SnO2 Nanoflower–Nanocrystalline Cellulose Composites as Anode Materials for Lithium-Ion Batteries
Abstract
1. Introduction
2. Experiment Details
2.1. Materials
2.2. Preparation of CNC–SnO2NF Composites
2.3. Material Characterization
2.4. Electrochemical Characterization
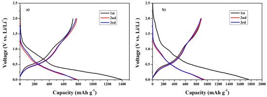
3. Results and Discussion
4. Conclusions
Author Contributions
Funding
Conflicts of Interest
References
- Reddy, M.V.; Subba Rao, G.V.; Chowdari, B.V.R. Metal oxides and oxysalts as anode materials for Li Ion batteries. Chem. Rev. 2013, 113, 5364–5457. [Google Scholar] [CrossRef] [PubMed]
- Ho, M.Y.; Khiew, P.S.; Isa, D.; Tan, T.K.; Chiu, W.S.; Chia, C.H. A review of metal oxide composite electrode materials for electrochemical capacitors. Nano 2014, 9, 1430002. [Google Scholar] [CrossRef]
- Chen, J.S.; Lou, X.W. SnO2-based nanomaterials: Synthesis and application in lithium-Ion bateries. Small 2013, 9, 1877–1893. [Google Scholar] [CrossRef] [PubMed]
- Zhao, Q.; Ma, L.; Zhang, Q.; Wang, C.; Xu, X. SnO2-Based nanomaterials: Synthesis and application in lithium-Ion batteries and supercapacitors. J. Nanomater. 2015, 2015, 1–15. [Google Scholar] [CrossRef]
- Lou, X.W.; Li, C.M.; Archer, L.A. Designed synthesis of coaxial SnO2@carbon hollow nanospheres for highly reversible lithium storage. Adv. Mater. 2009, 21, 2536–2539. [Google Scholar] [CrossRef]
- Wang, C.; Zhou, Y.; Ge, M.; Xu, X.; Zhang, Z.; Jiang, J.Z. Large-Scale synthesis of SnO2 nanosheets with high lithium storage capacity. J. Am. Chem. Soc. 2010, 132, 46–47. [Google Scholar] [CrossRef]
- Zhou, X.; Wan, L.J.; Guo, Y.G. Binding SnO2 nanocrystals in nitrogen-doped graphene sheets as anode materials for lithium-Ion batteries. Adv. Mater. 2013, 25, 2152–2157. [Google Scholar] [CrossRef]
- Zhou, X.; Yin, Y.-X.; Wan, L.-J.; Guo, Y.-G. A robust composite of SnO2 hollow nanospheres enwrapped by graphene as a high-capacity anode material for lithium-ion batteries. J. Mater. Chem. 2012, 22, 17456–17459. [Google Scholar] [CrossRef]
- Guo, J.; Chen, L.; Wang, G.; Zhang, X.; Li, F. In situ synthesis of SnO2–Fe2O3@polyaniline and their conversion to SnO2–Fe2O3@C composite as fully reversible anode material for lithium-ion batteries. J. Power Sources 2014, 246, 862–867. [Google Scholar] [CrossRef]
- Zhao, Y.; Li, J.; Wang, N.; Wu, C.; Dong, G.; Guan, L. Fully reversible conversion between SnO2 and Sn in SWNTs@SnO2@PPy coaxial nanocable as high performance anode material for lithium Ion batteries. J. Phys. Chem. C 2012, 116, 18612–18617. [Google Scholar] [CrossRef]
- Deng, D.; Lee, J.Y. Hollow core–shell mesospheres of crystalline SnO2 nanoparticle aggregates for high capacity Li+ Ion storage. Chem. Mater. 2008, 20, 1841–1846. [Google Scholar] [CrossRef]
- Cui, L.F.; Shen, J.A.; Cheng, F.Y.; Tao, Z.L.; Chen, J. SnO2 nanoparticles@polypyrrole nanowires composite as anode materials for rechargeable lithium-ion batteries. J. Power Sources 2011, 196, 2195–2201. [Google Scholar] [CrossRef]
- Ye, Y.; Kong, T.; Yu, X.; Wu, Y.; Zhang, K.; Wang, X. Enhanced nonenzy-matic hydrogen peroxide sensing with reduced graphene oxide/ferroferric oxide nanocomposites. Talanta 2012, 89, 417–421. [Google Scholar] [CrossRef] [PubMed]
- Liu, Y.; Jiao, Y.; Zhang, Z.; Qu, F.; Umar, A.; Wu, X. Hierarchical SnO2 nanostructures made of intermingled ultrathin nanosheets for enviromental remediation, smart gas sensor, and supercapacitor applications. ACS Appl. Mater. Interfaces 2014, 6, 2174–2184. [Google Scholar] [CrossRef] [PubMed]
- Jin, W.X.; Ma, S.Y.; Tie, Z.Z.; Li, W.Q.; Luo, J.; Cheng, L.; Xu, X.L.; Wang, T.T.; Jiang, X.H.; Mao, Y.Z. Synthesis of hierarchical SnO2 nanoflowers with enhanced acetic acid gas sensing properties. Appl. Surf. Sci. 2015, 353, 71–78. [Google Scholar] [CrossRef]
- Kim, W.-S.; Hwa, Y.; Jeun, J.-H.; Sohn, H.-J.; Hong, S.-H. Synthesis of SnO2 nano hollow spheres and their size effects in lithium ion battery anode application. J. Power Sources 2013, 225, 108–112. [Google Scholar] [CrossRef]
- Meng, X.; Zhou, M.; Li, X. Synthesis of SnO2 nanoflowers and electrochemical properties of Ni/SnO2 nanoflowers in supercapacitor. Electrochim. Acta 2014, 263, 338–360. [Google Scholar] [CrossRef]
- Gao, R.; Zhang, H.; Yuan, S.; Shi, L.; Wu, M.; Jiao, Z. Controllable synthesis of rod-like SnO2 nanoparticles with tunable length anchored onto graphene nanosheets for improved lithium storage capability. RSC Adv. 2016, 6, 4116–4127. [Google Scholar] [CrossRef]
- Liang, J.; Yu, X.Y.; Zhou, H.; Wu, H.B.; Ding, S.; Lou, X.W. Bowl-Like SnO2@carbon hollow particles as an advanced anode material for lithium-Ion batteries. Angew. Chem. Int. Ed. 2014, 53, 12803–12807. [Google Scholar] [CrossRef]
- Chen, Z.; Xu, Z.; Li, W.; Chen, C.; Yang, J.; Liu, J.; Gong, F.; Liao, J.; Wu, M. Cellulose-Hydrogel-Derived Self-Actived carbon/SnO2 nanocomposites for high-peformance lithium storgare. ACS Appl. Energy Mater. 2019, 2, 5171–5182. [Google Scholar] [CrossRef]
- Tran, Q.N.; Kim, I.T.; Hur, J.H.; Kim, J.H.; Choi, H.W.; Park, S.J. Composite of nanocrystalline cellulose with tin dioxide as lightweight substrates for high-performance lithium-ion battery. Korean J. Chem. Eng. 2020, 37, 898–904. [Google Scholar] [CrossRef]
- Du, X.; Zhang, Z.; Liu, W.; Deng, Y. Nanocellulose-Based conductive materials and their emerging applications in energy devices—A review. Nano Energy 2017, 35, 299–320. [Google Scholar] [CrossRef]
- Rakhi, R.B.; Cha, D.K.; Chen, W.; Alshareef, H.N. Electrochemical energy storage devices using electrodes incorporating carbon nanocoils and metal oxides nanoparticles. J. Phys. Chem. C 2011, 115, 14392–14399. [Google Scholar] [CrossRef]
- Liu, K.; Nasrallah, J.; Chen, L.; Huang, L.; Ni, Y. Prepare of CNC-dispersed Fe3O4 nanoparticles and their application in conductive paper. Carbohydr. Polym. 2015, 126, 175–178. [Google Scholar] [CrossRef]
- Wang, Z.; Pan, R.; Sun, R.; Edström, K.; Strømme, M.; Nyholm, L. Nanocellulose Structured paper-based lithium metal batteries. ACS Appl. Energy Mater. 2018, 1, 4341–4350. [Google Scholar] [CrossRef]
- Wang, L.; Schütz, C.; Salazar-Alvarez, G.; Titirici, M.M. Carbon aerogels from bacterial nanocellulose as anodes for lithium ion batteries. RSC Adv. 2014, 4, 17549–17554. [Google Scholar] [CrossRef]
- Nguyen, H.K.; Bae, J.H.; Hur, J.H.; Park, S.J.; Park, M.S.; Kim, I.T. Tailoring of aqueous-based carbon nanotube-nanocellulose films as self-standing flexible anodes for lithium-Ion storage. Nanomaterials 2019, 9, 655. [Google Scholar] [CrossRef]
- Ambalkar, A.A.; Panmand, R.P.; Kawase, U.V.; Sethi, Y.A.; Naik, S.D.; Kulkarni, M.V.; Adhyappak, P.V.; Kale, B.B. Facile synthesis of SnO2@carbon nanocomposites for lithium-ion batteries. New J. Chem. 2020, 44, 3366–3374. [Google Scholar] [CrossRef]
- Oh, S.I.; Kim, J.C.; Kim, D.W. Cellulose-Derived tin-oxide-nanoparticle-embedded carbon fibers as binder-free flexible Li-on batter anodes. Cellulose 2019, 26, 2557–2571. [Google Scholar] [CrossRef]
- Wang, P.; Xu, J.; Xu, F.; Zhao, W.; Sun, P.; Zhang, Z.; Qian, M.; Huang, F. Constructing hierarchical porous carbon via tin punching for efficient electrochemical energy storage. Carbon 2018, 134, 391–397. [Google Scholar] [CrossRef]
- Song, Y.; Liao, J.; Chen, C.; Yang, J.; Chen, J.; Gong, F.; Wang, S.; Xu, Z.; Wu, M. Controllable morphologies and electrochemical performances of self-assembled nano-honeycomb WS2 anodes modified by graphene doping for lithium and sodium ion batteries. Carbon 2019, 142, 697–706. [Google Scholar] [CrossRef]
- Li, L.L.; Zhang, W.M.; Yuan, Q.; Li, Z.X.; Fang, C.J.; Sun, L.D.; Wan, L.J.; Yan, C.H. Room temperature Ionic liquids assisted green synthesis of nanocrystalline porous SnO2 and their gas sensor behaviors. Cryst. Growth Des. 2008, 8, 4165–4172. [Google Scholar] [CrossRef]
- Tian, R.; Zhang, Y.; Chen, Z.; Duan, H.; Xu, B.; Guo, Y.; Kang, H.; Liu, H. The effect of annealing on a 3D SnO2/graphene foam as an advanced lithium-ion battery anode. Sci. Rep. 2016, 6, 19195. [Google Scholar] [CrossRef]
- Son, J.H.; Vo, N.T.; Cho, S.W.; Preman, A.N.; Kim, I.T.; Ahn, S.K. Acrylic random copolymer and network binders for silicon anodes in lithium-ion batteries. J. Power Sources 2020, 458, 208054. [Google Scholar] [CrossRef]
- Chen, J.S.; Lou, X.W. SnO2 and TiO2 nanosheets for lithium-ion batteries. Mater. Today 2012, 15, 246–254. [Google Scholar] [CrossRef]
- Yin, L.; Chai, S.; Wang, F.; Huang, J.; Li, J.; Liu, C. Ultrafine SnO2 nanoparticles as a high performance anode material for lithium ion battery. Ceram. Int. 2016, 42, 9433–9437. [Google Scholar] [CrossRef]
- Liang, J.; Yuan, C.; Li, H.; Fan, K.; Wei, Z.; Sun, H.; Ma, J. Growth of SnO2 nanoflowers on N-doped carbon nanofibers as anode for Li- and Na-ion batteries. Nano Micro Lett. 2018, 10, 21–29. [Google Scholar] [CrossRef]









© 2020 by the authors. Licensee MDPI, Basel, Switzerland. This article is an open access article distributed under the terms and conditions of the Creative Commons Attribution (CC BY) license (http://creativecommons.org/licenses/by/4.0/).
Share and Cite
Tran, Q.N.; Kim, I.T.; Park, S.; Choi, H.W.; Park, S.J. SnO2 Nanoflower–Nanocrystalline Cellulose Composites as Anode Materials for Lithium-Ion Batteries. Materials 2020, 13, 3165. https://doi.org/10.3390/ma13143165
Tran QN, Kim IT, Park S, Choi HW, Park SJ. SnO2 Nanoflower–Nanocrystalline Cellulose Composites as Anode Materials for Lithium-Ion Batteries. Materials. 2020; 13(14):3165. https://doi.org/10.3390/ma13143165
Chicago/Turabian StyleTran, Quang Nhat, Il Tae Kim, Sangkwon Park, Hyung Wook Choi, and Sang Joon Park. 2020. "SnO2 Nanoflower–Nanocrystalline Cellulose Composites as Anode Materials for Lithium-Ion Batteries" Materials 13, no. 14: 3165. https://doi.org/10.3390/ma13143165
APA StyleTran, Q. N., Kim, I. T., Park, S., Choi, H. W., & Park, S. J. (2020). SnO2 Nanoflower–Nanocrystalline Cellulose Composites as Anode Materials for Lithium-Ion Batteries. Materials, 13(14), 3165. https://doi.org/10.3390/ma13143165

