Residual Strength Evaluation of Corroded Textile-Reinforced Concrete by the Deep Learning-Based Method
Abstract
1. Introduction
2. Methodology
2.1. The CNNs
2.2. The Region Proposal Network
2.3. Fast R-CNN
2.4. Architecture of the CNNs Based on VGG16-Net
2.5. Faster R-CNN Composed of the RPN and Fast R-CNN
3. Dataset Preparation and Implementation Details
3.1. Dataset Preparation
3.2. Implementation Details
4. Experiments
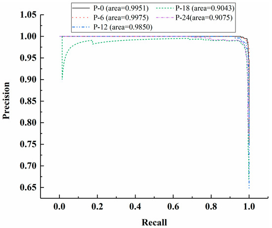
4.1. Training, Validating, and Testing Results
4.2. Parameter Optimization
4.3. Testing New Images
5. Discussion
- Prepare sufficient samples under differing corrosion degrees and guarantee that the samples could contain the scope of residual strengths required to be evaluated and thus enhance the evaluation precision.
- Acquire high-quality images of prepared samples and label acquired images.
- Select a proper deep learning-based framework and train it using these images acquired in step 2; check the soundness of the trained model with new images not adopted for training.
- Acquire the images of components that need to be evaluated and utilize the trained model to estimate the residual strength.
6. Conclusions
Author Contributions
Funding
Acknowledgments
Conflicts of Interest
References
- Liu, S.; Zhu, D.; Yao, Y.; Shi, C. Effects of strain rate and temperature on the flexural behavior of basalt and glass textile reinforced concrete. J. Mater. Civ. Eng. 2018, 30, 04018172. [Google Scholar] [CrossRef]
- Du, Y.; Zhang, X.; Zhou, F.; Zhu, D.; Zhang, M.; Pan, W. Flexural behavior of basalt textile-reinforced concrete. Constr. Build. Mater. 2018, 183, 7–21. [Google Scholar] [CrossRef]
- Colombo, I.G.; Colombo, M.; di Prisco, M. Bending behaviour of textile reinforced concrete sandwich beams. Constr. Build. Mater. 2015, 95, 675–685. [Google Scholar] [CrossRef]
- Shams, A.; Horstmann, M.; Hegger, J. Experimental investigations on textile-reinforced concrete sandwich sections. Compos. Struct. 2014, 118, 643–653. [Google Scholar] [CrossRef]
- Colombo, I.G.; Colombo, M.; di Prisco, M. Tensile behavior of textile reinforced concrete subjected to freezing-thawing cycles in un-cracked and cracked regimes. Cem. Concr. Res. 2015, 73, 169–183. [Google Scholar] [CrossRef]
- Du, Y.; Zhang, M.; Zhou, F.; Zhu, D. Experimental study on basalt textile reinforced concrete under uniaxial tensile loading. Constr. Build. Mater. 2017, 138, 88–100. [Google Scholar] [CrossRef]
- Kong, K.; Mesticou, Z.; Michel, M.; Si Larbi, A.; Junes, A. Comparative characterization of the durability behaviour of textile-reinforced concrete (TRC) under tension and bending. Compos. Struct. 2017, 179, 107–123. [Google Scholar] [CrossRef]
- Holler, S.; Butenweg, C.; Noh, S.Y.; Meskouris, K. Computational model of textile-reinforced concrete structures. Comput. Struct. 2004, 82, 1971–1979. [Google Scholar] [CrossRef]
- Shams, A.; Hegger, J.; Horstmann, M. An analytical model for sandwich panels made of textile-reinforced concrete. Constr. Build. Mater. 2014, 64, 451–459. [Google Scholar] [CrossRef]
- Colombo, I.G.; Colombo, M.; di Prisco, M.; Pouyaei, F. Analytical and numerical prediction of the bending behaviour of textile reinforced concrete sandwich beams. J. Build. Eng. 2018, 17, 183–195. [Google Scholar] [CrossRef]
- Orlowsky, J.; Raupach, M. Durability model for AR-glass fibres in textile reinforced concrete. Mater. Struct. 2008, 41, 1225–1233. [Google Scholar] [CrossRef]
- Pérez-Hernández, F.; Tabik, S.; Lamas, A.; Olmos, R.; Fujita, H.; Herrera, F. Object Detection Binary Classifiers methodology based on deep learning to identify small objects handled similarly: Application in video surveillance. Knowl.-Based Syst. 2020, 194, 105590. [Google Scholar] [CrossRef]
- Zhao, L.; Zhou, Y.; Lu, H.; Fujita, H. Parallel computing method of deep belief networks and its application to traffic flow prediction. Knowl.-Based Syst. 2019, 163, 972–987. [Google Scholar] [CrossRef]
- Shang, R.; He, J.; Wang, J.; Xu, K.; Jiao, L.; Stolkin, R. Dense connection and depthwise separable convolution based CNN for polarimetric SAR image classification. Knowl.-Based Syst. 2020, 194, 105542. [Google Scholar] [CrossRef]
- Huang, H.-W.; Li, Q.-T.; Zhang, D.-M. Deep learning based image recognition for crack and leakage defects of metro shield tunnel. Tunn. Undergr. Space Technol. 2018, 77, 166–176. [Google Scholar] [CrossRef]
- Zheng, T.; Jie, G.; Han, Z.; Wang, Z. Recognition of asphalt pavement crack length using deep convolutional neural networks. Road Mater. Pavement Des. 2018, 19, 1334–1349. [Google Scholar]
- Xu, Y.; Wei, S.; Bao, Y.; Li, H. Automatic seismic damage identification of reinforced concrete columns from images by a region-based deep convolutional neural network. Struct. Control Health Monit. 2019, 26, e2313. [Google Scholar] [CrossRef]
- Cha, Y.-J.; Choi, W.; Suh, G.; Mahmoudkhani, S.; Büyüköztürk, O. Autonomous structural visual inspection using region-based deep learning for detecting multiple damage types. Comput.-Aided Civ. Infrastruct. Eng. 2018, 33, 731–747. [Google Scholar] [CrossRef]
- Fathalla, E.; Tanaka, Y.; Maekawa, K. Remaining fatigue life assessment of in-service road bridge decks based upon artificial neural networks. Eng. Struct. 2018, 171, 602–616. [Google Scholar] [CrossRef]
- Abdeljaber, O.; Avci, O.; Kiranyaz, M.S.; Boashash, B.; Sodano, H.; Inman, D.J. 1-D CNNs for structural damage detection: Verification on a structural health monitoring benchmark data. Neurocomputing 2018, 275, 1308–1317. [Google Scholar] [CrossRef]
- Lee, S.; Ha, J.; Zokhirova, M.; Moon, H.; Lee, J. Background information of deep learning for structural engineering. Arch. Comput. Methods Eng. 2018, 25, 121–129. [Google Scholar] [CrossRef]
- Dick, K.; Russell, L.; Dosso, Y.S.; Kwamena, F.; Green, J.R. Deep learning for critical infrastructure resilience. J. Infrastruct. Syst. 2019, 25, 05019003. [Google Scholar] [CrossRef]
- Salehi, H.; Burgueño, R. Emerging artificial intelligence methods in structural engineering. Eng. Struct. 2018, 171, 170–189. [Google Scholar] [CrossRef]
- Ge, M.; Su, F.; Zhao, Z.; Su, D. Deep Learning Analysis on Microscopic Imaging in Materials Science. Mater. Today Nano 2020, 11, 100087. [Google Scholar] [CrossRef]
- Li, X.; Liu, Z.; Cui, S.; Luo, C.; Li, C.; Zhuang, Z. Predicting the effective mechanical property of heterogeneous materials by image based modeling and deep learning. Comput. Methods Appl. Mech. Eng. 2019, 347, 735–753. [Google Scholar] [CrossRef]
- Bastidas-Rodriguez, M.X.; Polania, L.; Gruson, A.; Prieto-Ortiz, F. Deep Learning for fractographic classification in metallic materials. Eng. Fail. Anal. 2020, 113, 104532. [Google Scholar] [CrossRef]
- Ren, S.; He, K.; Girshick, R.; Sun, J. Faster R-CNN: Towards real-time object detection with region proposal networks. IEEE Trans. Pattern Anal. Mach. Intell. 2016, 39, 1137–1149. [Google Scholar] [CrossRef]
- Girshick, R.; Donahue, J.; Darrell, T.; Malik, J. Rich feature hierarchies for accurate object detection and semantic segmentation. In Proceedings of the IEEE Conference on Computer Vision & Pattern Recognition, Columbus, OH, USA, 23–28 June 2014; pp. 580–587. [Google Scholar]
- Orlowsky, J.; Raupach, M. Modelling the loss in strength of AR-glass fibres in textile-reinforced concrete. Mater. Struct. 2006, 39, 635–643. [Google Scholar] [CrossRef]
- Girshick, R. Fast R-CNN. In Proceedings of the IEEE International Conference on Computer Vision, Santiago, Chile, 7–13 December 2015; pp. 1440–1448. [Google Scholar]















| Layer | Type | Filter Size | Stride | Depth | Layer | Type | Filter Size | Stride | Depth | 
|---|---|---|---|---|---|---|---|---|---|
| 1 | CONV + ReLU | 3 × 3 | 1 | 64 | 11 | CONV + ReLU | 3 × 3 | 1 | 512 | 
| 2 | CONV + ReLU | 3 × 3 | 1 | 64 | 12 | CONV + ReLU | 3 × 3 | 1 | 512 | 
| 3 | Max pooling | 2 × 2 | 2 | 64 | 13 | CONV + ReLU | 3 × 3 | 1 | 512 | 
| 4 | CONV + ReLU | 3 × 3 | 1 | 128 | 14 | Max pooling | 2 × 2 | 2 | 512 | 
| 5 | CONV + ReLU | 3 × 3 | 1 | 128 | 15 | CONV + ReLU | 3 × 3 | 1 | 512 | 
| 6 | Max pooling | 2 × 2 | 2 | 128 | 16 | CONV + ReLU | 3 × 3 | 1 | 512 | 
| 7 | CONV + ReLU | 3 × 3 | 1 | 256 | 17 | CONV + ReLU | 3 × 3 | 1 | 512 | 
| 8 | CONV + ReLU | 3 × 3 | 1 | 256 | 18 | Sliding CONV + ReLU | - | - | 512 | 
| 9 | CONV + ReLU | 3 × 3 | 1 | 256 | 19 | FC | - | - | 512 | 
| 10 | Max pooling | 2 × 2 | 2 | 256 | 20 | Softmax and Regressor | - | - | - | 
| Layer | Type | Filter Size | Stride | Depth | Layer | Type | Filter Size | Stride | Depth | 
|---|---|---|---|---|---|---|---|---|---|
| 1 | CONV + ReLU | 3 × 3 | 1 | 64 | 13 | CONV + ReLU | 3 × 3 | 1 | 512 | 
| 2 | CONV + ReLU | 3 × 3 | 1 | 64 | 14 | Max pooling | 2 × 2 | 2 | 512 | 
| 3 | Max pooling | 2 × 2 | 2 | 64 | 15 | CONV + ReLU | 3 × 3 | 1 | 512 | 
| 4 | CONV + ReLU | 3 × 3 | 1 | 128 | 16 | CONV + ReLU | 3 × 3 | 1 | 512 | 
| 5 | CONV + ReLU | 3 × 3 | 1 | 128 | 17 | CONV + ReLU | 3 × 3 | 1 | 512 | 
| 6 | Max pooling | 2 × 2 | 2 | 128 | 18 | RoI pooling | - | - | 512 | 
| 7 | CONV + ReLU | 3 × 3 | 1 | 256 | 19 | FC + ReLU | - | - | 4096 | 
| 8 | CONV + ReLU | 3 × 3 | 1 | 256 | 20 | Dropout | - | - | - | 
| 9 | CONV + ReLU | 3 × 3 | 1 | 256 | 21 | FC + ReLU | - | - | 4096 | 
| 10 | Max pooling | 2 × 2 | 2 | 256 | 22 | Dropout | - | - | - | 
| 11 | CONV + ReLU | 3 × 3 | 1 | 512 | 23 | FC + ReLU | - | - | 7 | 
| 12 | CONV + ReLU | 3 × 3 | 1 | 512 | 24 | Softmax and Regressor | - | - | - | 
| Cases | Anchor Scales Aspect Ratio | Mini-Batch Sizes | Learning Rate | AP (%) | mAP (%) | ||||
|---|---|---|---|---|---|---|---|---|---|
| P-0 | P-6 | P-12 | P-18 | P-24 | |||||
| 1 | {642,1282,2562} {1:1,1:2,2:1} | 16 | 0.0001 | 99.70 | 99.93 | 98.76 | 90.61 | 97.59 | 97.32 | 
| 2 | 0.0005 | 98.02 | 98.53 | 90.89 | 90.48 | 90.37 | 93.66 | ||
| 3 | 0.001 | 90.70 | 90.86 | 90.89 | 90.84 | 90.12 | 90.68 | ||
| 4 | 32 | 0.0001 | 99.81 | 99.43 | 98.48 | 90.64 | 98.09 | 97.29 | |
| 5 | 0.0005 | 90.83 | 99.57 | 90.91 | 90.75 | 90.10 | 92.43 | ||
| 6 | 0.001 | 90.81 | 98.67 | 90.86 | 90.65 | 89.46 | 92.09 | ||
| 7 | 64 | 0.0001 | 98.95 | 97.23 | 97.20 | 96.63 | 96.78 | 97.36 | |
| 8 | 0.0005 | 98.98 | 99.21 | 98.32 | 90.68 | 90.29 | 95.50 | ||
| 9 | 0.001 | 98.63 | 99.27 | 90.89 | 90.21 | 90.58 | 93.92 | ||
| 10 | 128 | 0.0001 | 97.54 | 94.66 | 95.07 | 92.80 | 88.48 | 93.71 | |
| 11 | 0.0005 | 98.68 | 98.55 | 97.47 | 96.10 | 96.88 | 97.54 | ||
| 12 | 0.001 | 99.20 | 96.97 | 98.99 | 90.23 | 90.68 | 95.21 | ||
| 13 | 256 | 0.0001 | 96.62 | 95.58 | 94.12 | 92.66 | 92.75 | 94.35 | |
| 14 | 0.0005 | 96.97 | 94.46 | 95.09 | 89.43 | 94.36 | 94.06 | ||
| 15 | 0.001 | 98.63 | 99.27 | 90.89 | 90.21 | 90.58 | 93.92 | ||
| 16 | {1282,2562,5122} {1:1,1:2,2:1} | 16 | 0.0001 | 99.48 | 99.93 | 98.31 | 90.80 | 98.50 | 97.40 | 
| 17 | 0.0005 | 98.79 | 99.60 | 99.00 | 90.91 | 90.49 | 95.76 | ||
| 18 | 0.001 | 90.91 | 98.93 | 90.91 | 90.69 | 90.65 | 92.36 | ||
| 19 | 32 | 0.0001 | 99.26 | 99.77 | 99.16 | 90.85 | 98.04 | 97.42 | |
| 20 | 0.0005 | 99.60 | 99.80 | 98.72 | 90.88 | 90.46 | 95.89 | ||
| 21 | 0.001 | 90.88 | 98.73 | 90.91 | 90.73 | 90.51 | 92.35 | ||
| 22 | 64 | 0.0001 | 99.63 | 99.75 | 98.58 | 90.69 | 98.38 | 97.41 | |
| 23 | 0.0005 | 99.20 | 99.66 | 99.05 | 97.92 | 99.08 | 98.98 | ||
| 24 | 0.001 | 98.89 | 99.08 | 97.53 | 90.71 | 90.20 | 95.28 | ||
| 25 | 128 | 0.0001 | 99.30 | 97.96 | 96.66 | 96.36 | 96.53 | 97.36 | |
| 26 | 0.0005 | 99.77 | 99.93 | 98.72 | 97.86 | 97.53 | 98.76 | ||
| 27 | 0.001 | 99.51 | 99.75 | 98.50 | 90.43 | 90.75 | 95.79 | ||
| 28 | 256 | 0.0001 | 97.36 | 90.53 | 96.02 | 93.68 | 93.86 | 94.29 | |
| 29 | 0.0005 | 99.48 | 98.44 | 98.95 | 97.57 | 97.41 | 98.37 | ||
| 30 | 0.001 | 99.70 | 98.70 | 99.10 | 90.70 | 96.90 | 97.00 | ||
| 31 | {2562,5122,10242} {1:1,1:2,2:1} | 16 | 0.0001 | 99.90 | 99.68 | 98.95 | 97.01 | 97.22 | 98.55 | 
| 32 | 0.0005 | 98.67 | 98.61 | 99.12 | 90.67 | 90.41 | 95.49 | ||
| 33 | 0.001 | 90.81 | 90.86 | 90.72 | 90.69 | 90.55 | 90.73 | ||
| 34 | 32 | 0.0001 | 99.93 | 99.82 | 99.45 | 97.79 | 97.66 | 98.93 | |
| 35 | 0.0005 | 99.30 | 99.21 | 98.58 | 90.88 | 90.59 | 95.71 | ||
| 36 | 0.001 | 98.75 | 99.30 | 90.77 | 90.88 | 89.95 | 93.93 | ||
| 37 | 64 | 0.0001 | 99.47 | 99.47 | 99.45 | 97.28 | 98.88 | 98.91 | |
| 38 | 0.0005 | 99.90 | 99.80 | 98.43 | 90.66 | 98.80 | 97.52 | ||
| 39 | 0.001 | 90.89 | 99.40 | 98.64 | 90.77 | 98.46 | 95.63 | ||
| 40 | 128 | 0.0001 | 99.34 | 90.88 | 96.32 | 96.04 | 96.80 | 95.87 | |
| 41 | 0.0005 | 99.71 | 99.44 | 99.42 | 90.77 | 97.95 | 97.46 | ||
| 42 | 0.001 | 99.67 | 99.78 | 99.22 | 90.76 | 98.16 | 97.52 | ||
| 43 | 256 | 0.0001 | 97.54 | 90.59 | 96.24 | 89.74 | 93.88 | 93.6 | |
| 44 | 0.0005 | 99.71 | 99.88 | 99.18 | 90.81 | 98.59 | 97.63 | ||
| 45 | 0.001 | 90.91 | 99.47 | 99.16 | 90.32 | 90.48 | 94.07 | ||
| Item | Number of New Images to Be Evaluated | Number of Incorrect Evaluations | AP (%) | mAP (%) | 
|---|---|---|---|---|
| P-0 | 200 | 1 | 99.5 | 99.8 | 
| P-6 | 200 | 1 | 99.5 | |
| P-12 | 200 | 0 | 0 | |
| P-18 | 200 | 0 | 0 | |
| P-24 | 200 | 0 | 0 | 
© 2020 by the authors. Licensee MDPI, Basel, Switzerland. This article is an open access article distributed under the terms and conditions of the Creative Commons Attribution (CC BY) license (http://creativecommons.org/licenses/by/4.0/).
Share and Cite
Wang, W.; Shi, P.; Deng, L.; Chu, H.; Kong, X. Residual Strength Evaluation of Corroded Textile-Reinforced Concrete by the Deep Learning-Based Method. Materials 2020, 13, 3226. https://doi.org/10.3390/ma13143226
Wang W, Shi P, Deng L, Chu H, Kong X. Residual Strength Evaluation of Corroded Textile-Reinforced Concrete by the Deep Learning-Based Method. Materials. 2020; 13(14):3226. https://doi.org/10.3390/ma13143226
Chicago/Turabian StyleWang, Wei, Peng Shi, Lu Deng, Honghu Chu, and Xuan Kong. 2020. "Residual Strength Evaluation of Corroded Textile-Reinforced Concrete by the Deep Learning-Based Method" Materials 13, no. 14: 3226. https://doi.org/10.3390/ma13143226
APA StyleWang, W., Shi, P., Deng, L., Chu, H., & Kong, X. (2020). Residual Strength Evaluation of Corroded Textile-Reinforced Concrete by the Deep Learning-Based Method. Materials, 13(14), 3226. https://doi.org/10.3390/ma13143226
 
        


 
       