Villari Effect at Low Strain in Magnetoactive Materials
Abstract
1. Introduction
2. Materials and Methods
3. Results and Discussion
3.1. Influence of the Content of Reinforcement
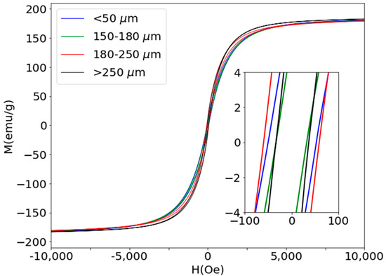
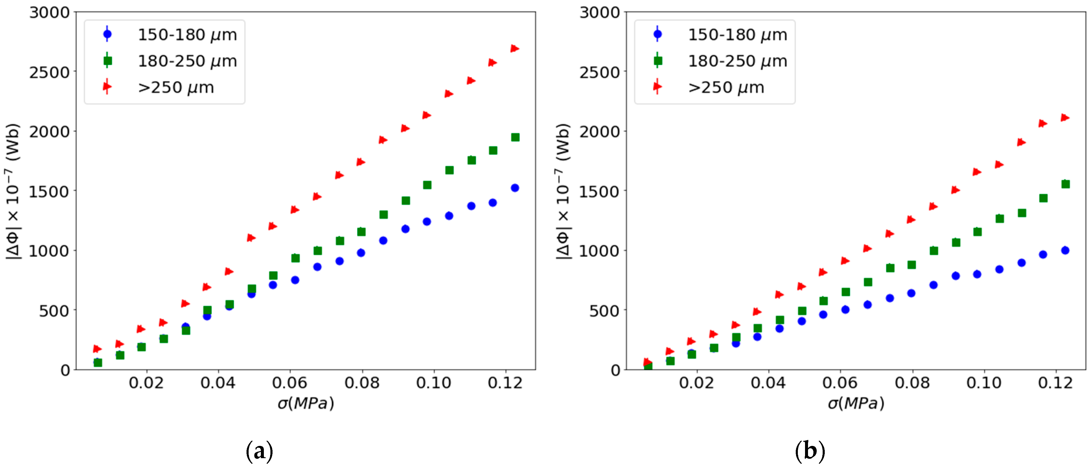
3.2. Influence of the Reinforcement Size
4. Conclusions
Author Contributions
Funding
Acknowledgments
Conflicts of Interest
References
- Belleli, A.; Spaggiari, A. Magneto-mechanical characterization of magnetorheological elastomers. J. Intell. Mater. Syst. Struct. 2019, 30, 2534–2543. [Google Scholar] [CrossRef]
- Zhou, G.Y.; Jiang, Z.Y. Deformation in magnetorheological elastomers and elastomer-ferromagnet composite driven by a magnetic field. Smart Mater. Struct. 2004, 13, 309–316. [Google Scholar] [CrossRef]
- Martin, J.E.; Anderson, R.A.; Read, D.; Culley, G. Magnetostriction of field structured magnetoelastomers. Phys. Rev. E 2006, 74, 051507. [Google Scholar] [CrossRef] [PubMed]
- Frashad, M.; Benine, A. Magnetoactive elastomer composites. Polym. Test. 2004, 23, 347–353. [Google Scholar] [CrossRef]
- Bednarek, S. The giant linear magnetostriction in elastic ferromagnetic composites within porous matrix. J. Magn. Magn. Mater. 2006, 301, 200–207. [Google Scholar] [CrossRef]
- Stepanov, G.V.; Borin, D.Y.; Raikher, Y.L.; Melenev, P.V.; Perov, N.S. Motion of ferroparticles inside the polymeric matrix in magnetoactive elastomers. J. Phys. Condens. Matter. 2008, 20, 204121. [Google Scholar] [CrossRef] [PubMed]
- Diguet, G.; Beaugnon, E.; Cavaillé, J.Y. From dipolar interactions of a random distribution of ferromagnetic particles to magnetostriction. J. Magn. Magn. Mater. 2009, 321, 396–401. [Google Scholar] [CrossRef]
- Kaleta, J.; Krolewicz, M.; Lewandowski, D. Magnetomechanical properties of anisotropic and isotropic magnetorheological composites with thermoplastic elastomer matrices. Smart. Mater. Struct. 2011, 20, 085006. [Google Scholar] [CrossRef]
- Musaddique, M.; Rafique, A.; Kandare, E.; Sprenger, S. Fiber-reinforced magneto-polymer matrix composites (FR-MPMCs)—A review. J. Mater. Res. 2017, 32, 1020–1046. [Google Scholar] [CrossRef]
- Riesgo, G.; Carrizo, J.; Elbaile, L.; Crespo, R.D.; Sepúlveda, R.; García, J.A. Magnetostrictive properties of FeAl/polyester and FeAl/silicone composites. Mater. Sci. Eng. B 2017, 215, 56–63. [Google Scholar] [CrossRef]
- Song, X.; Wang, W.; Yang, F.; Wang, G.; Rui, X. Study of the dynamic mechanical properties of magnetorhelogical elastomers based on natural rubber/thermoplastic elastomer hybrid matrix. Mater. Res. Express 2018, 5, 115705. [Google Scholar] [CrossRef]
- Lee, C.J.; Kwon, S.H.; Choi, H.J.; Chung, K.H.; Jung, J.H. Enhanced magnetorheological performance of carbonyl iron/natural rubber composite elastomer with gamma ferrite additive. Colloid. Polym. Sci. 2018, 296, 1609–1613. [Google Scholar] [CrossRef]
- Jolly, M.R.; Carlson, J.D.; Muñoz, B.C.; Bullions, T.A. The Magnetoviscoelastic Response of Elastomer Composites Consisting of Ferrous Particles Embedded in a Polymer Matrix. J. Intell. Mater. Syst. Struct. 1996, 7, 613–622. [Google Scholar]
- Carlson, J.D.; Jolly, M.R. MR fluid, foam and elastomer devices. Mechatronics 2000, 10, 555–569. [Google Scholar] [CrossRef]
- Koo, J.; Dawson, A.; Jung, H. Characterization of actuation properties of magnetorheological elastomers with embedded hard magnetic particles. J. Intell. Mater. Syst. Struct. 2012, 23, 1049–1054. [Google Scholar] [CrossRef]
- Kramarenko, E.Y.; Chertovich, A.V.; Stepanov, G.V.; Semisalova, A.S.; Makarova, L.A.; Perov, N.S.; Khokhlov, A.R. Magnetic and viscoelastic response of elastomers with hard magnetic filler. Smart Mater. 2015, 24, 035002. [Google Scholar] [CrossRef]
- Makarova, L.; Alekhina, Y.A.; Perov, N.S. Peculiarities of magnetic properties of magnetoactive elastomers with hard magnetic filler in crossed magnetic fields. J. Magn. Magn. Mat. 2017, 140, 30–32. [Google Scholar] [CrossRef]
- Li, Y.; Li, J.; Li, W.; Samali, B. Development and characterization of a magnetorheological elastomer based adaptive seismic isolation. Smart Mater. Struct. 2012, 22, 035005. [Google Scholar] [CrossRef]
- Lanotte, L.; Ausanio, G.; Gison, C.; Iannotti, V.; Luponio, C.; Luponio, C., Jr. State of the art and development trends of novel nanostructured elastomagnetic composites. J. Optoelectron. Adv. Mater. 2004, 6, 523–532. [Google Scholar]
- Lerner, A.A.; Cunefare, K.A. Adaptable Vibration Absorber Employing a Magnetorheological Elastomer with Variable Gap Length and Methods and Systems Therefore. U.S. Patent 7102474, 5 September 2006. [Google Scholar]
- Bica, I. Magnetoresistor sensor with magnetorheological elastomers. J. Ind. Eng. Chem. 2011, 17, 83–89. [Google Scholar] [CrossRef]
- Fuhrer, R.; Schumacher, C.M.; Zeltner, M.; Stark, W.J. Soft Iron/Silicon Composite Tubes for Magnetic Peristaltic Pumping: Frequency-Dependent Pressure and Volume Flow. Adv. Funct. Mater. 2013, 24, 3845–3849. [Google Scholar] [CrossRef]
- Zhou, Y.; Amirouche, F. An Electromagnetically-Actuated All-PDMS Valveless Micropump for Drug Delivery. Micromachines 2011, 2, 345. [Google Scholar] [CrossRef]
- Kin, C.-Y.; Xu, L.; Lee, E.-H.; Choa, Y.-H. Magnetic Silicone Composites with Uniform Nanoparticle Dispersion as a Biomedical Stent Coating for Hyperthermia. Adv. Polym. Tech. 2013, 32, E714–E723. [Google Scholar] [CrossRef]
- Nguyen, V.Q.; Ahmed, A.S.; Ramanujan, R.V. Morphing soft magnetic composites. Adv. Mater. 2012, 24, 4041. [Google Scholar] [CrossRef]
- Böse, H.; Rabindranath, R.; Ehrlich, J. Soft magnetorheological elastomers as new actuators for valves. J. Intell. Mater. Syst. Struct. 2012, 23, 989–994. [Google Scholar] [CrossRef]
- Chan, A.; Orme, R.P.; Frickerand, R.A.; Roach, P. Remote and local control of stimuli respon sivematerials for therapeutic applications. Adv. Drug Deliv. Rev. 2013, 65, 497–514. [Google Scholar] [CrossRef]
- Lallart, M.; Sebald, G.; Diguet, G.; Cavaillé, J.Y.; Nakano, M. Anisotropic magnetorheological elastomers for mechanical to electrical energy conversion. J. Appl. Phys. 2017, 122, 103902. [Google Scholar] [CrossRef]
- Diguet, G.; Sebald, G.; Nakano, M.; Lallart, M.; Cavaillé, J.Y. Magnetic particle chains embedded in elastic polymer matrix under pure transverse shear and energy conversion. J. Magn. Magn. Mater. 2019, 481, 39–49. [Google Scholar] [CrossRef]
- Lee, E.W. Magnetostriction and Magnetomechanical Effects. Rep. Prog. Phys. 1955, 18, 184–227. [Google Scholar] [CrossRef]
- García, N.; Hernando, A. Inverse magnetostrictive effect and spin-polarized scanning tunneling microscopy: a way to measure local surface magnetoelastic coupling. J. Magn. Magn. Mater. 1993, 118, 28–32. [Google Scholar] [CrossRef]
- Gazda, P.; Nowicki, M.; Szewczyk, R. Comparison of Stress-Impedance Effect in Amorphous Ribbons with Positive and Negative Magnetostriction. Materials 2019, 12, 275. [Google Scholar] [CrossRef]
- Bienkowski, A. Magnetoelastic Villari efect in Mn-Zn ferrites. J. Magn. Magn. Mater. 2000, 215–216, 231–233. [Google Scholar] [CrossRef]
- Szewczyka, R.; Bienkowski, A. Magnetoelastic Villari effect in high-permeability Mn–Zn ferrites and modeling of this effect. J. Magn. Magn. Mater. 2003, 254–255, 284–286. [Google Scholar] [CrossRef]
- Han, Y.; Mohla, A.; Huang, X.; Hong, W.; Faidley, L.E. Magnetostriction and Filed Stiffeningof magneto-Active Elastomers. Int. J. Appl. Mech. 2015, 7, 1550001. [Google Scholar] [CrossRef]
- Duenas, T.A.; Carman, G.P. Large magnetostrictive response of Terfenol-D resin composites. J. Appl. Phys. 2000, 87, 4696–4700. [Google Scholar] [CrossRef]
- Russkikh, G.S. Computational experimental studies on magnetoelastic effects in a metal filled elastomer. Procedia Eng. 2016, 152, 620–626. [Google Scholar] [CrossRef]
- Sebald, G.; Nakano, M.; Lallart, M.; Tian, T.; Diguet, G.; Cavaille, J.Y. Energy conversion in magneto-rheological elastomers. Sci. Technol. Adv. Mater. 2017, 18, 766–778. [Google Scholar] [CrossRef]
- Narita, F.; Katabira, K. Stress-Rate dependent output voltage for Fe29Co71magnetostrictive fiber/polymer composites: fabrication, experimental observation and theoretical prediction. Mater. Trans. 2017, 58, 302–304. [Google Scholar] [CrossRef]
- Callister, W.D. Materials Science and Engineering: An Introduction, 7th ed.; John Wiley & Sons, Inc.: New York, NY, USA, 2007; pp. 600–614. ISBN 13: 978-0-471-73696-7. [Google Scholar]
- Chen, Y.; Snyder, J.E.; Schwichtenberg, C.R.; Dennis, K.W.; Faltzgraf, D.K.; McCallum, R.W.; Jiles, D.C. Effect of the elastic modulus of the matrix on magnetostrictive strain in composites. Appl. Phys. Lett. 1999, 74, 1159–1161. [Google Scholar] [CrossRef]
- Zubarev, A.Y.; Borin, D.Y. Effect of particle concentration on ferrogel magneto deformation. J. Magn. Magn. Mater. 2015, 377, 373–377. [Google Scholar] [CrossRef]
- Filipcsei, G.; Zrínyi, M. Magneto deformation effects and the swelling of ferrogels in a uniform magnetic field. J. Phys.: Condens. Matter. 2010, 22, 276001. [Google Scholar] [CrossRef]
- Safronov, A.P.; Mikhnevich, E.A.; Lotfollahi, Z.; Blyakhman, F.A.; Sklyar, T.F.; Varga, A.L.; Medvedev, A.I.; Armas, S.F.; Kurlyandskaya, G.V. Polyacrylamide Ferrogels with Magnetite or Strontium Hexaferrite: Next Step in the Development of Soft Biomimetic Matter for Biosensor Applications. Sensors 2018, 18, 257. [Google Scholar] [CrossRef] [PubMed]
- Elhajjar, R.; Law, C.; Pegoretti, A. Magnetostrictive polymer composites: Recent advances in materials, structures and properties. Prog. Mater. Sci. 2018, 97, 204–229. [Google Scholar] [CrossRef]
- Riesgo, G.; Elbaile, L.; Carrizo, J.; García, G.; Crespo, R.D.; García, M.A.; Torres, Y.; García, J.A. Villari effect in silicone/FeGa composites. Bull. Mater. Sci. 2019, 42, 238. [Google Scholar] [CrossRef]
- Riesgo, G.; Elbaile, L.; Moriche, R.; Carrizo, J.; Crespo, R.D.; García, M.A.; Sepúlveda, R.; García, J.A.; Torres, Y. Influence of the remnant magnetization, size distribution and content of soft magnetic reinforcement in micro-mechanical behavior of polymer matrix composites. Polym. Test. 2019, 79, 106020. [Google Scholar] [CrossRef]
- Kurlyandskaya, G.V.; Safronov, A.P.; Bhagat, S.M.; Lofland, S.E.; Beketov, I.V.; Prieto, L.M. Tailoring functional properties of Ni nanoparticles-acrylic copolymer composites with different concentrations of magnetic filler. J. Appl. Phys. 2015, 117, 123917. [Google Scholar] [CrossRef]
- Oliver, W.C.; Pharr, G.M. Measurement of hardness and elastic modulus by instrumented indentation: advances in understanding and refinements to methodology. J. Mater. Res. 2004, 19, 3–20. [Google Scholar] [CrossRef]
- Sneddon, I.N. The relation between load and penetration in the axisymmetric Boussinesq problem for a punch of arbitrary profile. Int. J. Eng. Sci. 1965, 3, 47–57. [Google Scholar] [CrossRef]
- Oliver, W.C.; Pharr, G.M. An improved technique for determining hardness and elastic modulus using load and displacement sensing indentation experiments. J. Mater. Res. 1992, 7, 1564–1583. [Google Scholar] [CrossRef]
- Brown, W.F. Irreversible Magnetic Effects of Stress. Phys. Rev. 1949, 75, 147. [Google Scholar] [CrossRef]











| Particles Size (µm) | Weight Fraction (wt.%) | |
|---|---|---|
| Influence of reinforcement content | <50 | 45 |
| 65 | ||
| 75 | ||
| Influence of particles size | 150–180 | 60 |
| 180–250 | ||
| >250 |
| Size of the Particles (µm) | Hc (Oe) | Mr (emu/g) | Ms (emu/g) |
|---|---|---|---|
| <50 | 52 ± 1 | 9 ± 1 | 183 ± 1 |
| 150–180 | 32 ± 1 | 6 ± 1 | 183 ± 1 |
| 180–250 | 58 ± 1 | 13 ± 1 | 182 ± 1 |
| >250 | 33 ± 1 | 10 ± 1 | 184 ± 1 |
| Weight Fraction (wt.%) | Young’s Modulus (MPa) |
|---|---|
| 45 | 1.77 ± 0.03 |
| 65 | 3.33 ± 0.03 |
| 75 | 6.37 ± 0.03 |
| Particle Size (µm) | Young’s Modulus (MPa) |
|---|---|
| 150–180 | 2.59 ± 0.05 |
| 180–250 | 2.43 ± 0.04 |
| >250 | 1.05 ± 0.02 |
© 2020 by the authors. Licensee MDPI, Basel, Switzerland. This article is an open access article distributed under the terms and conditions of the Creative Commons Attribution (CC BY) license (http://creativecommons.org/licenses/by/4.0/).
Share and Cite
Riesgo, G.; Elbaile, L.; Carrizo, J.; Crespo, R.D.; García, M.Á.; Torres, Y.; García, J.Á. Villari Effect at Low Strain in Magnetoactive Materials. Materials 2020, 13, 2472. https://doi.org/10.3390/ma13112472
Riesgo G, Elbaile L, Carrizo J, Crespo RD, García MÁ, Torres Y, García JÁ. Villari Effect at Low Strain in Magnetoactive Materials. Materials. 2020; 13(11):2472. https://doi.org/10.3390/ma13112472
Chicago/Turabian StyleRiesgo, Graciela, Laura Elbaile, Javier Carrizo, Rosario Díaz Crespo, María Ángeles García, Yadir Torres, and José Ángel García. 2020. "Villari Effect at Low Strain in Magnetoactive Materials" Materials 13, no. 11: 2472. https://doi.org/10.3390/ma13112472
APA StyleRiesgo, G., Elbaile, L., Carrizo, J., Crespo, R. D., García, M. Á., Torres, Y., & García, J. Á. (2020). Villari Effect at Low Strain in Magnetoactive Materials. Materials, 13(11), 2472. https://doi.org/10.3390/ma13112472

