Resistive Switching Behavior of Magnesium Zirconia Nickel Nanorods
Abstract
1. Introduction
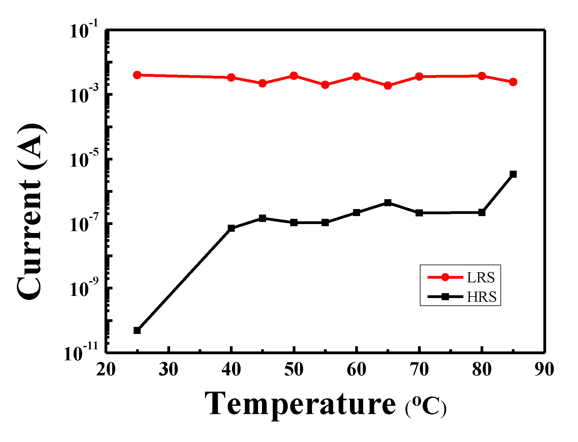
2. Results
3. Materials and Methods
4. Conclusions
Author Contributions
Funding
Conflicts of Interest
References
- Chang, Y.C.; Xue, R.Y.; Wang, Y.H. Multilayered Barium Titanate Thin Films by Sol-Gel Method for Nonvolatile Memory Application. IEEE Trans. Electron. Devices 2014, 61, 4090–4097. [Google Scholar] [CrossRef]
- Chang, Y.C.; Lee, K.J.; Lee, C.J.; Wang, L.W.; Wang, Y.H. Bipolar Resistive Switching Behavior in Sol-Gel MgTiNiOx Memory Device. IEEE J. Electron. Devices Soc. 2016, 4, 321–327. [Google Scholar] [CrossRef]
- Lee, K.J.; Chang, Y.C.; Lee, C.J.; Wang, L.W.; Wang, Y.H. Resistive Switching Characteristics in Flexible Pt/MZT/Al Memory and Ni/NbO2/Ni Selector Structure. IEEE J. Electron. Devices Soc. 2018, 6, 518–524. [Google Scholar] [CrossRef]
- Panda, D.; Tseng, T.Y. Perovskite Oxides as Resistive Switching Memories: A Review. Ferroelectrics 2014, 471, 23–64. [Google Scholar] [CrossRef]
- Yoo, E.; Lyu, M.; Yun, J.H.; Kang, C.; Choi, Y.; Wang, L. Bifunctional resistive switching behavior in an organolead halide perovskite based Ag/CH3NH3PbI3xClx/FTO structure. J. Mater. Chem. C 2016, 4, 7824–7830. [Google Scholar] [CrossRef]
- Balaji, V.; Senthilkumaran, S.; Thangadurai, P. Quantitative phase analysis of Mg:ZrO2 nanoparticles by Rietveld refinement method. Appl. Phys. Lett. 2014, 1591, 294–295. [Google Scholar] [CrossRef]
- Badwal, S.P.S. Zirconia-based solid electrolytes: Microstructure, stability and ionic conductivity. Solid State Lonics 1992, 52, 23–32. [Google Scholar] [CrossRef]
- Huang, C.H.; Chou, T.S.; Huang, J.S.; Lin, S.M.; Chueh, Y.L. Self-Selecting Resistive Switching Scheme Using TiO2 Nanorod Arrays. Sci. Rep. 2017, 7, 2066. [Google Scholar] [CrossRef]
- Chang, W.Y.; Lin, C.A.; He, J.H.; Wu, T.B. Resistive switching behaviors of ZnO nanorod layers. Appl. Phys. Lett. 2010, 96, 242109. [Google Scholar] [CrossRef]
- Lai, Y.; Qiu, W.; Zeng, Z.; Cheng, S.; Yu, J.; Zheng, Q. Resistive Switching of Plasma–Treated Zinc Oxide Nanowires for Resistive Random Access Memory. Nanomaterials 2016, 6, 16. [Google Scholar] [CrossRef]
- Tseng, Z.; Kao, P.C.; Shih, M.F.; Huang, H.H.; Wang, J.Y.; Chu, S.Y. Electrical bistability in hybrid ZnO nanorod/polymethylmethacrylate heterostructures. Appl. Phys. Lett. 2010, 97, 212103. [Google Scholar] [CrossRef]
- Huang, C.Y.; Ho, Y.T.; Hung, C.J.; Tseng, T.Y. Compact Ga-Doped ZnO Nanorod Thin Film for Making High-Performance Transparent Resistive Switching Memory. IEEE Trans. Electron. Devices 2014, 6, 3435–3441. [Google Scholar] [CrossRef]
- Huang, Y.C.; Cheng, P.Y.; Huang, K.F.; Chuang, T.C.; Lin, H.H.; Chin, T.S.; Liu, R.S.; Lan, Y.W.; Chen, C.D.; Lai, C.H. Using binary resistors to achieve multilevel resistive switching in multilayer NiO/Pt nanowire arrays. NPG Asia Mater. 2014, 6, 81. [Google Scholar] [CrossRef]
- Cagli, C.; Nardi, F.; Harteneck, B.; Tan, Z.; Zhang, Y.; Ielmini, D. Resistive-Switching Crossbar Memory Based on Ni–NiO Core–Shell Nanowires. Small 2011, 7, 2899–2905. [Google Scholar] [CrossRef]
- Polsongkram, D.; Chamninok, P.; Pukird, S.; Chow, L.; Lupan, O.; Chai, G.; Khallaf, H.; Park, S.; Schulte, A. Effect of synthesis conditions on the growth of ZnO nanorods via hydrothermal method. Physica B 2008, 403, 3713–3717. [Google Scholar] [CrossRef]
- Shen, G.H.; Tandio, A.R.; Lin, M.Y.; Lin, G.F.; Chen, K.H.; Hong, F.C.N. Low switching-threshold-voltage zinc oxide nanowire array resistive random access memory. Thin Solid Film. 2016, 618, 90–94. [Google Scholar] [CrossRef]
- Zhao, Y.; Jin, J.; Yang, X. Hydrothermal synthesis of titanate nanowire arrays. Mater. Lett. 2007, 61, 384–388. [Google Scholar] [CrossRef]
- Wang, Z.; Xu, H.; Li, X.; Zhang, X.; Liu, Y.; Liu, Y. Flexible resistive switching memory device based on amorphous InGaZnO film with excellent mechanical endurance. IEEE Electron. Device Lett. 2011, 32, 1442–1444. [Google Scholar] [CrossRef]
- Chu, D.; Younis, A.; Li, S. Direct growth of TiO2 nanotubes on transparent substrates and their resistive switching characteristics. J. Phys. D Appl. Phys. Lett. 2012, 45, 355306. [Google Scholar] [CrossRef]
- Lampert, M.A. Simplified theory of space-charge-limited currents in an insulator with traps. Phys. Rev. 1956, 103, 1648. [Google Scholar] [CrossRef]
- Chen, F.T.; Lee, H.Y.; Chen, Y.S.; Chen, P.S.; Gu, P.; Chen, C.W.; Hsu, Y.Y.; Liu, W.H.; Chen, W.S.; Tsai, M.J.; et al. Size dependence of TiN/HfO2/Ti MIM ReRAM resistance states: Model and experimental results. Curr. Appl. Phys. 2010, 10, 75–78. [Google Scholar] [CrossRef]
- Kim, A.; Song, K.; Kim, Y.; Moon, J. All solution-processed, fully transparent resistive memory devices. ACS Appl. Mater. Interfaces 2011, 3, 4525–4530. [Google Scholar] [CrossRef] [PubMed]
- Lee, W.; Yoon, S. Effects of device size and material on the bending performance of resistive-switching memory devices fabricated on flexible substrates. Appl. Phys. Lett. 2017, 110, 192103. [Google Scholar] [CrossRef]
- Hong, Y.S.; Chen, J.Y.; Huang, C.W.; Chiu, C.H.; Huang, Y.T.; Huang, T.K.; He, R.S.; Wu, W.W. Single-crystalline CuO nanowires for resistive random access memory applications. Appl. Phys. Lett. 2015, 106, 173103. [Google Scholar] [CrossRef]
- Wang, T.Y.; Meng, J.L.; He, Z.Y.; Chen, L.; Zhu, H.; Sun, Q.Q.; Ding, S.J.; Zhang, D.W. Atomic Layer Deposited Hf0.5Zr0.5O2-based Flexible Memristor with Short/Long-Term Synaptic Plasticity. Nanoscale Res. Lett. 2019, 14, 102. [Google Scholar] [CrossRef]














| Element | Mg | Zr | Ni | C | O | Totals |
|---|---|---|---|---|---|---|
| Atomic (%) | 3.15 | 2.15 | 5.38 | 49.13 | 40.20 | 100% |
© 2020 by the authors. Licensee MDPI, Basel, Switzerland. This article is an open access article distributed under the terms and conditions of the Creative Commons Attribution (CC BY) license (http://creativecommons.org/licenses/by/4.0/).
Share and Cite
Su, T.-H.; Lee, K.-J.; Wang, L.-W.; Chang, Y.-C.; Wang, Y.-H. Resistive Switching Behavior of Magnesium Zirconia Nickel Nanorods. Materials 2020, 13, 2755. https://doi.org/10.3390/ma13122755
Su T-H, Lee K-J, Wang L-W, Chang Y-C, Wang Y-H. Resistive Switching Behavior of Magnesium Zirconia Nickel Nanorods. Materials. 2020; 13(12):2755. https://doi.org/10.3390/ma13122755
Chicago/Turabian StyleSu, Tzu-Han, Ke-Jing Lee, Li-Wen Wang, Yu-Chi Chang, and Yeong-Her Wang. 2020. "Resistive Switching Behavior of Magnesium Zirconia Nickel Nanorods" Materials 13, no. 12: 2755. https://doi.org/10.3390/ma13122755
APA StyleSu, T.-H., Lee, K.-J., Wang, L.-W., Chang, Y.-C., & Wang, Y.-H. (2020). Resistive Switching Behavior of Magnesium Zirconia Nickel Nanorods. Materials, 13(12), 2755. https://doi.org/10.3390/ma13122755

