.; Szymański, P.; Nowotarski, P. Impact Of Moisture Conditions On Early Shrinkage Of Ordinary Concrete With Changing W/C Ratio. Arch. Civ. Eng. 2014, 60, 241–256. [Google Scholar] [CrossRef]
- Hu, X.; Shi, C.; Shi, Z.; Tong, B.; Wang, D. Early age shrinkage and heat of hydration of cement-fly ash-slag ternary blends. Constr. Build. Mater. 2017, 153, 857–865. [Google Scholar] [CrossRef]
- Rutkowska, G.; Małuszyńska, I. Research of properties of concrete with the use of fly ash. Inżynieria Ekol. 2014, 53–64. [Google Scholar] [CrossRef]
- Golewski, G.L. Estimation of the optimum content of fly ash in concrete composite based on the analysis of fracture toughness tests using various measuring systems. Constr. Build. Mater. 2019, 213, 142–155. [Google Scholar] [CrossRef]
- Sadowski, T.; Golewski, G.L. A failure analysis of concrete composites incorporating fly ash during torsional loading. Compos. Struct. 2018, 183, 527–535. [Google Scholar] [CrossRef]
- Golewski, G.L.; Sadowski, T. The fracture toughness the KIIIc of concretes with F fly ash (FA) additive. Constr. Build. Mater. 2017, 143, 444–454. [Google Scholar] [CrossRef]
- Golewski, G.L. Effect of curing time on the fracture toughness of fly ash concrete composites. Compos. Struct. 2018, 185, 105–112. [Google Scholar] [CrossRef]
- Cai, X.; He, Z.; Tang, S.; Chen, X. Abrasion erosion characteristics of concrete made with moderate heat Portland cement, fly ash and silica fume using sandblasting test. Constr. Build. Mater. 2016, 127, 804–814. [Google Scholar] [CrossRef]
- Rutkowska, G.; Wichowski, P.; Franus, M.; Mendryk, M.; Fronczyk, J. Modification of ordinary concrete using fly ash from combustion of municipal sewage sludge. Materials 2020, 13, 487. [Google Scholar] [CrossRef]
- EN 206+A1:2016-12, Concrete—Specification, Performance, Production and Conformity; European Committee for Standardization: Brussels, Belgium, 2016.
- Baran, T.; Glinicki, M.A.; Jóźwiak-Niedźwiedzka, D. The properties of special cements for shielding constructions in nuclear power plants. Cem. Wapno Bet. 2016, 21/83, 207–216. [Google Scholar]
- Polder, R.B.; Nijland, T.G.; de Rooij, M.R. Experience with the durability of blast furnace slag cement concrete with high slag content (CEM III/B) in the Netherlands since the 1920′s. In Slag Cement Concrete—the Dutch Experience; Technical Sciences: Delft, The Netherlands, 2014; p. 72. [Google Scholar]
- Van Noort, R.; Hunger, M.; Spiesz, P. Long-term chloride migration coefficient in slag cement-based concrete and resistivity as an alternative test method. Constr. Build. Mater. 2016, 115, 746–759. [Google Scholar] [CrossRef]
- Andrew, R.M. Global CO2 emissions from cement production. Earth Syst. Sci. Data Discuss. 2017, 1–52. [Google Scholar] [CrossRef]
- DIN 1045-2:2014-08 Tragwerke aus Beton, Stahlbeton und Spannbeton—Teil 2: Beton—Festlegung, Eigenschaften, Herstellung und Konformität—Anwendungsregeln zu DIN EN 206-1; European Committee for Standardization: Brussels, Belgium, 2014.
- EN 450-1: 2012 Fly Ash for Concrete—Part 1: Definition, Specifications and Conformity Criteria; European Committee for Standardization: Brussels, Belgium, 2012.
- Ostrowski, M. Morphology’s characteristic of fly ashes from combustion of lignite coal. Sci. Work. Inst. Ceram. Build. Mater. 2011, 8, 136–150. (In Polish). Available online: http://icimb.pl/opole/images/stories/PDF/prace_icimb_nr_8_art_13.pdf (accessed on 22 July 2020). (In Polish).
- EN 12350-2:2009, Testing Fresh Concrete—Part 2: Slump-Test; European Committee for Standardization: Brussels, Belgium, 2009.
- NT Build. 492: 1999 Concrete, Mortar and Cement-Based Repair Materials: Chloride Migration Coefficient from Non-Steady-State Migration Experiments; European Committee for Standardization: Brussels, Belgium, 1999; pp. 1–8.
- EN 12390-2:2009, Testing Hardened Concrete—Part 2: Making and Curing Specimens for Strength Tests; European Committee for Standardization: Brussels, Belgium, 2009.
- EN 12390-3:2009, Testing Hardened Concrete—Part 3: Compressive Strength of Test. Specimens.; European Committee for Standardization: Brussels, Belgium, 2009.
- EN 12390-6:2000 Testing Hardened Concrete—Part 6: Tensile Splitting Strength of Test. Specimens; European Committee for Standardization: Brussels, Belgium, 2000.






| Country | Type of Cement | k1 Factor Value |
|---|---|---|
| Belgium | CEM IIIA | 0.2 (FA/cement ≤ 0.25) |
| Czech Republic | CEM IIIA | 0.2 |
| Germany | CEM IIIA, CEM IIIB (slag content below 70%) | 0.4 0.7 (for underwater concrete and drilled piles) |
| Italy | CEM IIIA | 0.2 |
| Netherlands | CEM IIIA, CEM IIIB | 0.2 |
| Slovakia | CEM IIIA | 0.2 |
| Finland | CEM I, CEM II/A-S, CEM II/A-D, CEM II/A-V, CEMII/A-LL, CEM II/A-M, CEM II/B-S, CEM II/B-V,CEMII/B-M, CEM III/A, CEM III/B | 0.4 |
| Component | Content | |
|---|---|---|
| CEM IIIA 42.5N LH HSR NA | CEM IIIA 32.5N LH HSR NA | |
| Specific surface—Blaine (cm2/g) | 4196 | 4193 |
| Start of setting time (min) | 221 | 272 |
| Heat of hydration (J/g) | 227 | 171 |
| Compressive strength after 2 days (MPa) | 14.1 | - |
| Compressive strength after 7 days (MPa) | - | 20.9 |
| Compressive strength after 28 days (MPa) | 53.7 | 50.0 |
| Sulfate SO3 (%) | 2.19 | 1.48 |
| Chloride Cl− (%) | 0.06 | 0.037 |
| Alkali as Na2Oeq (%) | 0.73 | 0.66 |
| Loss on ignition (%) | 1.11 | 0.81 |
| Concrete Mix Series | Weight of Concrete Ingredients (kg/m3) | |||||||
|---|---|---|---|---|---|---|---|---|
| CEM IIIA 42.5 | CEM IIIA 32.5 | Fly Ash | Sand | Gravel | Water | Admixture 1 1 | Admixture 2 2 | |
| CM1-0 | 320 | 0 | 0 | 740 | 1150 | 144 | 3.20 | 0.64 |
| CM1-25 | 291 | 0 | 73 | 675 | 1150 | 144 | 3.28 | 1.09 |
| CM1-33 | 283 | 0 | 93 | 655 | 1150 | 144 | 3.20 | 1.32 |
| CM2-0 | 0 | 320 | 0 | 740 | 1150 | 144 | 3.20 | 0.64 |
| CM2-25 | 0 | 291 | 73 | 675 | 1150 | 144 | 3.28 | 1.09 |
| CM2-33 | 0 | 283 | 93 | 655 | 1150 | 144 | 3.20 | 1.32 |
| Concrete Mix Series | Cone Fall (mm) | Class of Consistency |
|---|---|---|
| CM1-0 | 150 | S3 |
| CM1-25 | 150 | S3 |
| CM1-33 | 140 | S3 |
| CM2-0 | 150 | S3 |
| CM2-25 | 170 | S4 |
| CM2-33 | 200 | S4 |
| Samples Mark | Initial Current (mA) | Corrected Voltage (V) | Corrected Current (mA) | Final Current (mA) | Anolyte Initial Temperature (°C) | Anolyte end Temperature (°C) |
|---|---|---|---|---|---|---|
| CM1-0.1 | 8.1 | 60 | 16.6 | 26.2 | 23.7 | 19.9 |
| CM1-0.2 | 9.0 | 18.7 | 35.4 | 24.5 | 20.1 | |
| CM1-0.3 | 7.9 | 16.4 | 23.2 | 23.4 | 20.1 | |
| CM1-25.1 | 8.9 | 60 | 18.2 | 40.0 | 22.9 | 25.4 |
| CM1-25.2 | 7.5 | 15.2 | 20.1 | 24.6 | ||
| CM1-25.3 | 7.6 | 15.4 | 20.1 | 24.3 | ||
| CM1-33.1 | 6.1 | 60 | 12.5 | 16.6 | 23.0 | 24.8 |
| CM1-33.2 | 6.7 | 13.7 | 22.7 | 25.0 |
| Samples Mark | Standard Deviation | Category of Chloride Ion Penetration Resistance | ||||
|---|---|---|---|---|---|---|
| CM1-0.1 | 30.9 | 30.1 | 3.6 | 3.5 | 0.2 | Good |
| CM1-0.2 | 31.0 | 3.6 | ||||
| CM1-0.3 | 28.3 | 3.3 | ||||
| CM1-25.1 | 22.7 | 22.1 | 2.7 | 2.6 | 0.1 | Good |
| CM1-25.2 | 21.4 | 2.5 | ||||
| CM1-25.3 | 22.3 | 2.6 | ||||
| CM1-33.1 | 16.6 | 17.1 | 1.9 | 2.0 | 0.1 | Very good |
| CM1-33.2 | 17.6 | 2.0 |
| Concrete Mix Series | Water Penetration Depth wi (mm) | |||
|---|---|---|---|---|
| wi,min | wi,max | wm | Standard Deviation | |
| CM1-0 | 17 | 24 | 20.3 | 2.8 |
| CM1-25 | 15 | 22 | 18.3 | 2.7 |
| CM1-33 | 10 | 23 | 17.0 | 4.9 |
| CM2-0 | 32 | 58 | 48.9 | 10.1 |
| CM2-25 | 11 | 20 | 15.9 | 4.6 |
| CM2-33 | 1 | 10 | 6.7 | 3.5 |
| Concrete Mix Series | Splitting Force Mean Value Fm | Splitting Force Standard Deviation | fct,spl (MPa) |
|---|---|---|---|
| CM1-0 | 97.3 | 11.2 | 2.75 |
| CM1-25 | 97.2 | 14.3 | 2.75 |
| CM1-33 | 90.96 | 13.2 | 2.57 |
| CM2-0 | 52.3 | 8.8 | 1.48 |
| CM2-25 | 79.4 | 17.3 | 2.14 |
| CM2-33 | 68.5 | 11.7 | 1.94 |
© 2020 by the authors. Licensee MDPI, Basel, Switzerland. This article is an open access article distributed under the terms and conditions of the Creative Commons Attribution (CC BY) license (http://creativecommons.org/licenses/by/4.0/).
Share and Cite
Szcześniak, A.; Zychowicz, J.; Stolarski, A. Influence of Fly Ash Additive on the Properties of Concrete with Slag Cement. Materials 2020, 13, 3265. https://doi.org/10.3390/ma13153265
Szcześniak A, Zychowicz J, Stolarski A. Influence of Fly Ash Additive on the Properties of Concrete with Slag Cement. Materials. 2020; 13(15):3265. https://doi.org/10.3390/ma13153265
Chicago/Turabian StyleSzcześniak, Anna, Jacek Zychowicz, and Adam Stolarski. 2020. "Influence of Fly Ash Additive on the Properties of Concrete with Slag Cement" Materials 13, no. 15: 3265. https://doi.org/10.3390/ma13153265
APA StyleSzcześniak, A., Zychowicz, J., & Stolarski, A. (2020). Influence of Fly Ash Additive on the Properties of Concrete with Slag Cement. Materials, 13(15), 3265. https://doi.org/10.3390/ma13153265

