Areal Surface Roughness of AZ31B Magnesium Alloy Processed by Dry Face Turning: An Experimental Framework Combined with Regression Analysis
Abstract
1. Introduction
2. Materials and Methods
2.1. Workpiece Materials and Cutting Tools
2.2. Machining Process and Experiment Design
2.3. Areal Surface Roughness Measurement
2.4. Multiple Linear Regression
3. Results and Discussion
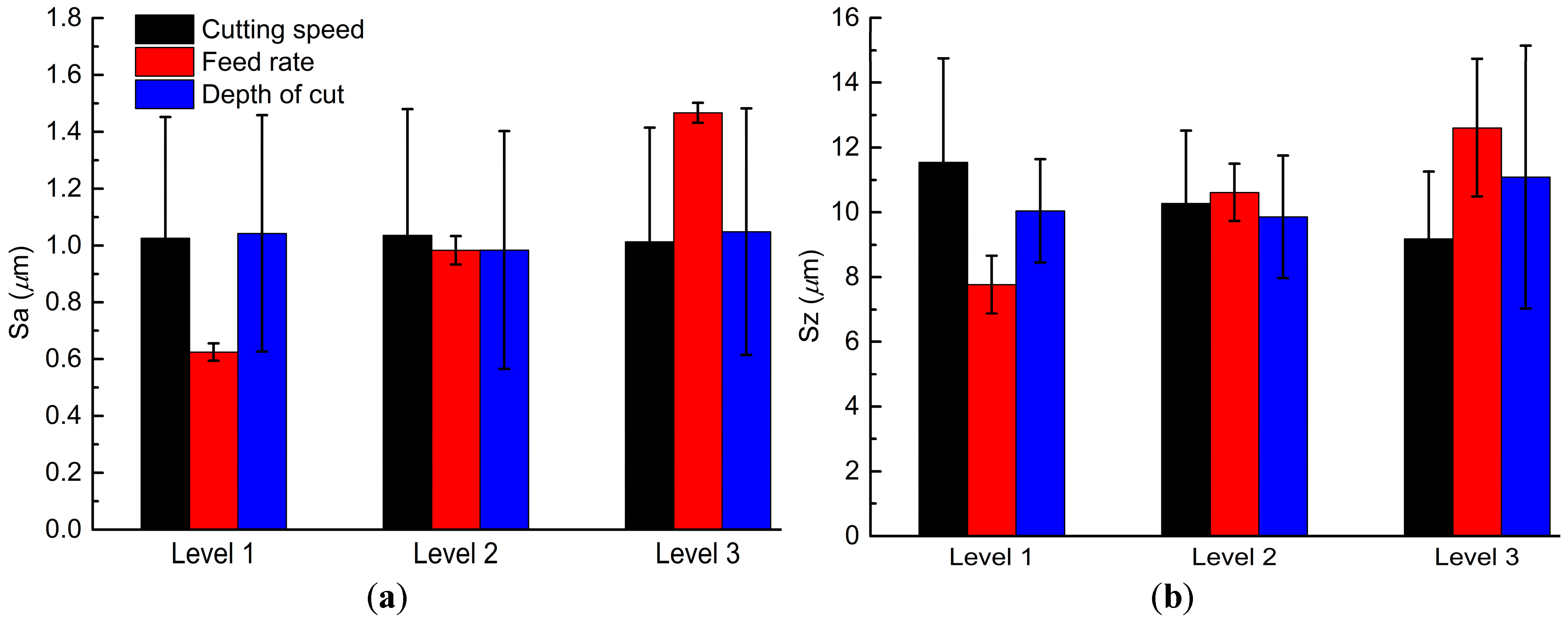
3.1. Direct Analysis and Range Analysis
3.2. ANOVA Analysis
3.3. Regression Model of Sa
3.4. Verification Experiment
4. Conclusions
Author Contributions
Funding
Acknowledgments
Conflicts of Interest
References
- Gray, J.E.; Luan, B. Protective coatings on magnesium and its alloys-a critical review. J. Alloys Compd. 2002, 336, 88–113. [Google Scholar] [CrossRef]
- Wu, C.S.; Zhang, Z.; Gao, F.H.; Zhang, L.J.; Zhang, J.Q.; Cao, C.N. Study on the anodizing of AZ31 magnesium alloys in alkaline borate solutions. Appl. Surf. Sci. 2007, 253, 3893–3898. [Google Scholar] [CrossRef]
- Han, H.S.; Loffredo, S.; Jun, I.; Edwards, J.; Kim, Y.C.; Seok, H.K.; Witte, F.; Mantovani, D.; Glyn-Jones, S. Current status and outlook on the clinical translation of biodegradable metals. Mater. Today 2019, 23, 57–71. [Google Scholar] [CrossRef]
- Alvarez-lopez, M.; Pereda, M.D.; del Valle, J.A.; Fernandez-Lorenzo, M.; Garcia-Alonso, M.C.; Ruano, O.A.; Escudero, M.L. Corrosion behaviour of AZ31 magnesium alloy with different grain sizes in simulated biological fluids. Acta Biomater. 2010, 6, 1763–1771. [Google Scholar] [CrossRef]
- Hou, X.N.; Qin, H.F.; Gao, H.Y.; Mankoci, S.; Zhang, R.X.; Zhou, X.F.; Ren, Z.C.; Doll, G.L.; Martini, A.; Sahai, N.; et al. A systematic study of mechanical properties, corrosion behavior and biocompatibility of AZ31B Mg alloy after ultrasonic nanocrystal surface modification. Mater. Sci. Eng. C 2017, 78, 1061–1071. [Google Scholar] [CrossRef]
- Tönshoff, H.K.; Friemuth, T.; Winkler, J.; Podolsky, C. Improving the characteristics of magnesium work pieces by burnishing operations. Magnes. Alloys Appl. 2006, 406–411. [Google Scholar] [CrossRef]
- Pedersen, W.; Ramulu, M. Facing SiCp/Mg metal matric composites with carbide tools. J. Mater. Process. Technol. 2006, 172, 417–423. [Google Scholar] [CrossRef]
- Yao, C.; Ma, L.; Du, Y.; Ren, J.; Zhang, D. Surface integrity and fatigue behavior in shot-peening for high speed milled 7055 aluminum alloy. Proc. IMechE Part B J. Eng. Manuf. 2015, 1, 1–14. [Google Scholar] [CrossRef]
- Schulze, V.; Bleicher, F.; Groche, P.; Guo, Y.B.; Pyun, Y.S. Surface modification by machine hammer peening and burnishing. CIRP Ann. Manuf. Technol. 2016, 65, 809–832. [Google Scholar] [CrossRef]
- Li, P.G.; Zhai, Y.F.; Huang, S.K.; Wang, Q.D.; Fu, W.P.; Yang, H.P. Investigation of the contact performance of machined surface morphology. Tribol. Int. 2017, 107, 125–134. [Google Scholar] [CrossRef]
- Niemczewska-Wójcik, M.; Piekoszewski, W. The surface texture and its influence on the tribological characteristics of a friction pair: Metal-polymer. Arch. Civ. Mech. Eng. 2017, 17, 344–353. [Google Scholar] [CrossRef]
- Salahshoor, M.; Guo, Y.B. Surface integrity of magnesium-calcium implants processed by synergistic dry cutting-finish burnishing. Procedia Eng. 2011, 19, 288–293. [Google Scholar] [CrossRef]
- Suneesh, E.; Sivapragash, M. Parameter optimisation to combine low energy consumption with high surface integrity in turning Mg/Al2O3 hybrid composites under dry and MQL conditions. J. Braz. Soc. Mech. Sci. 2019, 41, 89. [Google Scholar] [CrossRef]
- Akhyar, G.; Purnomo, B.; Hamni, A.; Harun, S.; Burhanuddin, Y. The machined surface of magnesium AZ31 after rotary turning at air cooling condition. In Proceedings of the 3rd International Conference on Science, Technology, and Interdisciplinary Research (IC-STAR), University of Lampung, Indonesia, 18–20 September 2017. [Google Scholar]
- Uddin, M.S.; Rosman, H.; Hall, C.; Murphy, P. Enhancing the corrosion resistance of biodegradable Mg-based alloy by machining-induced surface integrity: Influence of machining parameters on surface roughness and hardness. Int. J. Adv. Manuf. Technol. 2016, 90, 2095–2108. [Google Scholar] [CrossRef]
- Soady, K.A.; Mellor, B.G.; Shackleton, J.; Morris, A.; Reed, P.A.S. The effect of shot peening on notched low cycle fatigue. Mater. Sci. Eng. A 2011, 528, 8579–8588. [Google Scholar] [CrossRef]
- Denkena, B.; Lucas, A. Biocompatible magnesium alloys as absorbable implant materials-adjusted surface and subsurface properties by machining processes. CIRP Ann. Manuf. Technol. 2007, 56, 113–116. [Google Scholar] [CrossRef]
- Mustea, G.; Brabie, G. Influence of cutting parameters on the surface quality of round parts made from AZ61 magnesium alloy and machined by turning. Adv. Mater. Res. 2014, 837, 128–134. [Google Scholar] [CrossRef]
- Wojtowicz, N.; Danis, I.; Monies, F.; Lamesle, P.; Chieragati, R. The influence of cutting conditions on surface integrity of a wrought magnesium alloy. Procedia Eng. 2013, 63, 20–28. [Google Scholar] [CrossRef]
- Villeta, M.; Agustina, B.; Pipaón, J.M.S.; Rubio, E.M. Efficient optimisation of machining processes based on technical specifications for surface roughness application to magnesium pieces in the aerospace industry. Int. J. Adv. Manuf. Technol. 2012, 60, 1237–1246. [Google Scholar] [CrossRef]
- Carou, D.; Rubio, E.M.; Lauro, C.H.; Davim, J.P. Experimental investigation on surface finish during intermittent turning of UNSM11917 magnesium alloy under dry and near dry machining conditions. Measurement 2014, 56, 136–154. [Google Scholar] [CrossRef]
- Villeta, M.; Rubio, E.M.; Sáenz De Pipaón, J.M.; Sebastián, M.A. Surface finish optimization of magnesium pieces obtained by dry turning based on Taguchi techniques and statistical tests. Mater. Manuf. Process. 2011, 26, 1503–1510. [Google Scholar] [CrossRef]
- Carou, D.; Rubio, E.M.; Lauro, C.H.; Davim, J.P. Experimental investigation on finish intermittent turning of UNSM11917 magnesium alloy under dry machining. Int. J. Adv. Manuf. Technol. 2014, 75, 1417–1429. [Google Scholar] [CrossRef]
- Librera, E.; Riva, G.; Safarzadeh, H.; Previtali, B. On the use of areal roughness parameters to assess surface quality in laser cutting of stainless steel with CO2 and fiber sources. Procedia CIRP 2015, 33, 532–537. [Google Scholar] [CrossRef][Green Version]
- Child, D.J.; West, G.D.; Thomson, R.C. Assessment of surface hardening effects from shot peening on a Ni-based alloy using electron backscatter diffraction techniques. Acta Mater. 2011, 59, 4825–4834. [Google Scholar] [CrossRef]
- Nieslony, P.; Krolczyk, G.M.; Wojciechowski, S.; Chudy, R.; Zak, K.; Maruda, R.W. Surface quality and topographic inspection of variable compliance part after precise turning. Appl. Surf. Sci. 2018, 434, 91–101. [Google Scholar] [CrossRef]
- Gong, M.; Rao, S.Z.; Li, L. Effects of machining parameters on surface roughness of joints in manufacturing structural finger-jointed lumber (in Chinese). J. Forest. Eng. 2017, 2, 10–18. [Google Scholar]
- Moon, J.; Yi, G.; Oh, C.; Lee, M.; Lee, Y.; Kim, M. A new technique for three-dimensional measurements of skin surface contours evaluation of skin surface contours according to the aging process using a stereo image optical topometer. Phys. Meas. 2002, 23, 247–259. [Google Scholar] [CrossRef]
- He, B.F.; Ding, S.Y.; Wei, C.E.; Liu, B.X.; Shi, Z.Y. Reviw of measurement methods for areal surface roughness. Opt. Precis. Eng. 2019, 27, 78–93. (In Chinese) [Google Scholar]
- Soady, K.A.; Mellor, B.G.; West, G.D.; Harrison, G.; Morris, A.; Reed, P.A.S. Evaluating surface deformation and near surface strain hardening resulting from shot peening a tempered martensitic steel and application to low cycle fatigue. Int. J. Fatigue 2013, 54, 106–117. [Google Scholar] [CrossRef]
- Makar, G.L.; Kruger, J. Corrosion of magnesium. Int. Mater. Rev. 2017, 38, 138–153. [Google Scholar] [CrossRef]
- Witte, F.; Kaese, V.; Haferkamp, H.; Switzer, E.; Meyer-Lindenberg, A.; Wirth, C.J.; Windhagen, H. In vivo corrosion of four magnesium alloys and the associated bone response. Biomaterials 2005, 26, 3557–3563. [Google Scholar] [CrossRef] [PubMed]
- Noordin, M.Y.; Venkatesh, V.C.; Sharif, S. Dry turning of tempered martensitic stainless tool steel using coated cermet and coated carbide tools. J. Mater. Process. Technol. 2007, 185, 83–90. [Google Scholar] [CrossRef]
- Hsu, C.Y.; Lin, Y.Y.; Lee, W.S.; Lo, S.P. Machining characteristics of Inconel 718 using ultrasonic and high temperature-aided cutting. J. Mater. Process. Technol. 2008, 198, 359–365. [Google Scholar] [CrossRef]




| Level | Factor | ||
|---|---|---|---|
| A Cutting Speed (m/min) | B Feed Rate (mm/rev) | C Depth of Cut (mm) | |
| 1 | A1 = 47 | B1 = 0.05 | C1 = 0.2 |
| 2 | A2 = 66 | B2 = 0.08 | C2 = 0.3 |
| 3 | A3 = 85 | B3 = 0.11 | C3 = 0.4 |
| Sample | Factor | Measured Values of Sa (Sz) 1, µm | Averages and SD of Sa (Sz), µm | ||||
|---|---|---|---|---|---|---|---|
| A | B | C | Area 1 | Area 2 | Area 3 | ||
| 1 | 1 | 1 | 1 | 0.655 (8.130) | 0.698 (8.165) | 0.614 (9.791) | 0.656 ± 0.042 (8.695 ± 0.949) |
| 2 | 1 | 2 | 2 | 0.996 (12.691) | 0.911 (8.934) | 0.884 (11.084) | 0.930 ± 0.058 (10.903 ± 1.885) |
| 3 | 1 | 3 | 3 | 1.521 (16.929) | 1.481 (12.951) | 1.472 (15.196) | 1.491 ± 0.026 (15.025 ± 1.994) |
| 4 | 2 | 1 | 2 | 0.599 (7.401) | 0.521 (6.647) | 0.663 (8.973) | 0.594 ± 0.071 (7.674 ± 1.187) |
| 5 | 2 | 2 | 3 | 1.012 (11.338) | 0.969 (10.937) | 1.109 (11.694) | 1.030 ± 0.072 (11.323 ± 0.379) |
| 6 | 2 | 3 | 1 | 1.590 (12.852) | 1.427 (10.934) | 1.431 (11.635) | 1.483 ± 0.093 (11.807 ± 0.970) |
| 7 | 3 | 1 | 3 | 0.762 (7.553) | 0.571 (7.955) | 0.538 (5.260) | 0.624 ± 0.121 (6.923 ± 1.454) |
| 8 | 3 | 2 | 1 | 1.038 (9.638) | 0.958 (8.863) | 0.970 (10.370) | 0.989 ± 0.043 (9.624 ± 0.754) |
| 9 | 3 | 3 | 2 | 1.467 (12.510) | 1.382 (9.562) | 1.430 (10.928) | 1.426 ± 0.043 (11.000 ± 1.475) |
| Item | Factor | ||
|---|---|---|---|
| A | B | C | |
| 1.026 (11.541) | 0.625 (7.764) | 1.042 (10.042) | |
| 1.036 (10.268) | 0.983 (10.617) | 0.984 (9.859) | |
| 1.013 (9.182) | 1.467 (12.611) | 1.048 (11.090) | |
| Range | 0.023 (2.359) | 0.842 (4.847) | 0.065 (1.230) |
| Factor | Square Sum of Dispersion | df 1 | Mean Square Error | F-Value 2 | P-Value 3 |
|---|---|---|---|---|---|
| A | 0.0008 (8.3657) | 2 | 0.0004 (4.1828) | 0.8276 (8844.6160) | 0.5472 (0.0001) |
| B | 1.0719 (35.6070) | 2 | 0.5359 (17.8035) | 1133.2236 (37645.3894) | 0.0009 (0.0000) |
| C | 0.0077 (2.6490) | 2 | 0.0038 (1.3245) | 8.0980 (2800.6372) | 0.1099 (0.0004) |
| Experiment Error | 0.0009 (1.2064) | 2 | 0.0005 (0.6032) | - | - |
| R | R2 | Adjusted R2 | Standard Error |
|---|---|---|---|
| 0.992 | 0.984 | 0.975 | 0.058 |
| Model | Sum of Squares | df | Mean Square | F-Value | Significance |
|---|---|---|---|---|---|
| Regression analysis | 1.064 | 3 | 0.355 | 103.953 | 0.000 |
| Residual | 0.017 | 5 | 0.003 | - | - |
| Total | 1.081 | 8 | - | - | - |
| Item | Non-standardized Coefficient | Standardized Coefficient | t | P-Value | |
|---|---|---|---|---|---|
| B | Standard Error | ||||
| Intercept | −0.084 | 0.128 | - | −0.659 | 0.539 |
| Cutting speed | −0.00035 | 0.001 | −0.015 | −0.266 | 0.801 |
| Feed rate | 14.033 | 0.795 | 0.992 | 17.657 | 0.000 |
| Depth of cut | 0.028 | 0.238 | 0.007 | 0.119 | 0.910 |
© 2020 by the authors. Licensee MDPI, Basel, Switzerland. This article is an open access article distributed under the terms and conditions of the Creative Commons Attribution (CC BY) license (http://creativecommons.org/licenses/by/4.0/).
Share and Cite
Gao, H.; Ma, B.; Singh, R.P.; Yang, H. Areal Surface Roughness of AZ31B Magnesium Alloy Processed by Dry Face Turning: An Experimental Framework Combined with Regression Analysis. Materials 2020, 13, 2303. https://doi.org/10.3390/ma13102303
Gao H, Ma B, Singh RP, Yang H. Areal Surface Roughness of AZ31B Magnesium Alloy Processed by Dry Face Turning: An Experimental Framework Combined with Regression Analysis. Materials. 2020; 13(10):2303. https://doi.org/10.3390/ma13102303
Chicago/Turabian StyleGao, Honghong, Baoji Ma, Ravi Pratap Singh, and Heng Yang. 2020. "Areal Surface Roughness of AZ31B Magnesium Alloy Processed by Dry Face Turning: An Experimental Framework Combined with Regression Analysis" Materials 13, no. 10: 2303. https://doi.org/10.3390/ma13102303
APA StyleGao, H., Ma, B., Singh, R. P., & Yang, H. (2020). Areal Surface Roughness of AZ31B Magnesium Alloy Processed by Dry Face Turning: An Experimental Framework Combined with Regression Analysis. Materials, 13(10), 2303. https://doi.org/10.3390/ma13102303
