Phase Formation Behavior and Thermoelectric Transport Properties of P-Type YbxFe3CoSb12 Prepared by Melt Spinning and Spark Plasma Sintering
Abstract
1. Introduction
2. Materials and Methods
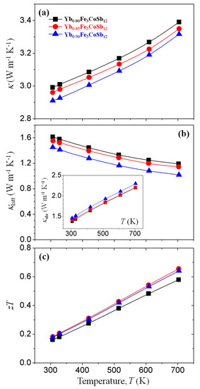
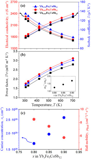
3. Results and Discussion
4. Conclusions
Author Contributions
Funding
Conflicts of Interest
References
- Sales, B.C.; Mandrus, D.; Williams, R.K. Filled Skutterudite Antimonides: A New Class of Thermoelectric Materials. Science 1996, 272, 1325–1328. [Google Scholar] [CrossRef] [PubMed]
- Snyder, G.J.; Toberer, E.S. Complex thermoelectric materials. Nat. Mater. 2008, 7, 105–114. [Google Scholar] [CrossRef] [PubMed]
- Schierning, G.; Chavez, R.; Schmechel, R.; Balke, B.; Rogl, G.; Rogl, P. Concepts for medium-high to high temperature thermoelectric heat-to-electricity conversion: A review of selected materials and basic considerations of module design. Transl. Mater. Res. 2015, 2, 025001. [Google Scholar] [CrossRef]
- Cai, B.; Hu, H.; Zhuang, H.L.; Li, J.F. Promising materials for thermoelectric applications. J. Alloy. Compd. 2019, 806, 471–486. [Google Scholar] [CrossRef]
- Shi, X.; Kong, H.; Li, C.P.; Uher, C.; Yang, J.; Salvador, J.R.; Wang, H.; Chen, L.; Zhang, W. Low thermal conductivity and high thermoelectric figure of merit in n-type BaxYbyCo4Sb12 BaxYbyCo4Sb12 double-filled skutterudites. Appl. Phys. Lett. 2008, 92, 182101. [Google Scholar] [CrossRef]
- Ballikaya, S.; Uzar, N.; Yildirim, S.; Salvador, J.R.; Uher, C. High thermoelectric performance of In, Yb, Ce multiple filled CoSb3 based skutterudite compounds. J. Solid State Chem. 2012, 193, 31–35. [Google Scholar] [CrossRef]
- Shi, X.; Yang, J.; Salvador, J.R.; Chi, M.; Cho, J.Y.; Wang, H.; Bai, S.; Yang, J.; Zhang, W.; Chen, L. Multiple-Filled Skutterudites: High Thermoelectric Figure of Merit through Separately Optimizing Electrical and Thermal Transports. J. Am. Chem. Soc. 2011, 133, 7837–7846. [Google Scholar] [CrossRef]
- Mun, H.; Choi, S.M.; Lee, K.H.; Kim, S.W. Boundary Engineering for the Thermoelectric Performance of Bulk Alloys Based on Bismuth Telluride. ChemSusChem 2015, 8, 2312–2326. [Google Scholar] [CrossRef]
- Heinz, N.A.; Ikeda, T.; Pei, Y.; Snyder, G.J. Applying Quantitative Microstructure Control in Advanced Functional Composites. Adv. Funct. Mater. 2014, 24, 2135–2153. [Google Scholar] [CrossRef]
- Rogl, G.; Bursik, J.; Grytsiv, A.; Puchegger, S.; Soprunyuk, V.; Schranz, W.; Yan, X.; Bauer, E.; Rogl, P. Nanostructuring as a tool to adjust thermal expansion in high ZT skutterudites. Acta Mater. 2018, 145, 359–368. [Google Scholar] [CrossRef]
- Zhou, Z.; Li, J.; Fan, Y.; Zhang, Q.; Lu, X.; Fan, S.; Kikuchi, K.; Nomura, N.; Kawasaki, A.; Wang, L.; et al. Uniform dispersion of SiC in Yb-filled skutterudite nanocomposites with high thermoelectric and mechanical performance. Scr. Mater. 2019, 162, 166–171. [Google Scholar] [CrossRef]
- Biswas, K.; He, J.; Zhang, Q.; Wang, G.; Uher, C.; Dravid, V.P.; Kanatzidis, M.G. Strained endotaxial nanostructures with high thermoelectric figure of merit. Nat. Chem. 2011, 3, 160–166. [Google Scholar] [CrossRef] [PubMed]
- Biswas, K.; He, J.; Blum, I.D.; Wu, C.; Hogan, T.P.; Seidman, D.N.; Dravid, V.P.; Kanatzidis, M.G. High-performance bulk thermoelectrics with all-scale hierarchical architectures. Nature 2012, 489, 414–418. [Google Scholar] [CrossRef] [PubMed]
- Wei, R.; Huiyuan, G.; Zihao, Z.; Lixia, Z. Filling-Fraction Fluctuation Leading to Glasslike Ultralow Thermal Conductivity in Caged Skutterudites. Phys. Rev. Lett. 2017, 118, 245901. [Google Scholar] [CrossRef]
- Ren, W.; Geng, H.; Zhang, L.; Liu, X.; He, T.; Feng, J. Simultaneous blocking of minority carrier and high energy phonon in p-type skutterudites. Nano Energy 2018, 46, 249–256. [Google Scholar] [CrossRef]
- Serrano-Sánchez, F.; Prado-Gonjal, J.; Nemes, N.M.; Biskup, N.; Varela, M.; Dura, O.J.; Martínez, J.L.; Fernández-Díaz, M.T.; Fauth, F.; Alonso, J.A. Low thermal conductivity in La-filled cobalt antimonide skutterudites with an inhomogeneous filling factor prepared under high-pressure conditions. J. Mater. Chem. A 2018, 6, 118–126. [Google Scholar] [CrossRef]
- Serrano-Sánchez, F.; Prado-Gonjal, J.; Nemes, N.M.; Biskup, N.; Dura, O.J.; Martínez, J.L.; Fernández-Díaz, M.T.; Fauth, F.; Alonso, J.A. Thermal Conductivity Reduction by Fluctuation of the Filling Fraction in Filled Cobalt Antimonide Skutterudite Thermoelectrics. ACS Appl. Energy Mater. 2018, 1, 6181–6189. [Google Scholar] [CrossRef]
- Gainza, J.; Serrano-Sánchez, F.; Prado-Gonjal, J.; Nemes, N.M.; Biskup, N.; Dura, O.J.; Martínez, J.L.; Fauth, F.; Alonso, J.A. Substantial thermal conductivity reduction in mischmetal skutterudites MmxCo4Sb12 prepared under high-pressure conditions due to uneven distribution of the rare-earth elements. J. Mater. Chem. C 2019, 7, 4124–4131. [Google Scholar] [CrossRef]
- Li, H.; Tang, X.; Zhang, Q.; Uher, C. Rapid preparation method of bulk nanostructured Yb0.3Co4Sb12+y compounds and their improved thermoelectric performance. Appl. Phys. Lett. 2008, 93, 252109. [Google Scholar] [CrossRef]
- Tan, G.; Liu, W.; Wang, S.; Yan, Y.; Li, H.; Tang, X.; Uher, C. Rapid preparation of CeFe4Sb12 skutterudite by melt spinning: Rich nanostructures and high thermoelectric performance. J. Mater. Chem. A 2013, 1, 12657–12668. [Google Scholar] [CrossRef]
- Lee, S.; Lee, K.H.; Kim, Y.M.; Kim, H.S.; Snyder, G.J.; Baik, S.; Kim, S.W. Simple and efficient synthesis of nanograin structured single phase filled skutterudite for high thermoelectric performance. Acta Mater. 2018, 142, 8–17. [Google Scholar] [CrossRef]
- Tang, X.; Zhang, Q.; Chen, L.; Goto, T.; Hirai, T. Synthesis and thermoelectric properties of p-type- and n-type-filled skutterudite RyMxCo4−xSb12 (R:Ce,Ba,Y;M:Fe,Ni). J. Appl. Phys. 2005, 97, 093712. [Google Scholar] [CrossRef]
- Kim, H.S.; Gibbs, Z.M.; Tang, Y.; Wang, H.; Snyder, G.J. Characterization of Lorenz number with Seebeck coefficient measurement. APL Mater. 2015, 3, 041506. [Google Scholar] [CrossRef]
- Son, G.; Lee, K.H.; Park, H.W.; Caron AKim, I.H.; Lee, S.; Choi, S.M. Control of electrical to thermal conductivity ratio for p-type LaxFe3CoSb12 thermoelectrics by using a melt-spinning process. J. Alloys Compd. 2017, 729, 1209–1214. [Google Scholar] [CrossRef]




© 2019 by the authors. Licensee MDPI, Basel, Switzerland. This article is an open access article distributed under the terms and conditions of the Creative Commons Attribution (CC BY) license (http://creativecommons.org/licenses/by/4.0/).
Share and Cite
Lee, K.H.; Bae, S.H.; Choi, S.-M. Phase Formation Behavior and Thermoelectric Transport Properties of P-Type YbxFe3CoSb12 Prepared by Melt Spinning and Spark Plasma Sintering. Materials 2020, 13, 87. https://doi.org/10.3390/ma13010087
Lee KH, Bae SH, Choi S-M. Phase Formation Behavior and Thermoelectric Transport Properties of P-Type YbxFe3CoSb12 Prepared by Melt Spinning and Spark Plasma Sintering. Materials. 2020; 13(1):87. https://doi.org/10.3390/ma13010087
Chicago/Turabian StyleLee, Kyu Hyoung, Sang Hyun Bae, and Soon-Mok Choi. 2020. "Phase Formation Behavior and Thermoelectric Transport Properties of P-Type YbxFe3CoSb12 Prepared by Melt Spinning and Spark Plasma Sintering" Materials 13, no. 1: 87. https://doi.org/10.3390/ma13010087
APA StyleLee, K. H., Bae, S. H., & Choi, S.-M. (2020). Phase Formation Behavior and Thermoelectric Transport Properties of P-Type YbxFe3CoSb12 Prepared by Melt Spinning and Spark Plasma Sintering. Materials, 13(1), 87. https://doi.org/10.3390/ma13010087
