Development of Na0.5CoO2 Thick Film Prepared by Screen-Printing Process
Abstract
1. Introduction
2. Experimental
3. Results and Discussion
3.1. Problems with a Thick Film Prepared by a Simple Printing Process
3.2. Microstructure of Crack-Free Thick Film
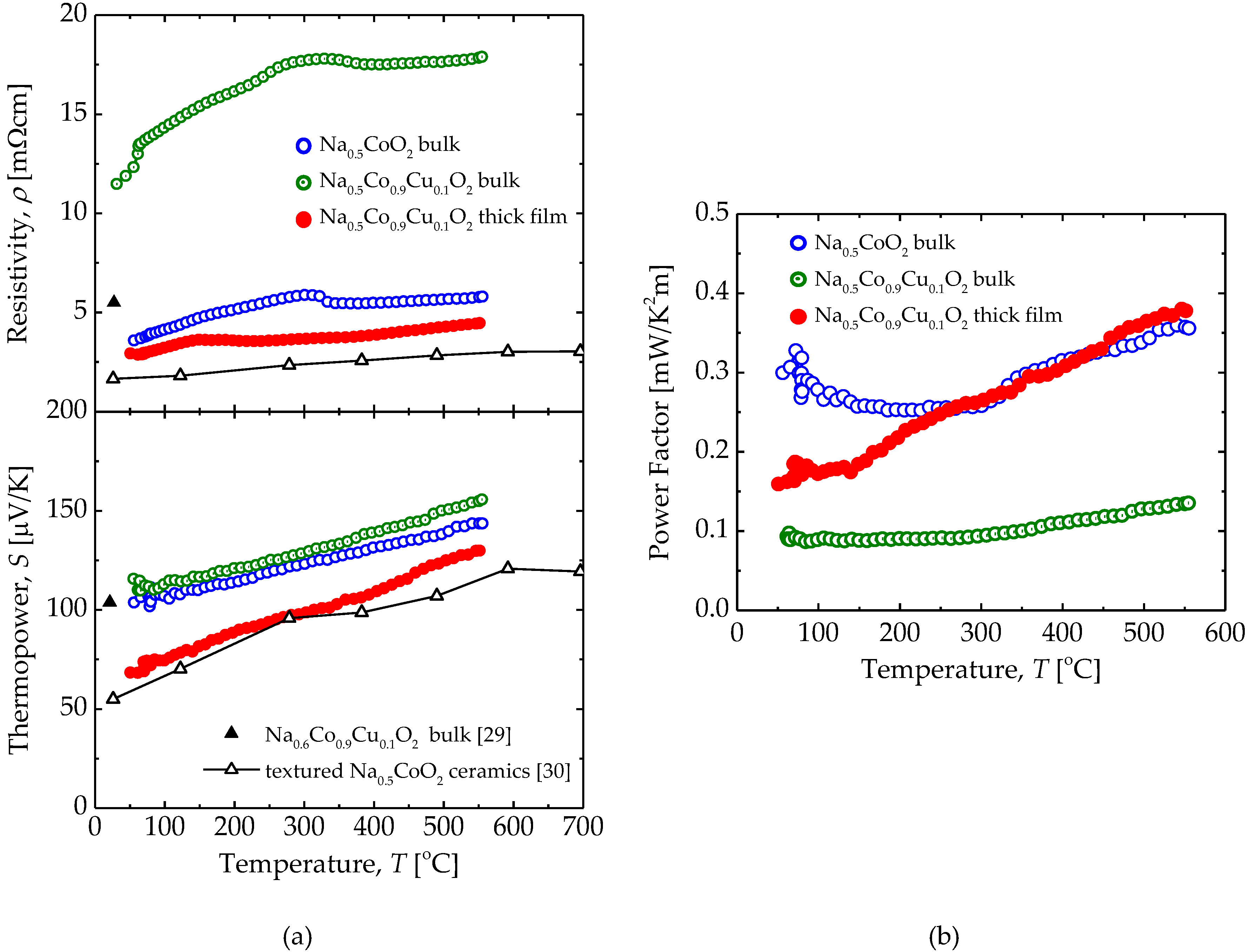
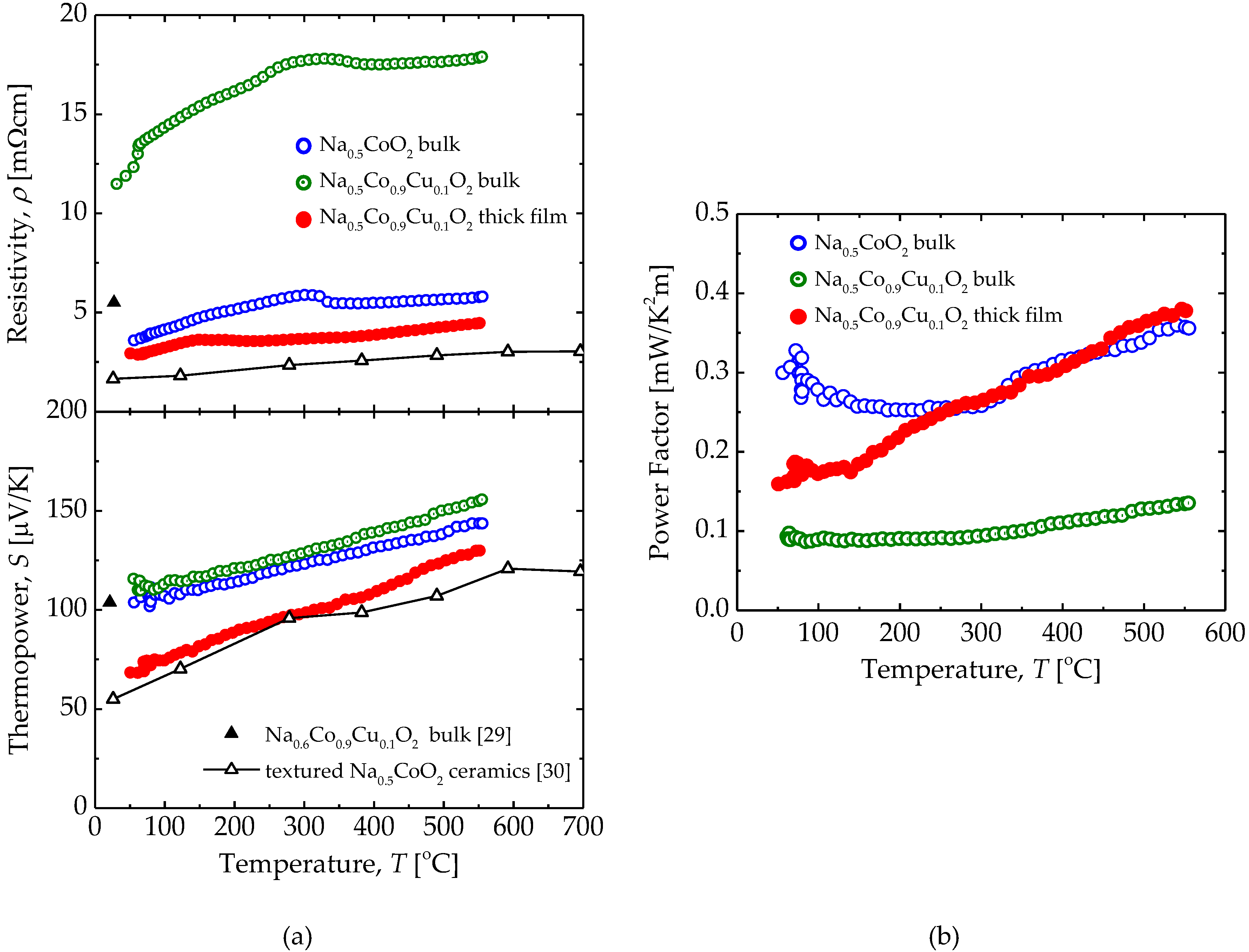
3.3. Thermoelectric Properties of Na0.5Co0.9Cu0.1O2 Thick Film
4. Conclusions
Author Contributions
Funding
Conflicts of Interest
References
- Shigetomi, S.; Mori, S. Electrical properties of Bi2Te3. J. Phys. Soc. Jpn. 1956, 11, 915–919. [Google Scholar] [CrossRef]
- Satterthwaite, C.B.; Ure, R.W., Jr. Electrical and thermal properties of Bi2Te3. Phys. Rev. 1957, 108, 1164. [Google Scholar] [CrossRef]
- Lin, W.P.; Wesolowski, D.E.; Lee, C.C. Barrier/bonding layers on bismuth telluride (Bi2Te3) for high temperature thermoelectric modules. J. Mater. Sci. Mater. Electron. 2011, 22, 1313–1320. [Google Scholar] [CrossRef]
- Zhao, L.D.; Lo, S.H.; Zhang, Y.; Sun, H.; Tan, G.; Uher, C.; Wolverton, C.; Dravid, V.P.; Kanatzidis, M.G. Ultralow thermal conductivity and high thermoelectric figure of merit in SnSe crystals. Nature 2014, 508, 373–377. [Google Scholar] [CrossRef] [PubMed]
- Zhao, L.D.; Tan, G.; Hao, S.; He, J.; Pei, Y.; Chi, H.; Wang, H.; Gong, S.; Xu, H.; Dravid, V.P.; et al. Ultrahigh power factor and thermoelectric performance in hole-doped single-crystal SnSe. Science 2016, 351, 141–144. [Google Scholar] [CrossRef]
- Nishino, Y. Electronic structure and transport properties of pseudogap system Fe2Val. Mater. Trans. 2001, 42, 902–910. [Google Scholar] [CrossRef]
- Mikami, M.; Kobayashi, K.; Kawada, T.; Kubo, K.; Uchiyama, N. Development of a thermoelectric module using the heusler alloy Fe2VAl. J. Electron. Mater. 2009, 38, 1121–1126. [Google Scholar] [CrossRef]
- Fu, C.; Bai, S.; Liu, Y.; Tang, Y.; Chen, L.; Zhao, X.; Zhu, T. Realizing high figure of merit in heavy-band p-type half-Heusler thermoelectric materials. Nat. Commun. 2015, 6, 8144. [Google Scholar] [CrossRef]
- Nan, K.; Kang, S.D.; Li, K.; Yu, K.J.; Zhu, F.; Wang, J.; Dunn, A.C.; Zhou, C.; Xie, Z.; Agne, M.T.; et al. Compliant and stretchable thermoelectric coils for energy harvesting in miniature flexible devices. Sci. Adv. 2018, 4, 5849. [Google Scholar] [CrossRef]
- Zhang, B.; Sun, J.; Katz, H.E.; Fang, F.; Opila, R.L. Promising thermoelectric properties of commercial PEDOT: PSS materials and their Bi2Te3 powder composites. ACS Appl. Mater. Interfaces 2010, 2, 3170–3178. [Google Scholar] [CrossRef]
- Sato, M.; Takeda, M. Fabrication and evaluation of a flexible thermoelectric device using metal thin films. Presented at the ICT 2005 24th International Conference on Thermoelectrics, Clemson, SC, USA, 24 October 2005; pp. 175–178. [Google Scholar] [CrossRef]
- Iwasaki, Y.; Takeda, M. Development of flexible thermoelectric device: Improvement of device performance. In Proceedings of the 2006 25th International Conference on Thermoelectrics, Vienna, Austria, 6–10 August 2006; pp. 562–565. [Google Scholar] [CrossRef]
- Ney, L.; Tepner, S.; Wengenmeyr, N.; Linse, M.; Loren, A.; Bechmann, S.; Weber, R.; Pospischil, M.; Clement, F. Optimization of fine line screen printing using in-depth screen mesh analysis. AIP Conf. Proc. 2019, 2156, 020006. [Google Scholar] [CrossRef]
- Zeng, P.; Tian, B.; Tian, Q.; Yao, W.; Li, M.; Wang, H.; Feng, Y.; Liu, L.; Wu, W. Screen-printed, low-cost, and patterned flexible heater based on ag fractal dendrites for human wearable application. Adv. Mater. Technol. 2019, 4, 1800453. [Google Scholar] [CrossRef]
- Tepner, S.; Wengenmeyr, N.; Ney, L.; Linse, M.; Pospischil, M.; Clement, F. Improving wall slip behavior of silver pastes on screen emulsions for fine line screen printing. Sol. Energ. Mater. Sol. Cells 2019, 200, 109969. [Google Scholar] [CrossRef]
- He, P.; Cao, J.; Ding, H.; Liu, C.; Neilson, J.; Li, Z.; Kinloch, I.A.; Derby, B. Screen-printing of a highly conductive graphene ink for flexible printed electronics. ACS Appl. Mater. Interfaces 2019, 11, 32225–32234. [Google Scholar] [CrossRef]
- Hatala, M.; Gemeiner, P.; Hvojnik, M.; Mikula, M. The effect of the ink composition on the performance of carbon-based conductive screen printing inks. J. Mater. Sci. Mater. Electron. 2019, 30, 1034–1044. [Google Scholar] [CrossRef]
- Varghese, T.; Hollar, C.; Richardson, J.; Kempf, N.; Han, C.; Gamarachchi, P.; Estrada, D.; Mehta, R.J.; Zhang, Y. High-performance and flexible thermoelectric films by screen printing solution-processed nanoplate crystals. Sci. Rep. 2016, 6, 33135. [Google Scholar] [CrossRef]
- Feng, J.; Zhu, W.; Deng, Y.; Song, Q.; Zhang, G. Enhanced antioxidation and thermoelectric properties of the flexible screen-printed Bi2Te3 films through interface modification. ACS Appl. Energy Mater. 2019, 2, 2828–2836. [Google Scholar] [CrossRef]
- Terasaki, I.; Sasago, Y.; Uchinokura, K. Large thermoelectric power in NaCo2O4 single crystals. Phys. Rev. B 1997, 56, R12685. [Google Scholar] [CrossRef]
- Caillat, T.; Carle, M.; Pierrat, P.; Scherrer, H.; Scherrer, S. Thermoelectric properties of (BixSb1−x)2Te3 single crystal solid solutions grown by the T.H.M. method. J. Phys. Chem. Solids 1992, 53, 1121–1129. [Google Scholar] [CrossRef]
- Park, K.; Jang, K.U.; Kwon, H.-C.; Kim, J.-G.; Chod, W.-S. Influence of partial substitution of Cu for Co on the thermoelectric properties of NaCo2O4. J. Alloy Compd. 2006, 419, 213–219. [Google Scholar] [CrossRef]
- Shu, G.J.; Prodi, A.; Chu, S.Y.; Lee, Y.S.; Sheu, H.S.; Chou, F.C. Searching for stable Na-ordered phases in single-crystal samples of γ−NaxCoO2. Phys. Rev. B 2007, 76, 184115. [Google Scholar] [CrossRef]
- Terasaki, I.; Tsukada, I.; Iguchi, Y. Impurity-induced transition and impurity-enhanced thermopower in the thermoelectric oxide NaCo2−xCuxO4. Phys. Rev. B 2002, 65, 195106. [Google Scholar] [CrossRef]
- Mikami, M.; Yoshimura, M.; Mori, Y.; Sasaki, T.; Funahashi, R.; Matsubara, I. Crystal growth of thermoelectric material NaxCoO2-δ by a flux method. Jpn. J. Appl. Phys. 2002, 41, L777–L779. [Google Scholar] [CrossRef]
- Shin, W.; Izu, N.; Matsubara, I.; Murayama, N. Thermoelectric properties of sinter-forged NaCo2O4. Jpn. J. Appl. Phys. 2003, 42, 7013–7017. [Google Scholar] [CrossRef]
- Tsuruta, A.; Nomura, K.; Mikami, M.; Kinemuchi, Y.; Terasaki, I.; Murayama, N.; Shin, W. Unusually small thermal expansion of ordered perovskite oxide CaCu3Ru4O12 with high conductivity. Materials 2018, 11, 1650. [Google Scholar] [CrossRef]
- Tsuruta, A.; Itoh, T.; Mikami, M.; Kinemuchi, Y.; Terasaki, I.; Murayama, N.; Shin, W. Trial of an all-ceramic SnO2 gas sensor equipped with CaCu3Ru4O12 heater and electrode. Materials 2018, 11, 981. [Google Scholar] [CrossRef]
- Terasaki, I.; Ishii, Y.; Tanaka, D.; Takahata, K.; Iguchi, Y. Thermoelectric properties of NaCo2−xCuxO4 improved by the substitution of Cu for Co. Jpn. J. Appl. Phys. 2001, 40, L65–L67. [Google Scholar] [CrossRef]
- Tajima, S.; Tani, T.; Isobe, S.; Koumoto, K. Thermoelectric properties of highly textured NaCo2O4 ceramics processed by the reactive templated grain growth (RTGG) method. Mater. Sci. Eng. B 2001, 86, 20–25. [Google Scholar] [CrossRef]
- Lee, M.; Viciu, L.; Li, L.; Wang, Y.; Foo, M.L.; Watauchi, S.; Pascal, R.A., Jr.; Cave, R.J.; Ong, N.P. Large enhancement of the thermopower in NaxCoO2 at high Na doping. Nat. Mater. 2006, 5, 537–540. [Google Scholar] [CrossRef]
- Heikes, R.R.; Ure, R.W. Thermoelectricity: Science and Engineering; Intersicience Publishers: New York, NY, USA, 1961. [Google Scholar]
- Koshibae, W.; Maekawa, S. Effects of spin and orbital degeneracy on the thermopower of strongly correlated systems. Phys. Rev. Lett. 2001, 87, 236603. [Google Scholar] [CrossRef]
- Koshibae, W.; Tsutsui, K.; Maekawa, S. Thermopower in cobalt oxides. Phys. Rev. B 2000, 62, 6869. [Google Scholar] [CrossRef]







© 2020 by the authors. Licensee MDPI, Basel, Switzerland. This article is an open access article distributed under the terms and conditions of the Creative Commons Attribution (CC BY) license (http://creativecommons.org/licenses/by/4.0/).
Share and Cite
Tsuruta, A.; Tanaka, M.; Mikami, M.; Kinemuchi, Y.; Masuda, Y.; Shin, W.; Terasaki, I. Development of Na0.5CoO2 Thick Film Prepared by Screen-Printing Process. Materials 2020, 13, 2805. https://doi.org/10.3390/ma13122805
Tsuruta A, Tanaka M, Mikami M, Kinemuchi Y, Masuda Y, Shin W, Terasaki I. Development of Na0.5CoO2 Thick Film Prepared by Screen-Printing Process. Materials. 2020; 13(12):2805. https://doi.org/10.3390/ma13122805
Chicago/Turabian StyleTsuruta, Akihiro, Miki Tanaka, Masashi Mikami, Yoshiaki Kinemuchi, Yoshitake Masuda, Woosuck Shin, and Ichiro Terasaki. 2020. "Development of Na0.5CoO2 Thick Film Prepared by Screen-Printing Process" Materials 13, no. 12: 2805. https://doi.org/10.3390/ma13122805
APA StyleTsuruta, A., Tanaka, M., Mikami, M., Kinemuchi, Y., Masuda, Y., Shin, W., & Terasaki, I. (2020). Development of Na0.5CoO2 Thick Film Prepared by Screen-Printing Process. Materials, 13(12), 2805. https://doi.org/10.3390/ma13122805

