Characterization of Porous Cementitious Materials Using Microscopic Image Processing and X-ray CT Analysis
Abstract
1. Introduction
2. Materials and Mix Proportions
3. Test Methods for Analyzing the Pore Structures
3.1. Water Absorption Test
3.2. Microscopic Image Processing
3.3. X-ray CT Analysis
4. Experimental Results and Discussion
4.1. Density and Water Absorption Capacity
4.2. Microscopic Image Processing Analysis
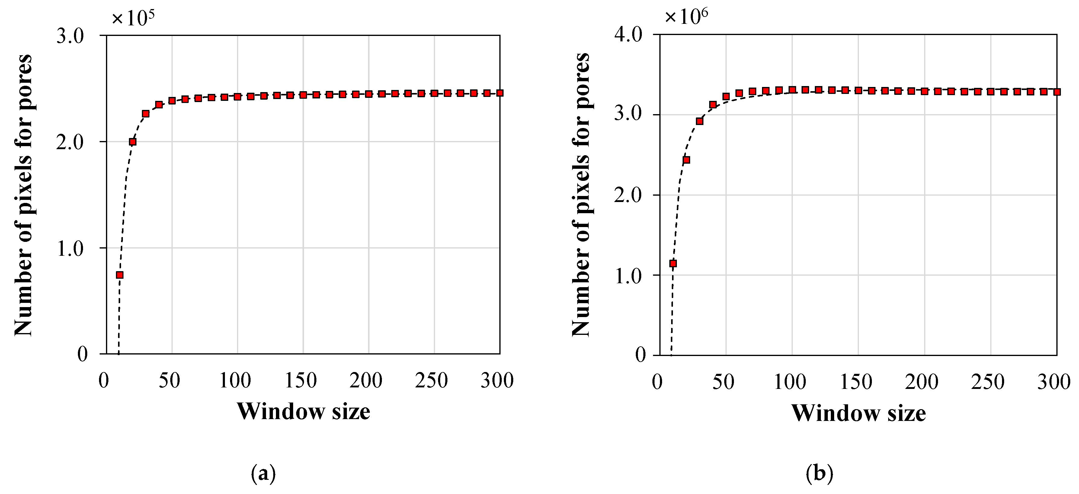
4.2.1. Image Binarization Using the Local Thresholding Method
4.2.2. Characteristics of Pores
4.3. X-ray CT Analysis
4.4. Comparative Analysis
5. Conclusions
- In microscopic image processing, the local thresholding method was adopted by considering non-uniform illumination images caused by a lateral light source. As a preliminary study, user-defined parameters of window size and sensitivity were carefully selected as 200 × 200 and 0.5, respectively. Consequently, microscopic image processing was successfully performed and various characteristics of pores were provided using high quality binary images. Furthermore, the linear relationship between the 2D pore ratio and the mean pore diameter was identified.
- X-ray CT analysis was conducted for the representative samples with a wide range of porosities. This 3D tomographic image-based analysis provided various unique characteristics of pores, such as open and closed pores and the distribution of pores in the 3D space. However, a high-resolution 3D tomographic image is required in order to obtain a more accurate analysis on the porous structures.
- To compare the properties of porosity obtained using different testing methods, the relationship of porosity with oven-dried density was investigated. The regression curves obtained for the water permeable porosity and the 3D pore ratio using X-ray CT showed similar trends. On the other hand, the results obtained using microscopic image processing provided a low 2D pore ratio for dense materials and a high 2D pore ratio for porous materials due to both the calculations used and the portion of closed pores that the samples contained.
Author Contributions
Funding
Conflicts of Interest
References
- Bogas, J.A.; Gomes, A.; Pereira, M.F.C. Self-compacting lightweight concrete produced with expanded clay aggregate. Constr. Build. Mater. 2012, 35, 1013–1022. [Google Scholar] [CrossRef]
- Rossignolo, J.A.; Agnesini, M.V.C.; Morais, J.A. Properties of high-performance LWAC for precast structures with Brazilian lightweight aggregates. Cement Concrete Compos. 2003, 25, 77–82. [Google Scholar]
- Andrade, L.B.; Rocha, J.C.; Cheriaf, M. Influence of coal bottom ash as fine aggregate on fresh properties of concrete. Constr. Build. Mater. 2009, 23, 609–614. [Google Scholar] [CrossRef]
- Choi, B.S.; Yoon, H.S.; Moon, H.K.; Yang, K.H. Environmental impact assessment of lightweight aggregate concrete according to replacement ratio of artificial lightweight fine aggregates. J. Korea Concr. Inst. 2018, 30, 297–304. [Google Scholar]
- Chai, Y.H. Service Performance of Long-Span Lightweight Aggregate Concrete Box-Girder Bridges. J. Perform. Constr. Facil. 2016, 30, 04014196. [Google Scholar] [CrossRef]
- Qian, Z.; Chen, L.; Jiang, C.; Luo, S. Performance evaluation of a lightweight epoxy asphalt mixture for bascule bridge pavements. Constr. Build. Mater. 2011, 25, 3117–3122. [Google Scholar] [CrossRef]
- Neithalath, N.; Sumanasooriya, M.S.; Deo, O. Characterizing pore volume, sizes, and connectivity in pervious concretes for permeability prediction. Mat. Charact. 2010, 61, 802–813. [Google Scholar] [CrossRef]
- Zaetang, Y.; Wongsa, A.; Sata, V.; Chindaprasirt, P. Use of lightweight aggregates in pervious concrete. Constr. Build. Mater. 2013, 48, 585–591. [Google Scholar] [CrossRef]
- Chen, Y.; Wang, K.; Wang, X.; Zhou, W. Strength, fracture and fatigue of pervious concrete. Constr. Build. Mater. 2013, 42, 97–104. [Google Scholar] [CrossRef]
- Kim, H.-H.; Kim, C.-S.; Jeon, J.-H.; Park, C.-G. Effects on the Physical and Mechanical Properties of Porous Concrete for Plant Growth of Blast Furnace Slag, Natural Jute Fiber, and Styrene Butadiene Latex Using a Dry Mixing Manufacturing Process. Materials 2016, 9, 84. [Google Scholar] [CrossRef]
- Kant Sahdeo, S.; Ransinchung, G.D.; Rahul, K.L.; Debbarma, S. Effect of mix proportion on the structural and functional properties of pervious concrete paving mixtures. Constr. Build. Mater. 2020, 255, 119260. [Google Scholar] [CrossRef]
- Chindaprasirt, P.; Hatanaka, S.; Chareerat, T.; Mishima, N.; Yuasa, Y. Cement paste characteristics and porous concrete properties. Constr. Build. Mater. 2008, 22, 894–901. [Google Scholar] [CrossRef]
- Narayanan, N.; Ramamurthy, K. Structure and properties of aerated concrete: A review. Cem. Concr. Compos. 2000, 22, 321–329. [Google Scholar] [CrossRef]
- Benazzouk, A.; Douzane, O.; Mezreb, K.; Quéneudec, M. Physico-mechanical properties of aerated cement composites containing shredded rubber waste. Cem. Concr. Compos. 2006, 28, 650–657. [Google Scholar] [CrossRef]
- Yoon, H.S.; Yang, K.H. Optimum mixture proportioning of autoclave lightweight aerated concrete considering required foaming rate and compressive strength. J. Korea Concr. Inst. 2019, 31, 123–130. [Google Scholar] [CrossRef]
- He, X.; Zheng, Z.; Yang, J.; Su, Y.; Wang, T.; Strnadel, B. Feasibility of incorporating autoclaved aerated concrete waste for cement replacement in sustainable building materials. J. Cleaner Prod. 2020, 250, 119455. [Google Scholar] [CrossRef]
- Song, Y.; Li, B.; Yang, E.H.; Liu, Y.; Ding, T. Feasibility study on utilization of municipal solid waste incineration bottom ash as aerating agent for the production of autoclaved aerated concrete. Cem. Concr. Compos. 2015, 56, 51–58. [Google Scholar] [CrossRef]
- Liu, Y.; Leong, B.S.; Hu, Z.T.; Yang, E.H. Autoclaved aerated concrete incorporating waste aluminum dust as foaming agent. Constr. Build. Mater. 2017, 148, 140–147. [Google Scholar] [CrossRef]
- Stroeven, P.; Hu, J.; Koleva, D.A. Concrete porosimetry: Aspects of feasibility, reliability and economy. Cem. Concr. Compos. 2010, 32, 291–299. [Google Scholar] [CrossRef]
- Elsharief, A.; Cohen, M.D.; Olek, J. Influence of lightweight aggregate on the microstructure and durability of mortar. Cem. Concr. Res. 2005, 35, 1368–1376. [Google Scholar] [CrossRef]
- Chung, S.Y.; Abd Elrahman, M.; Kim, J.S.; Han, T.S.; Stephan, D.; Sikora, P. Comparison of lightweight aggregate and foamed concrete with the same density level using image-based characterizations. Constr. Build. Mater. 2019, 211, 988–999. [Google Scholar] [CrossRef]
- Ćosić, K.; Korat, L.; Ducman, V.; Netinger, I. Influence of aggregate type and size on properties of pervious concrete. Constr. Build. Mater. 2015, 78, 69–76. [Google Scholar] [CrossRef]
- Yoon, J.Y.; Kim, J.H. Mechanical properties of preplaced lightweight aggregates concrete. Constr. Build. Mater. 2019, 216, 440–449. [Google Scholar] [CrossRef]
- Yoon, J.Y.; Lee, J.Y.; Kim, J.H. Use of raw-state bottom ash for aggregates in construction materials. J. Mater. Cycles Waste Manag. 2019, 1–12. [Google Scholar] [CrossRef]
- ASTM C642-13, Standard Test Method for Density, Absorption, and Voids in Hardened Concrete 2013. Available online: https://www.astm.org/Standards/C642 (accessed on 6 July 2020).
- Cnudde, V.; Cwirzen, A.; Masschaele, B.; Jacobs, P.J.S. Porosity and microstructure characterization of building stones and concretes. Eng. Geol. 2009, 103, 76–83. [Google Scholar] [CrossRef]
- Semel, F.J.; Lados, D.A. Porosity analysis of PM materials by helium pycnometry. Powder Metall. 2006, 49, 173–182. [Google Scholar] [CrossRef]
- Yang, X.; Sun, Z.; Shui, L.; Ji, Y. Characterization of the absolute volume change of cement pastes in early-age hydration process based on helium pycnometry. Constr. Build. Mater. 2017, 142, 490–498. [Google Scholar] [CrossRef]
- Chen, S.J.; Li, W.G.; Ruan, C.K.; Sagoe-Crentsil, K.; Duan, W.H. Pore shape analysis using centrifuge driven metal intrusion: Indication on porosimetry equations, hydration and packing. Constr. Build. Mater. 2017, 154, 95–104. [Google Scholar] [CrossRef]
- Shah, V.; Bishnoi, S. Analysis of Pore Structure Characteristics of Carbonated Low-Clinker Cements. Transp. Porous Media. 2018, 124, 861–881. [Google Scholar] [CrossRef]
- Zhou, J.; Ye, G.; van Breugel, K. Characterization of pore structure in cement-based materials using pressurization-depressurization cycling mercury intrusion porosimetry (PDC-MIP). Cem. Concr. Res. 2010, 40, 1120–1128. [Google Scholar] [CrossRef]
- Diamond, S. Mercury porosimetry: An inappropriate method for the measurement of pore size distributions in cement-based materials. Cem. Concr. Res. 2000, 30, 1517–1525. [Google Scholar] [CrossRef]
- Chung, S.Y.; Sikora, P.; Rucinska, T.; Stephan, D.; Abd Elrahman, M. Comparison of the pore size distributions of concretes with different air-entraining admixture dosages using 2D and 3D imaging approaches. Mater. Charact. 2020, 162, 110182. [Google Scholar] [CrossRef]
- Martin, W.D.; Putman, B.J.; Kaye, N.B. Using image analysis to measure the porosity distribution of a porous pavement. Constr. Build. Mater. 2013, 48, 210–217. [Google Scholar] [CrossRef]
- Choi, J.; Lee, Y.; Kim, Y.Y.; Lee, B.Y. Image-processing technique to detect carbonation regions of concrete sprayed with a phenolphthalein solution. Constr. Build. Mater. 2017, 154, 451–461. [Google Scholar] [CrossRef]
- Zhang, J.; Ma, G.; Ming, R.; Cui, X.; Li, L.; Xu, H. Numerical study on seepage flow in pervious concrete based on 3D CT imaging. Constr. Build. Mater. 2018, 161, 468–478. [Google Scholar] [CrossRef]
- Yoon, J.; Kim, H.; Koh, T.; Pyo, S. Microstructural characteristics of sound absorbable porous cement-based materials by incorporating natural fibers and aluminum powder. Constr. Build. Mater. 2020, 243, 118167. [Google Scholar] [CrossRef]
- Yu, F.; Sun, D.; Hu, M.; Wang, J. Study on the pores characteristics and permeability simulation of pervious concrete based on 2D/3D CT images. Constr. Build. Mater. 2019, 200, 687–702. [Google Scholar] [CrossRef]
- Zhou, H.; Li, H.; Abdelhady, A.; Liang, X.; Wang, H.; Yang, B. Experimental investigation on the effect of pore characteristics on clogging risk of pervious concrete based on CT scanning. Constr. Build. Mater. 2019, 212, 130–139. [Google Scholar] [CrossRef]
- ASTM C1693-11, Standard Specification for Autoclaved Aerated Concrete 2017. Available online: https://www.astm.org/Standards/C1693.htm (accessed on 6 July 2020).
- Wong, H.S.; Head, M.K.; Buenfeld, N.R. Pore segmentation of cement-based materials from backscattered electron images. Cem. Concr. Res. 2006, 36, 1083–1090. [Google Scholar] [CrossRef]
- Otsu, N. Threshold selection method from gray-level histograms. IEEE Trans. Syst. Man Cybern. 1979, 9, 62–66. [Google Scholar] [CrossRef]
- Gatos, B.; Pratikakis, I.; Perantonis, S.J. Adaptive degraded document image binarization. Pattern Recognit. 2006, 39, 317–327. [Google Scholar] [CrossRef]
- Sauvola, J.; Pietikäinen, M. Adaptive document image binarization. Pattern Recognit. 2000, 33, 225–236. [Google Scholar] [CrossRef]
- Kim, H.; Ahn, E.; Cho, S.; Shin, M.; Sim, S.H. Comparative analysis of image binarization methods for crack identification in concrete structures. Cem. Concr. Res. 2017, 99, 53–61. [Google Scholar] [CrossRef]
- Manahiloh, K.N.; Muhunthan, B.; Kayhanian, M.; Gebremariam, S.Y. X-ray Computed Tomography and Nondestructive Evaluation of Clogging in Porous Concrete Field Samples. J. Mater. Civ. Eng. 2012, 24, 1103–1109. [Google Scholar] [CrossRef]
- Bernardes, E.E.; Mantilla Carrasco, E.V.; Vasconcelos, W.L.; de Magalhães, A.G. X-ray microtomography (μ-CT) to analyze the pore structure of a Portland cement composite based on the selection of different regions of interest. Constr. Build. Mater. 2015, 95, 703–709. [Google Scholar] [CrossRef]
- Hong, S.; Liu, P.; Zhang, J.; Xing, F.; Dong, B. Visual & quantitative identification of cracking in mortar subjected to loads using X-ray computed tomography method. Cem. Concr. Compos. 2019, 100, 15–24. [Google Scholar]
- Liu, T.; Zhang, X.N.; Li, Z.; Chen, Z.Q. Research on the homogeneity of asphalt pavement quality using X-ray computed tomography (CT) and fractal theory. Constr. Build. Mater. 2014, 68, 587–598. [Google Scholar] [CrossRef]
- Golubev, I.; Karpova, Y. Quality improvement of oil-contaminated wastewater, meant for injection into formation, using two-stage treatment technology. J. Ecol. Eng. 2017, 18, 48–52. [Google Scholar] [CrossRef]
- Holt, E.; Raivio, P. Use of gasification residues in aerated autoclaved concrete. Cem. Concr. Res. 2005, 35, 796–802. [Google Scholar] [CrossRef]
- Wang, F.; Liu, Z.; Hu, S. Early age volume change of cement asphalt mortar in the presence of aluminum powder. Mater. Struct. 2010, 43, 493–498. [Google Scholar] [CrossRef]
- Zhao, Y.; Wang, X.; Jiang, J.; Zhou, L. Characterization of interconnectivity, size distribution and uniformity of air voids in porous asphalt concrete using X-ray CT scanning images. Constr. Build. Mater. 2019, 213, 182–193. [Google Scholar] [CrossRef]
- Chakraborty, S.; Kundu, S.P.; Roy, A.; Basak, R.K.; Adhikari, B.; Majumder, S.B. Improvement of the mechanical properties of jute fibre reinforced cement mortar: A statistical approach. Constr. Build. Mater. 2013, 38, 776–784. [Google Scholar] [CrossRef]










| Label | Mix Proportion (g) | ||||||
|---|---|---|---|---|---|---|---|
| w/b1 | Water | Cement | Silica Fume | NF2 | AP3 | SP4 | |
| PCM1-1 | 0.3 | 660 | 2000 | 200 | 0 | 0 1.1 2.2 | 44.0 |
| PCM1-2 | |||||||
| PCM1-3 | |||||||
| PCM2-1 | 28.6 | 0 1.1 2.2 | |||||
| PCM2-2 | |||||||
| PCM2-3 | |||||||
| PCM3-1 | 85.8 | 0 1.1 2.2 | |||||
| PCM3-2 | |||||||
| PCM3-3 | |||||||
| PCM4-1 | 143.0 | 0 1.1 2.2 | |||||
| PCM4-2 | |||||||
| PCM4-3 | |||||||
| Measurement | Label | Aluminum Powder | ||
|---|---|---|---|---|
| 0% | 0.05% | 0.10% | ||
| 2D Pore Ratio | PCM1 | 4.0% | 35.6% | 43.9% |
| PCM2 (NF 1%) | 6.7% | 36.9% | 49.6% | |
| PCM3 (NF 3%) | 19.3% | 34.7% | 54.2% | |
| PCM4 (NF 5%) | 26.5% | 48.9% | 51.1% | |
| Mean Pore Size (µm) | PCM1 | 103.2 | 167.3 | 200.9 |
| PCM2 (NF 1%) | 91.7 | 161.0 | 242.1 | |
| PCM3 (NF 3%) | 101.7 | 147.4 | 212.9 | |
| PCM4 (NF 5%) | 141.2 | 173.3 | 215.0 | |
| Total Number of Pores | PCM1 | 3568 | 10,317 | 8397 |
| PCM2 (NF 1%) | 8234 | 11,669 | 4914 | |
| PCM3 (NF 3%) | 18,421 | 13,384 | 5282 | |
| PCM4 (NF 5%) | 10,513 | 7984 | 6023 | |
| Label | Volume (mm3) | 3D Pore Ratio (Open/Closed) | Mean Pore Size (μm) | ||
|---|---|---|---|---|---|
| Solid Phase | Closed Pore | Open Pore | |||
| PCM1-1 | 114,451 | 5616 | 4933 | 8.4% (3.9%/4.5%) | 3472 |
| PCM1-3 | 98,395 | 21,443 | 5162 | 21.3% (4.1%/17.2%) | 3022 |
| PCM3-1 | 113,337 | 7325 | 4339 | 9.3% (3.5%/5.9%) | 3357 |
| PCM3-3 | 95,860 | 18,312 | 9528 | 23.3% (8.7%/14.6%) | 3604 |
© 2020 by the authors. Licensee MDPI, Basel, Switzerland. This article is an open access article distributed under the terms and conditions of the Creative Commons Attribution (CC BY) license (http://creativecommons.org/licenses/by/4.0/).
Share and Cite
Yoon, J.; Kim, H.; Sim, S.-H.; Pyo, S. Characterization of Porous Cementitious Materials Using Microscopic Image Processing and X-ray CT Analysis. Materials 2020, 13, 3105. https://doi.org/10.3390/ma13143105
Yoon J, Kim H, Sim S-H, Pyo S. Characterization of Porous Cementitious Materials Using Microscopic Image Processing and X-ray CT Analysis. Materials. 2020; 13(14):3105. https://doi.org/10.3390/ma13143105
Chicago/Turabian StyleYoon, Jinyoung, Hyunjun Kim, Sung-Han Sim, and Sukhoon Pyo. 2020. "Characterization of Porous Cementitious Materials Using Microscopic Image Processing and X-ray CT Analysis" Materials 13, no. 14: 3105. https://doi.org/10.3390/ma13143105
APA StyleYoon, J., Kim, H., Sim, S.-H., & Pyo, S. (2020). Characterization of Porous Cementitious Materials Using Microscopic Image Processing and X-ray CT Analysis. Materials, 13(14), 3105. https://doi.org/10.3390/ma13143105

