Superplastic Deformation Mechanisms in Fine-Grained 2050 Al-Cu-Li Alloys
Abstract
1. Introduction
2. Experimental Methods
2.1. Materials
2.2. Tensile Test
2.3. Microstructure Analysis
3. Results
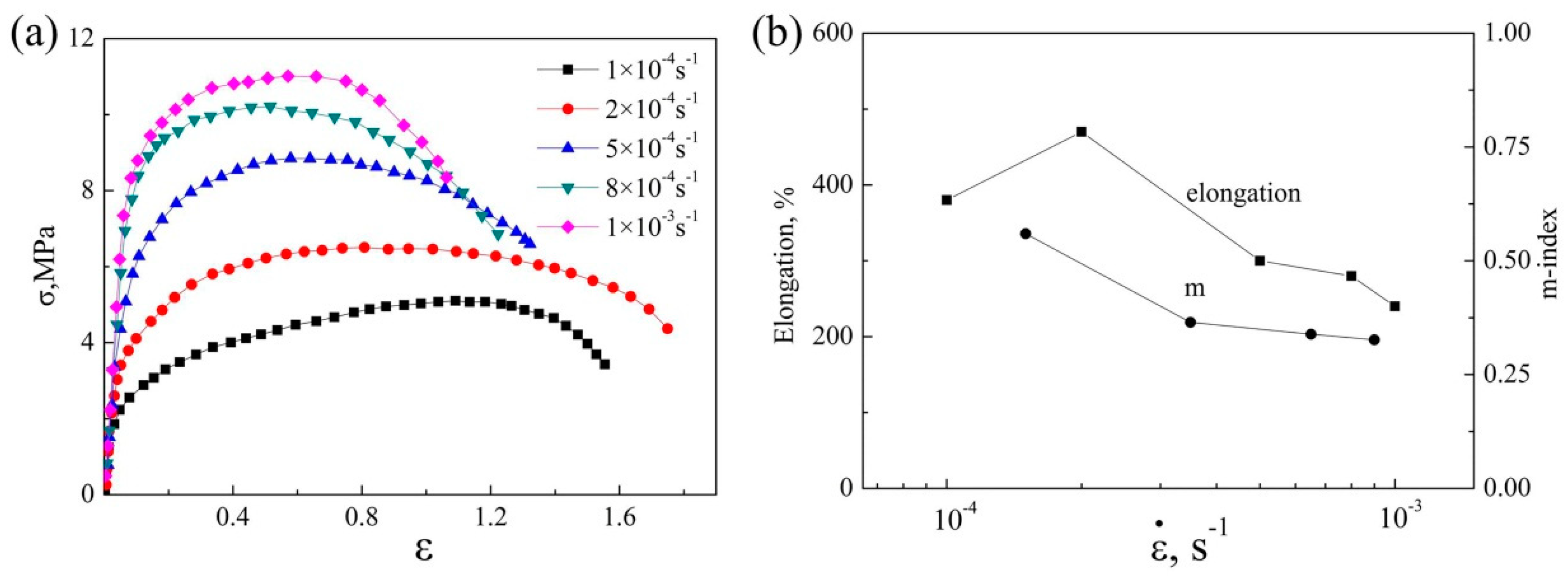
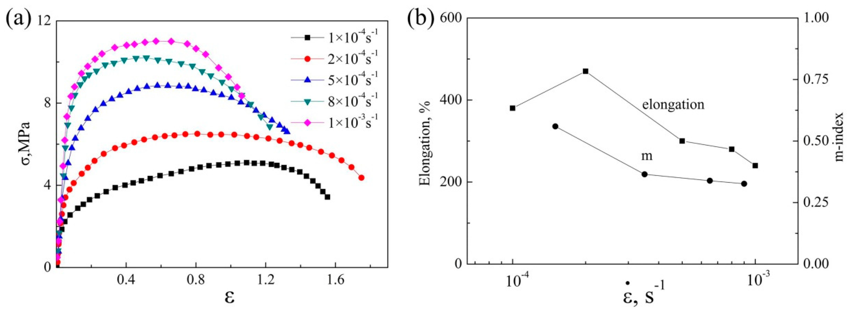
3.1. Deformation Behavior
3.2. Microstructural Evolution
3.3. Superplastic Deformation Mechanisms
4. Discussion
5. Conclusions
Author Contributions
Funding
Conflicts of Interest
References
- Zhang, J.; Jiang, Z.; Xu, F.; Chen, M. Effects of Pre-Stretching on Creep Behavior, Mechanical Property and Microstructure in Creep Aging of Al-Cu-Li Alloy. Materials 2019, 12, 333. [Google Scholar] [CrossRef]
- Wu, F.; Chen, W.; Zhao, B.; Hou, H.; Zhou, W.; Li, Z. Diffusion Bonding of 1420 Al–Li Alloy Assisted by Pure Aluminum Foil as Interlayer. Materials 2020, 13, 1103. [Google Scholar] [CrossRef]
- Zhang, Y.; Li, H.; Luo, C.; Yang, L. Effects of Filler Wires on the Microstructure and Mechanical Properties of 2195-T6 Al-Li Alloy Spray Formed by TIG Welding. Materials 2019, 12, 3559. [Google Scholar] [CrossRef]
- Jia, L.; Ren, X.; Hou, H.; Zhang, Y. Microstructural evolution and superplastic deformation mechanisms of as-rolled 2A97 alloy at low-temperature. Mater. Sci. Eng. A. 2019, 759, 19–29. [Google Scholar] [CrossRef]
- Yu, X.; Zhao, Z.; Shi, D.; Dai, H.; Sun, J.; Dong, X. Enhanced High-Temperature Mechanical Properties of Al–Cu–Li Alloy through T1 Coarsening Inhibition and Ce-Containing Intermetallic Refinement. Materials 2019, 12, 1521. [Google Scholar] [CrossRef] [PubMed]
- Lei, X.; Saatchi, A.; Ghanbari, E.; Dang, R.; Li, W.; Wang, N.; Macdonald, D.D. Studies on Pitting Corrosion of Al-Cu-Li Alloys Part I: Effect of Li Addition by Microstructural, Electrochemical, In-situ, and Pit Depth Analysis. Materials 2019, 12, 1600. [Google Scholar] [CrossRef] [PubMed]
- Ghanbari, E.; Saatchi, A.; Lei, X.; Macdonald, D.D. Studies on Pitting Corrosion of Al-Cu-Li Alloys Part II: Breakdown Potential and Pit Initiation. Materials 2019, 12, 1786. [Google Scholar] [CrossRef] [PubMed]
- Häusler, I.; Kamachali, R.D.; Hetaba, W.; Skrotzki, B. Thickening of T1 Precipitates during Aging of a High Purity Al–4Cu–1Li–0.25Mn Alloy. Materials 2019, 12, 30. [Google Scholar] [CrossRef] [PubMed]
- Tian, J.; Zhao, Y.; Hou, H.; Wang, B. The Effect of Alloying Elements on the Structural Stability, Mechanical Properties, and Debye Temperature of Al3Li: A First-Principles Study. Materials 2018, 11, 1471. [Google Scholar] [CrossRef] [PubMed]
- Yang, X.; Zhang, L.; Sobolev, S.; Du, Y. Kinetic Phase Diagrams of Ternary Al-Cu-Li System during Rapid Solidification: A Phase-Field Study. Materials 2018, 11, 260. [Google Scholar] [CrossRef] [PubMed]
- Pearson, C.E. The viscous properties of extruded eutectic alloys of lead-tin and bismuth-tin. J. Inst. Met. 1934, 54, 111–124. [Google Scholar]
- Backofen, W.A. Superplasticity in an Al-Zn Alloy. Trans Asm. 1964, 57, 980–990. [Google Scholar]
- Chokshi, A.H.; Mukherjee, A.K.; Langdon, T.G. Superplasticity in advanced materials. Mater. Sci. Eng. R. 1993, 10, 237–274. [Google Scholar] [CrossRef]
- Ashby, M.F.; Verrall, R.A. Diffusion-accommodated flow and superplasticity. Acta Metall. 1973, 21, 149–163. [Google Scholar] [CrossRef]
- Yakovtseva, O.A.; Mikhaylovskaya, A.V.; Levchenko, V.S.; Irzhak, A.V.; Portnoy, V.K. Study of the mechanisms of superplastic deformation in Al–Mg–Mn-based alloys. Phys. Met. Metallogr. 2015, 116, 908–916. [Google Scholar] [CrossRef]
- Mikhaylovskaya, A.V.; Yakovtseva, O.A.; Golovin, I.S.; Pozdniakov, A.V.; Portnoy, V.K. Superplastic deformation mechanisms in fine-grained Al–Mg based alloys. Mater. Sci. Eng. A. 2015, 627, 31–41. [Google Scholar] [CrossRef]
- Yakovtseva, O.A.; Mikhaylovskaya, A.V.; Mochugovskiy, A.G.; Cheverikin, V.; Portnoy, V.K. Superplastic Deformation Mechanisms in High Magnesium Contenting Aluminum Alloy. Mater. Sci. Forum. 2016, 838–839, 66–71. [Google Scholar] [CrossRef]
- Sotoudeh, K.; Bate, P.S. Diffusion creep and superplasticity in aluminium alloys. Acta Mater. 2010, 58, 1909–1920. [Google Scholar] [CrossRef]
- Sotoudeh, K.; Ridley, N.; Humphreys, F.; Bate, P.S. Superplasticity and microstructural evolution in aluminium alloys. Materialwiss. Werkstofftech. 2012, 43, 794–798. [Google Scholar] [CrossRef]
- Rust, M.A.; Todd, R.I. Surface studies of Region II superplasticity of AA5083 in shear: Confirmation of diffusion creep, grain neighbour switching and absence of dislocation activity. Acta Mater. 2011, 59, 5159–5170. [Google Scholar] [CrossRef]
- Hotz, W.; Ruedl, E.; Schiller, P. Observation of processes of superplasticity with the scanning electron microscope. J. Mater. Sci. 1975, 10, 2003–2006. [Google Scholar] [CrossRef]
- Vastava, R.B.; Langdon, T.G. An investigation of intercrystalline and interphase boundary sliding in the superplastic Pb-62% Sn eutectic. Acta Metall. 1979, 27, 251–257. [Google Scholar] [CrossRef]
- Rust, M.A.; Todd, R.I. High Resolution Surface Studies of Superplastic Deformation. Mater. Sci. Forum. 2007, 551, 615–620. [Google Scholar] [CrossRef]
- Rust, M.A.; Todd, R.I. High Resolution Surface Studies of Superplastic Deformation. Materialwiss. Werkstofftech. 2008, 39, 289–292. [Google Scholar] [CrossRef]
- Portnoy, V.K.; Novikov, I.I. Evaluation of grain boundary sliding contribution to the total strain during superplastic deformation. Scr. Mater. 1998, 40, 39–43. [Google Scholar] [CrossRef]
- Pérez-Prado, M.T.; González-Doncel, G.; Ruano, O.A.; McNelley, T.R. Texture analysis of the transition from slip to grain boundary sliding in a discontinuously recrystallized superplastic aluminum alloy. Acta Mater. 2001, 49, 2259–2268. [Google Scholar] [CrossRef]
- Mikhaylovskaya, A.V.; Yakovtseva, O.A.; Sitkina, M.N.; Kotov, A.D.; Irzhak, A.V.; Krymskiy, S.V.; Portnoy, V.K. Comparison between superplastic deformation mechanisms at primary and steady stages of the fine grain AA7475 aluminium alloy. Mater. Sci. Eng. A. 2018, 718, 277–286. [Google Scholar] [CrossRef]
- Novikov, I.I.; Portnoy, V.K.; Titov, A.O.; Belov, D.Y. Dynamic recrystallization at superplastic deformation of duralumin with initial recrystallized structure. Scr. Mater. 2000, 42, 899–904. [Google Scholar] [CrossRef]
- Mikhaylovskaya, A.V.; Yakovtseva, O.A.; Cheverikin, V.V.; Kotov, A.D.; Portnoy, V.K. Superplastic behaviour of Al-Mg-Zn-Zr-Sc-based alloys at high strain rates. Mater. Sci. Eng. A. 2016, 659, 225–233. [Google Scholar] [CrossRef]
- Nikiforov, A.O.; Levchenko, V.S.; Novikov, I.I.; Portnoy, V.K. Superplastic-Like Behaviour of Coarse-Grained Single Phase Aluminium Alloys. Mater. Sci. Forum. 1994, 170, 71–76. [Google Scholar] [CrossRef]
- Zaki, H. Indentation Creep Behavior and Microstructure of Cu-Ge Ferrites. Mater. Sci. Appl. 2011, 2, 1076–1082. [Google Scholar] [CrossRef][Green Version]
- Coble, R.L. A Model of Boundary Diffusion Creep in Polycrystalline Materials. J. Appl. Phys. 1963, 34, 1679–1682. [Google Scholar] [CrossRef]








| Cu | Li | Mg | Ag | Mn | Zr | Ti | Zn | Fe | Si | Al |
|---|---|---|---|---|---|---|---|---|---|---|
| 3.24 | 0.83 | 0.32 | 0.35 | 0.38 | 0.083 | 0.038 | 0.053 | 0.045 | 0.053 | bal. |
| True Strain | Longitudinal Strain ε, % | Intragranular Dislocation Slip | Transverse Strain εtr, % | Grain Boundary Sliding | ||
|---|---|---|---|---|---|---|
| IDS Strain εIDS, % | Contribution to Total Strain γGBS, % | GBS Strain , % | Contribution to Total Strain γGBS, % | |||
| 0.18 | 19.6 | 0.40 ± 0.17 | 2.0 | 9.1 | 3.11 ± 0.58 | 34.0 |
| 0.36 | 44.0 | 1.13 ± 0.84 | 2.6 | 15.3 | 5.09 ± 1.04 | 33.4 |
| 0.54 | 71.3 | 2.44 ± 1.69 | 3.4 | 21.8 | 6.77 ± 1.17 | 31.0 |
| 0.54 + 0.17 | 18.9 | 1.16 ± 0.75 | 6.1 | 9.0 | 2.50 ± 0.69 | 27.7 |
| 0.54 + 0.35 | 41.5 | 2.50 ± 1.19 | 6.0 | 16.1 | 4.29 ± 1.78 | 26.7 |
| 0.54 + 0.55 | 72.8 | 3.66 ± 2.54 | 5.0 | 22.2 | 5.81 ± 2.23 | 26.2 |
© 2020 by the authors. Licensee MDPI, Basel, Switzerland. This article is an open access article distributed under the terms and conditions of the Creative Commons Attribution (CC BY) license (http://creativecommons.org/licenses/by/4.0/).
Share and Cite
Li, H.; Liu, X.; Sun, Q.; Ye, L.; Zhang, X. Superplastic Deformation Mechanisms in Fine-Grained 2050 Al-Cu-Li Alloys. Materials 2020, 13, 2705. https://doi.org/10.3390/ma13122705
Li H, Liu X, Sun Q, Ye L, Zhang X. Superplastic Deformation Mechanisms in Fine-Grained 2050 Al-Cu-Li Alloys. Materials. 2020; 13(12):2705. https://doi.org/10.3390/ma13122705
Chicago/Turabian StyleLi, Hongping, Xiaodong Liu, Quan Sun, Lingying Ye, and Xinming Zhang. 2020. "Superplastic Deformation Mechanisms in Fine-Grained 2050 Al-Cu-Li Alloys" Materials 13, no. 12: 2705. https://doi.org/10.3390/ma13122705
APA StyleLi, H., Liu, X., Sun, Q., Ye, L., & Zhang, X. (2020). Superplastic Deformation Mechanisms in Fine-Grained 2050 Al-Cu-Li Alloys. Materials, 13(12), 2705. https://doi.org/10.3390/ma13122705

