Influence of Impact Velocity on the Residual Stress, Tensile Strength, and Structural Properties of an Explosively Welded Composite Plate
Abstract
1. Introduction
2. Experiment
2.1. Materials in As-Delivered Condition
2.2. Explosive Welding Process
2.3. Residual Stress Estimation
2.4. Structural Properties
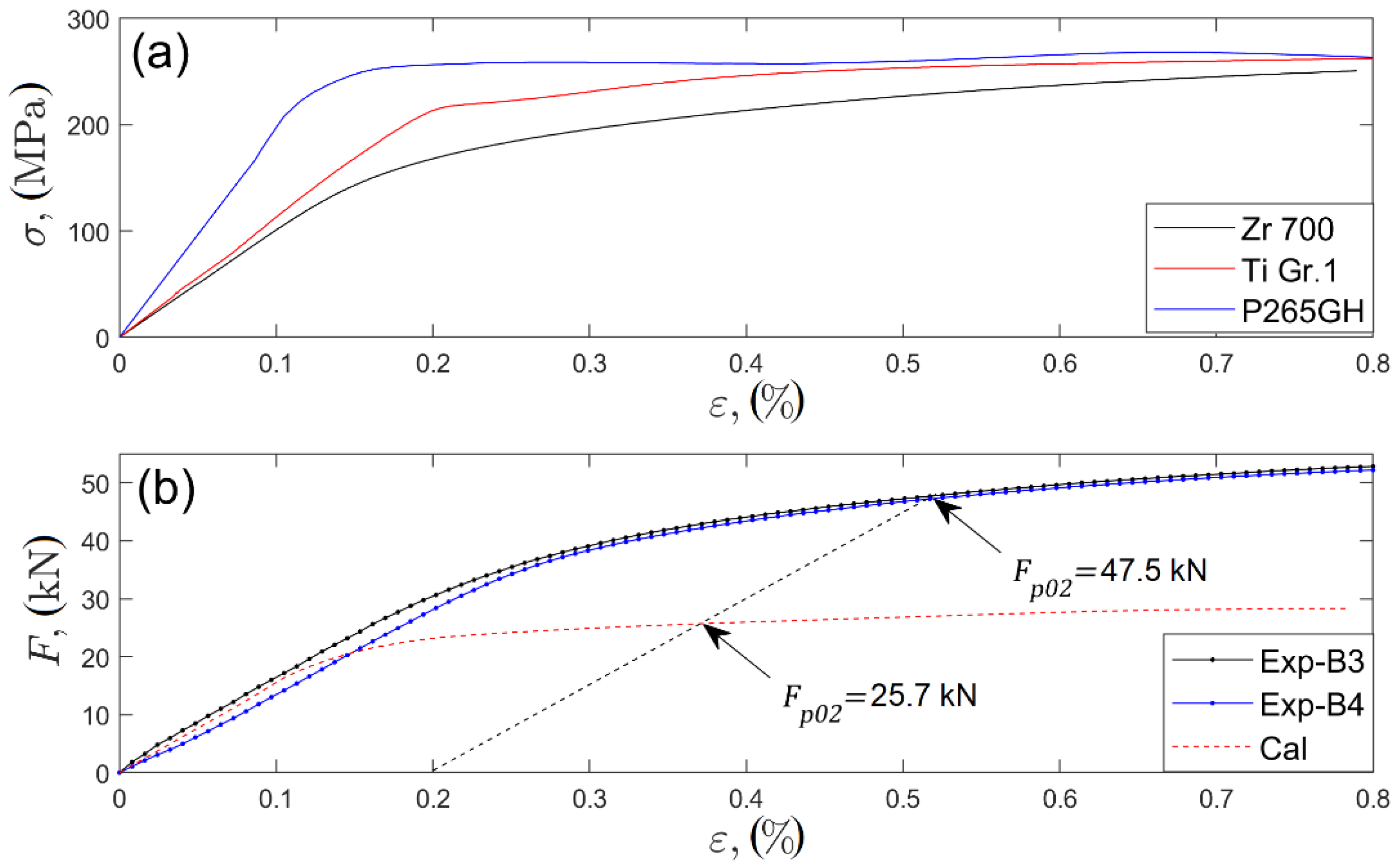
2.5. Mechanical Test
3. Calculation, Results, and Discussion
3.1. Residual Stresses
3.2. Structural Properties
3.3. Mechanical Test
4. Conclusions
- The compressive residual stress, which was initially present in the Zr 700 flyer plate, decreased in the explosive welding process, resulting in a tensile type with an increase in impact velocity.
- To protect the composite plate from stress-based corrosion cracking, a lower value of the impact velocity is recommended.
- The experimental yield force of composite specimens is around 85% higher than the yield force of combined properties of materials in the as-delivered condition.
- The experimentally estimated residual stresses could be used to verify the numerical method applied in modeling of the explosive welding process.
- In addition, a simple model based on microhardness measurement for yield force prediction of the composite plate was proposed. However, the model needs further verification.
Author Contributions
Funding
Acknowledgments
Conflicts of Interest
References
- Wang, H.; Wang, Y. High-Velocity Impact Welding Process: A Review. Metals 2019, 9, 144. [Google Scholar] [CrossRef]
- Findik, F. Recent developments in explosive welding. Mater. Des. 2011, 32, 1081–1093. [Google Scholar] [CrossRef]
- Blazynski, T.Z. Explosive Welding, Forming and Compaction; Blazynski, T.Z., Ed.; Applied Science Publishers Ltd.: London, UK; New York, NY, USA, 1983; ISBN 9789401197533. [Google Scholar]
- Kaya, Y. Microstructural, Mechanical and Corrosion Investigations of Ship Steel-Aluminum Bimetal Composites Produced by Explosive Welding. Metals 2018, 8, 544. [Google Scholar] [CrossRef]
- Wachowski, M.; Kosturek, R.; Śnieżek, L.; Mróz, S.; Stefanik, A.; Szota, P. The Effect of Post-Weld Hot-Rolling on the Properties of Explosively Welded Mg/Al/Ti Multilayer Composite. Materials 2020, 13, 1930. [Google Scholar] [CrossRef] [PubMed]
- Kaya, Y. Investigation of Copper-Aluminium Composite Materials Produced by Explosive Welding. Metals 2018, 8, 780. [Google Scholar] [CrossRef]
- Paul, H.; Skuza, W.; Chulist, R.; Miszczyk, M.; Gałka, A.; Prażmowski, M.; Pstruś, J. The Effect of Interface Morphology on the Electro-Mechanical Properties of Ti/Cu Clad Composites Produced by Explosive Welding. Met. Mater. Trans. A 2019, 51, 750–766. [Google Scholar] [CrossRef]
- Wachowski, M.; Gloc, M.; Ślęzak, T.; Plocinski, T.; Kurzydłowski, K.J. The Effect of Heat Treatment on the Microstructure and Properties of Explosively Welded Titanium-Steel Plates. J. Mater. Eng. Perform. 2017, 26, 945–954. [Google Scholar] [CrossRef]
- Kim, J.-G.; Park, J.; An, B.-S.; Lee, Y.H.; Yang, C.-W.; Kim, J.-G. Investigation of Zirconium Effect on the Corrosion Resistance of Aluminum Alloy Using Electrochemical Methods and Numerical Simulation in an Acidified Synthetic Sea Salt Solution. Materials 2018, 11, 1982. [Google Scholar] [CrossRef]
- Banker, J.G.; Barberis, P.; Dean, S.W. Explosion Cladding: An Enabling Technology for Zirconium in the Chemical Process Industry. J. ASTM Int. 2010, 7, 103050. [Google Scholar] [CrossRef]
- Zhou, Q.; Feng, J.; Chen, P. Numerical and Experimental Studies on the Explosive Welding of Tungsten Foil to Copper. Materials 2017, 10, 984. [Google Scholar] [CrossRef]
- Samardžić, I.; Kožuh, Z.; Mateša, B. Structural analysis of three-metal explosion joint: Zirconium-titanium- steel. Metalurgija 2010, 49, 119–122. [Google Scholar]
- Kalavathi, V.; Bhuyan, R.K. A detailed study on zirconium and its applications in manufacturing process with combinations of other metals, oxides and alloys—A review. Mater. Today Proc. 2019, 19, 781–786. [Google Scholar] [CrossRef]
- Prasanthi, T.; Sudha, R.C.; Saroja, S. Explosive cladding and post-weld heat treatment of mild steel and titanium. Mater. Des. 2016, 93, 180–193. [Google Scholar] [CrossRef]
- Manikandan, P.; Hokamoto, K.; Raghukandan, K.; Chiba, A.; Deribas, A.A. The effect of experimental parameters on the explosive welding of Ti and stainless steel. Sci. Technol. Energ. Mater. 2005, 66, 370–374. [Google Scholar]
- Karolczuk, A.; Kowalski, M.; Kluger, K.; Zok, F. Identification of Residual Stress Phenomena Based on the Hole Drilling Method in Explosively Welded Steel-Titanium Composite. Arch. Met. Mater. 2014, 59, 1119–1123. [Google Scholar] [CrossRef]
- Karolczuk, A.; Paul, H.; Szulc, Z.; Kluger, K.; Najwer, M.; Kwiatkowski, G. Residual Stresses in Explosively Welded Plates Made of Titanium Grade 12 and Steel with Interlayer. J. Mater. Eng. Perform. 2018, 27, 4571–4581. [Google Scholar] [CrossRef]
- Lavigne, O.; Kotousov, A.; Luzin, V. Microstructural, Mechanical, Texture and Residual Stress Characterizations of X52 Pipeline Steel. Metals 2017, 7, 306. [Google Scholar] [CrossRef]
- Ghosh, S.; Rana, V.P.S.; Kain, V.; Mittal, V.; Baveja, S. Role of residual stresses induced by industrial fabrication on stress corrosion cracking susceptibility of austenitic stainless steel. Mater. Des. 2011, 32, 3823–3831. [Google Scholar] [CrossRef]
- Wu, H.; Li, C.; Fang, K.; Zhang, W.; Xue, F.; Zhang, G.; Wang, X. Effect of residual stress on the stress corrosion cracking in boiling magnesium chloride solution of austenite stainless steel. Mater. Corros. 2018, 69, 1572–1583. [Google Scholar] [CrossRef]
- Nagano, H.; Kajimura, H.; Yamanaka, K. Corrosion resistance of zirconium and zirconium-titanium alloy in hot nitric acid. Mater. Sci. Eng. A 1995, 198, 127–134. [Google Scholar] [CrossRef]
- Yamamoto, M.; Kato, C.; Ishijima, Y.; Kano, Y.; Ebina, T. Stress Corrosion Cracking of Zirconium in Boiling Nitric Acid Solution at Potentiostatic Condition. ECS Trans. 2009, 16, 101–108. [Google Scholar] [CrossRef]
- Ishijima, Y.; Kato, C.; Motooka, T.; Yamamoto, M.; Kano, Y.; Ebina, T. Stress Corrosion Cracking Behavior of Zirconium in Boiling Nitric Acid Solutions at Oxide Formation Potentials. Mater. Trans. 2013, 54, 1001–1005. [Google Scholar] [CrossRef]
- Beavers, J.A.; Griess, J.C.; Boyd, W. Stress corrosion cracking of zirconium in hot nitric acid. Corrosion 1981, 37, 292–297. [Google Scholar] [CrossRef]
- Cox, B. Environmentally-induced cracking of zirconium alloys—A review. J. Nucl. Mater. 1990, 170, 1–23. [Google Scholar] [CrossRef]
- Sedighi, M.; Honarpisheh, M. Experimental study of through-depth residual stress in explosive welded Al–Cu–Al multilayer. Mater. Des. 2012, 37, 577–581. [Google Scholar] [CrossRef]
- Sedighi, M.; Honarpisheh, M. Investigation of cold rolling influence on near surface residual stress distrubution in explosive welded multilayer. Strength Mater. 2012, 44, 693–698. [Google Scholar] [CrossRef]
- Yasheng, W.; Hongneng, C.; Ninxu, M. Measurement of residual stresses in a multi-layer explosive welded joint with successive milling technique. Strain 1999, 35, 7–10. [Google Scholar] [CrossRef]
- Varavallo, R.; Moreira, V.D.M.; Paes, V.; Brito, P.; Olivas, J.; Pinto, H.C. Residual Stresses of Explosion Cladded Composite Plates of ZERON 100 Superduplex Stainless Steel and ASTM SA516-70 Carbon Steel. Adv. Mater. Res. 2014, 996, 500–505. [Google Scholar] [CrossRef]
- Mateša, B.; Kozak, D.; Stoić, I.; Samardžić, I. The influence of heat treatment by annealing on clad plates residual stresses. Metalurgija 2012, 51, 229–232. [Google Scholar]
- Karolczuk, A.; Kluger, K.; Kowalski, M.; Żok, F.; Robak, G. Residual Stresses in Steel-Titanium Composite Manufactured by Explosive Welding. Mater. Sci. Forum 2012, 726, 125–132. [Google Scholar] [CrossRef]
- Taran, Y.; Balagurov, A.M.; Sabirov, B.M.; Evans, A.; Davydov, V.; Venter, A.M. Residual stresses in a stainless steel—titanium alloy joint made with the explosive technique. J. Phys. Conf. Ser. 2012, 340, 012105. [Google Scholar] [CrossRef]
- Mateša, B.; Kožuh, Z.; Dunđer, M.; Samardzic, I. Determination of clad plates residual stresses by x-ray diffraction method. Teh. Vjesn. Tech. Gaz. 2015, 22, 1533–1538. [Google Scholar] [CrossRef]
- ASTM E837—13a Standard Test. Method for Determining Residual Stresses by the Hole-Drilling Strain-Gage Method; ASTM International: West Conshohocken, PA, USA, 2013. [Google Scholar]
- Prazmowski, M.; Paul, H. Experimental investigations of the bonding zone in the explosive welding of a differently structured steel-zirconium platers. J. Mach. Eng. 2019, 19, 99–110. [Google Scholar] [CrossRef]
- Tete, A.D.; Deshmukh, A.; Yerpude, R. Velocity of detonation (VOD) measurement techniques—Practical approach. Int. J. Eng. Technol. 2013, 2, 259–265. [Google Scholar] [CrossRef]
- Deribas, A.A. Acceleration of metal plates by a tangential detonation wave. J. Appl. Mech. Tech. Phys. 2000, 41, 824–830. [Google Scholar] [CrossRef]
- Manikandan, P.; Hokamoto, K.; Deribas, A.A.; Raghukandan, K.; Tomoshige, R. Explosive Welding of Titanium/Stainless Steel by Controlling Energetic Conditions. Mater. Trans. 2006, 47, 2049–2055. [Google Scholar] [CrossRef]
- ASTM International. A578M-17 AA Standard Specification for Straight-Beam Ultrasonic Examination of Rolled Steel Plates; ASTM International: West Conshohocken, PA, USA, 2010; Volume 1, pp. 1–5. [Google Scholar]
- Nau, A.; Scholtes, B. Evaluation of the High-Speed Drilling Technique for the Incremental Hole-Drilling Method. Exp. Mech. 2012, 53, 531–542. [Google Scholar] [CrossRef]
- Sun, Z.; Shi, C.; Xu, F.; Feng, K.; Zhou, C.; Wu, X. Detonation process analysis and interface morphology distribution of double vertical explosive welding by SPH 2D/3D numerical simulation and experiment. Mater. Des. 2020, 191, 108630. [Google Scholar] [CrossRef]
- Sun, Z.; Shi, C.; Fang, Z.; Shi, H. A dynamic study of effect of multiple parameters on interface characteristic in double-vertical explosive welding. Mater. Res. Express 2020, 7, 016541. [Google Scholar] [CrossRef]
- Greenberg, B.A.; Ivanov, M.A.; Inozemtsev, A.V.; Pushkin, M.S.; Patselov, A.M.; Besshaposhnikov, Y.R. Comparative characterisation of interfaces for two- and multi-layered Cu-Ta explosively welded composites. Compos. Interfaces 2019, 27, 705–715. [Google Scholar] [CrossRef]
- Karolczuk, A.; Kowalski, M.; Bański, R.; Żok, F. Fatigue phenomena in explosively welded steel–titanium clad components subjected to push–pull loading. Int. J. Fatigue 2013, 48, 101–108. [Google Scholar] [CrossRef]
- Prażmowski, M.; Paul, H.; Zok, F. The Effect of Heat Treatment on the Properties of Zirconium—Carbon Steel Bimetal Produced By Explosion Welding. Arch. Met. Mater. 2014, 59, 1143–1149. [Google Scholar] [CrossRef]
- Scafidi, M.; Valentini, E.; Zuccarello, B. Error and Uncertainty Analysis of the Residual Stresses Computed by Using the Hole Drilling Method. Strain 2010, 47, 301–312. [Google Scholar] [CrossRef]
- Boroński, D.; Kotyk, M.; Maćkowiak, P.; Śnieżek, L. Mechanical properties of explosively welded AA2519-AA1050-Ti6Al4V layered material at ambient and cryogenic conditions. Mater. Des. 2017, 133, 390–403. [Google Scholar] [CrossRef]
- Pavlina, E.J.; Van Tyne, C.; Van Tyne, C. Correlation of Yield Strength and Tensile Strength with Hardness for Steels. J. Mater. Eng. Perform. 2008, 17, 888–893. [Google Scholar] [CrossRef]
- Busby, J.T.; Hash, M.C.; Was, G.S. The relationship between hardness and yield stress in irradiated austenitic and ferritic steels. J. Nucl. Mater. 2005, 336, 267–278. [Google Scholar] [CrossRef]
- Cahoon, J.R.; Broughton, W.H.; Kutzak, A.R. The determination of yield strength from hardness measurements. Met. Trans. 1971, 2, 1979–1983. [Google Scholar]
- Lodh, A.; Pant, P.; Kumar, G.; Krishna, K.V.M.; Tewari, R.; Samajdar, I. Orientation-dependent solid solution strengthening in zirconium: A nanoindentation study. J. Mater. Sci. 2019, 55, 4493–4503. [Google Scholar] [CrossRef]
- Bataev, A.; Tanaka, S.; Zhou, Q.; Lazurenko, D.V.; Jorge, A.M.; Bataev, A.; Hokamoto, K.; Mori, A.; Chen, P. Towards better understanding of explosive welding by combination of numerical simulation and experimental study. Mater. Des. 2019, 169, 107649. [Google Scholar] [CrossRef]
- Zhang, Z.L.; Feng, D.L.; Liu, M. Investigation of explosive welding through whole process modeling using a density adaptive SPH method. J. Manuf. Process. 2018, 35, 169–189. [Google Scholar] [CrossRef]
- Feng, J.; Chen, P.; Zhou, Q.; Dai, K.; An, E.; Yuan, Y. Numerical simulation of explosive welding using Smoothed Particle Hydrodynamics method. Int. J. Multiphys. 2017, 11, 315–325. [Google Scholar] [CrossRef]
- Mahmood, Y.; Dai, K.; Chen, P.; Zhou, Q.; Bhatti, A.; Arab, A. Experimental and Numerical Study on Microstructure and Mechanical Properties of Ti-6Al-4V/Al-1060 Explosive Welding. Metals 2019, 9, 1189. [Google Scholar] [CrossRef]
- Yang, Y.; Wang, B.; Hu, B.; Hu, K.; Li, Z. The collective behavior and spacing of adiabatic shear bands in the explosive cladding plate interface. Mater. Sci. Eng. A 2005, 398, 291–296. [Google Scholar] [CrossRef]
- Gloc, M.; Wachowski, M.; Plocinski, T.; Kurzydlowski, K.J. Microstructural and microanalysis investigations of bond titanium grade1/low alloy steel st52-3N obtained by explosive welding. J. Alloy. Compd. 2016, 671, 446–451. [Google Scholar] [CrossRef]












| Materials | Chemical Composition (wt %) | |||||||||||
|---|---|---|---|---|---|---|---|---|---|---|---|---|
| P265GH | Mn 0.959 | Si 0.260 | C 0.147 | Al 0.051 | Ni 0.030 | Cr 0.022 | P 0.011 | Nb 0.008 | S 0.006 | Mo 0.005 | N 0.004 | Fe Balance |
| Zr 700 | O 0.067 | Fe 0.060 | C 0.004 | N <0.002 | H <0.0003 | Zr + Hf Balance | ||||||
| Ti Gr. 1 | O 0.070 | F 0.020 | C 0.020 | N <0.010 | H 0.010 | Ti Balance | ||||||
| Material | |||||
|---|---|---|---|---|---|
| Zr 700 | 101 | 0.38 | 216 | 269 | 35 |
| Ti Gr. 1 | 109 | 0.37 | 251 | 325 | 46 |
| P265GH | 193 | 0.29 | 268 | 391 | 41 |
| Plate | Flyer | Thickness, | Detonation Velocity, | Stand-off Distance, | Impact Velocity |
|---|---|---|---|---|---|
| B3 | Zr 700 | 10 | 2500 | 10 | 425 |
| B4 | Zr 700 | 10 | 2500 | 15 | 468 |
| Plate | ||||
|---|---|---|---|---|
| B3 | 47.4 | 55.5 | 11 | 134.6 |
| B4 | 47.5 | 54.9 | 14 | 136.6 |
© 2020 by the authors. Licensee MDPI, Basel, Switzerland. This article is an open access article distributed under the terms and conditions of the Creative Commons Attribution (CC BY) license (http://creativecommons.org/licenses/by/4.0/).
Share and Cite
Karolczuk, A.; Kluger, K.; Derda, S.; Prażmowski, M.; Paul, H. Influence of Impact Velocity on the Residual Stress, Tensile Strength, and Structural Properties of an Explosively Welded Composite Plate. Materials 2020, 13, 2686. https://doi.org/10.3390/ma13122686
Karolczuk A, Kluger K, Derda S, Prażmowski M, Paul H. Influence of Impact Velocity on the Residual Stress, Tensile Strength, and Structural Properties of an Explosively Welded Composite Plate. Materials. 2020; 13(12):2686. https://doi.org/10.3390/ma13122686
Chicago/Turabian StyleKarolczuk, Aleksander, Krzysztof Kluger, Szymon Derda, Mariusz Prażmowski, and Henryk Paul. 2020. "Influence of Impact Velocity on the Residual Stress, Tensile Strength, and Structural Properties of an Explosively Welded Composite Plate" Materials 13, no. 12: 2686. https://doi.org/10.3390/ma13122686
APA StyleKarolczuk, A., Kluger, K., Derda, S., Prażmowski, M., & Paul, H. (2020). Influence of Impact Velocity on the Residual Stress, Tensile Strength, and Structural Properties of an Explosively Welded Composite Plate. Materials, 13(12), 2686. https://doi.org/10.3390/ma13122686

