Influence of Randomness in Rubber Materials Parameters on the Reliability of Rubber O-Ring Seal
Abstract
1. Introduction
2. Reliability Model-Based Analysis of Rubber Materials under Application Condition
2.1. Failure Mechanism of Rubber O-Ring Seal
2.2. Reliability Modeling
2.3. Random Characterization of Parameters on Reliability Model
2.3.1. Randomness of Material Parameters
2.3.2. Randomness of Geometric Parameters
2.3.3. Randomness of Load Parameters
3. Determination of Random Characterization of Parameters
3.1. Experimental Design for the Rubber Material
3.2. Random Parameters Analysis for the Rubber O-Ring Seal
3.3. Random Characterization of Stress under Actual Application Conditons
3.4. Reliability Analysis
4. Influence of Random Parameters and Discussion
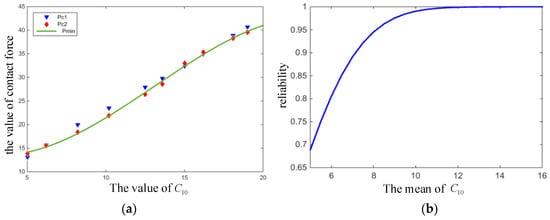
4.1. Influence of Material Parameters
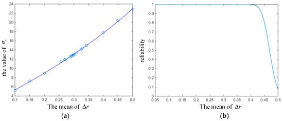
4.2. Influence of Geometric Parameters
4.3. Influence of Load Parameters
5. Conclusions
- Defects in processing technology lead to changes in the compression of the O-ring. With the increase of compression, compression stress increases, which greatly affects the reliability of the O-ring when compression reaches a certain degree.
- When the Mooney–Rivlin constitutive model constants of rubber material, and , change with ageing, the maximum contact stress of the O-ring also changes. It can be seen from the comparison that the larger and are, the greater the maximum contact stress of the O-ring seal, and the better the sealing performance of the O-ring.
- Random change of load leads to random change in oil pressure, which has a great influence on the reliability of the O-ring seal. The input of the load should be optimized, and the influence of an appropriate shunt load on the O-ring should be considered.
- This method of analyzing the influence of parameter changes on the reliability of the O-ring seal can reduce field test time and improve the economy and timeliness of the O-ring seal.
Author Contributions
Funding
Conflicts of Interest
References
- Zhou, C.; Zheng, J.; Gu, C.; Zhao, Y.; Liu, P. Sealing performance analysis of rubber O-ring in high-pressure gaseous hydrogen based on finite element method. Int. J. Hydrog. Energy 2017, 42, 11996–12004. [Google Scholar] [CrossRef]
- Chandrasekaran, C.V. Rubber Seals for Fluid and Hydraulic Systems; William Andrew: Norwich, NY, USA, 2010; ISBN 978-0-8155-2075-7. [Google Scholar]
- Liao, B.; Sun, B.; Yan, M.; Ren, Y.; Zhang, W.; Zhou, K. Time-variant reliability analysis for rubber O-ring seal considering both material degradation and random load. Materials 2017, 10, 1211. [Google Scholar] [CrossRef]
- Winsor, D.A. Communication failures contributing to the Challenger accident: An example for technical communicators. IEEE Trans. Prof. Commun. 1988, 31, 101–107. [Google Scholar] [CrossRef]
- Liu, J.; Li, X.; Xu, L.; Zhang, P. Investigation of aging behavior and mechanism of nitrile-butadiene rubber (NBR) in the accelerated thermal aging environment. Polym. Test. 2016, 54, 59–66. [Google Scholar] [CrossRef]
- Choi, S.-S.; Kim, J.-C. Lifetime prediction and thermal aging behaviors of SBR and NBR composites using crosslink density changes. J. Ind. Eng. Chem. 2012, 18, 1166–1170. [Google Scholar] [CrossRef]
- Song, W.; Shen, W.-W.; Zhang, G.-J.; Song, B.-P.; Lang, Y.; Su, G.-Q.; Mu, H.-B.; Deng, J.-B. Aging characterization of high temperature vulcanized silicone rubber housing material used for outdoor insulation. IEEE Trans. Dielectr. Electr. Insul. 2015, 22, 961–969. [Google Scholar] [CrossRef]
- He, X.; Li, T.; Shi, Z.; Wang, X.; Xue, F.; Wu, Z.; Chen, Q. Thermal-oxidative aging behavior of nitrile-butadiene rubber/functional LDHs composites. Polym. Degrad. Stab. 2016, 133, 219–226. [Google Scholar] [CrossRef]
- Sanchez-Hidalgo, R.; Blanco, C.; Menendez, R.; Verdejo, R.; Lopez-M anchado, M. Multifunctional silicone rubber nanocomposites by controlling the structure and morphology of graphene material. Polymer 2019, 11, 449. [Google Scholar] [CrossRef] [PubMed]
- Hu, S.; Chen, F.; Li, J.-G.; Shen, Q.; Huang, Z.-X.; Zhang, L.-M. The ceramifying process and mechanical properties of silicone rubber/ammonium polyphosphate/aluminum hydroxide/mica composites. Polym. Degrad. Stab. 2016, 126, 196–203. [Google Scholar] [CrossRef]
- Qiu, X.; Cai, H.; Fang, X.; Zheng, J. The improved thermal oxidative stability of silicone rubber by incorporating reduced graphene oxide: Impact factors and action mechanism. Polym. Compos. 2018, 39, 1105–1115. [Google Scholar] [CrossRef]
- Zhang, F.; Jiang, X.; Wang, H.; Song, N.; Chen, J.; Duan, J. Mechanical analysis of sealing performance for compression packer rubber tube. Mech. Ind. 2018, 19, 309. [Google Scholar] [CrossRef]
- Dara, C. A new structural dynamic model for pump mechanical seals vibration analysis incorporating squeeze motion of O-ring seals and general dynamic motion of the pump housing and the pump shaft. J. Tribol. 2018, 140, 062201. [Google Scholar] [CrossRef]
- Wang, B.Q.; Peng, X.D.; Meng, X.K. A thermos-electrohydrodynamic lubrication model for hydraulic rod O-ring seals under mixed lubrication conditions. Tribol. Int. 2019, 129, 442–458. [Google Scholar] [CrossRef]
- Yang, H.B.; Chen, L.L. Seal failure mode and effects analysis for retractable actuator of landing gear. In Proceedings of the CSAA/IET International Conference on Aircraft Utility Systems, Guiyang, China, 19–22 June 2018. [Google Scholar]
- Akulichev, A.G.; Echtermeyer, A.T.; Persson, B.N.J. Interfacial leakage of elastomer seals at low temperatures. Int. J. Press. Vessel. Pip. 2018, 160, 14–23. [Google Scholar] [CrossRef]
- Yan, H.; Zhao, Y.L.; Liu, J.; Jiang, H. Analyses toward factors influencing sealing clearance of a metal rubber seal and derivation of a calculation formula. Chinese J. Aeronaut. 2016, 29, 292–296. [Google Scholar] [CrossRef]
- Takano, N.; Takizawa, H.; Wen, P.; Odaka, K.; Matsunaga, S.; Abe, S. Stochastic prediction of apparent compressive stiffness of selective laser sintered lattice structure with geometrical imperfection and uncertainty in material property. Int. J. Mech. Sci. 2017, 134, 347–356. [Google Scholar] [CrossRef]
- Zhang, T.; He, D. A reliability-based robust design method for the sealing of slipper-swash plate friction pair in hydraulic piston pump. IEEE Trans. Reliab. 2018, 67, 459–469. [Google Scholar] [CrossRef]
- Ayyub, B.M.; McCuen, R.H. Probability, Statistics, and Reliability for Engineers and Scientists, 3rd ed.; CRC Press: Boca Raton, FL, USA, 2011. [Google Scholar]
- Elishakoff, I. Probabilistic Methods in the Theory of Structures: Strength of Materials, Random Vibrations, and Random Buckling; WSPC: Hackensack, NJ, USA, 2017. [Google Scholar]
- Wang, C.; Qiu, Z.; Xu, M.; Li, Y. Novel reliability-based optimization method for thermal structure with hybrid random, interval and fuzzy parameters. Appl. Math. Model. 2017, 47, 573–586. [Google Scholar] [CrossRef]
- Wang, L.; Wang, X.J.; Wang, R.X.; Chen, X. Reliability-based design optimization under mixture of random, interval and convex uncertainties. Arch. Appl. Mech. 2016, 86, 1341–1367. [Google Scholar] [CrossRef]
- Jensen, H.A.; Mayorga, F.; Papadimitriou, C. Reliability sensitivity analysis of stochastic finite element models. Comput. Method. Appl. Mech. Eng. 2015, 296, 327–351. [Google Scholar] [CrossRef]
- Wen, M.; Kang, R. Reliability analysis in uncertain random system. Fuzzy Optim. Decis. Mak. 2016, 15, 491–506. [Google Scholar] [CrossRef]
- Andrejiova, M.; Grincova, A.; Marasova, D. Failure analysis of the rubber-textile conveyor belts using classification models. Eng. Fail. Anal. 2019, 101, 407–417. [Google Scholar] [CrossRef]
- Marco, Y.; Huneau, B.; Masquelier, I. Prediction of fatigue properties of natural rubber based on the descriptions of the cracks population and of the dissipated energy. Polym. Test. 2017, 59, 67–74. [Google Scholar] [CrossRef]
- Woo, C.S.; Kim, W.-D.; Kwon, J.-D. A study on the material properties and fatigue life prediction of natural rubber component. Mater. Sci. Eng. A Struct. 2008, 483, 376–381. [Google Scholar] [CrossRef]
- Shao, Y.; Kang, R. A life prediction method for O-ring static seal structure based on Physics of Failure. In Proceedings of the 2014 Prognostics and System Health Management Conference (PHM-2014 Hunan), Zhangjiajie, China, 24–27 August 2014. [Google Scholar] [CrossRef]
- Zou, L.; Liu, X.; Hu, X.L.; Luo, W.B. Dynamic reliability analysis of shock absorption rubber structure with probability-interval mixed uncertainty. Chinese J. Appl. Mech. 2015, 32, 197–203. (In Chinese) [Google Scholar]
- Cao, X.; Wei, C.; Liang, J.; Wang, L. Design and dynamic analysis of metal rubber isolators between satellite and carrier rocket system. Mech. Sci. 2019, 10, 71–78. [Google Scholar] [CrossRef]
- Tsyss, V.G.; Strokov, I.M.; Sergaeva, M.Y. Reliability calculation of rubber-metal damper using computer modeling. AIP Conf. Proc. 2017, 1876, 020061. [Google Scholar] [CrossRef]
- Kundera, C.; Martsynkowskyy, V.; Gudkov, S.; Kozior, T. Effect of reheological parameters of elastomeric ring materials on dynamic of face seals. Procedia Eng. 2017, 177, 307–313. [Google Scholar] [CrossRef]
- Mejri, M.; Cazuguel, M.; Cognard, J.-Y. A time-variant reliability approach for ageing marine structures with non-linear behavior. Comput. Struct. 2011, 89, 1743–1753. [Google Scholar] [CrossRef]
- Mooney, R. A theory of large elastic deformation. J. Appl. Phys. 1940, 11, 582–592. [Google Scholar] [CrossRef]
- Rivlin, R.S. Large elastic deformation of isotropic material-IV: Further developments of the general theory. Philos. Trans. R. Soc. A 1948, 39, 761–767. [Google Scholar] [CrossRef]
- Main, J. Quality WWars: The Triumphs and Defeats of American Business; Free Press: Florence, MA, USA, 1994. [Google Scholar]










| Parameter | Distribution Type | Mean | Variance |
|---|---|---|---|
| Normal | 12.5 Mpa | 6.25 | |
| Normal | 4.2 Mpa | 1 | |
| Normal | 0.3 mm | 0.002 | |
| Normal | 10 Mpa | 4 |
© 2019 by the authors. Licensee MDPI, Basel, Switzerland. This article is an open access article distributed under the terms and conditions of the Creative Commons Attribution (CC BY) license (http://creativecommons.org/licenses/by/4.0/).
Share and Cite
Liang, B.; Yang, X.; Wang, Z.; Su, X.; Liao, B.; Ren, Y.; Sun, B. Influence of Randomness in Rubber Materials Parameters on the Reliability of Rubber O-Ring Seal. Materials 2019, 12, 1566. https://doi.org/10.3390/ma12091566
Liang B, Yang X, Wang Z, Su X, Liao B, Ren Y, Sun B. Influence of Randomness in Rubber Materials Parameters on the Reliability of Rubber O-Ring Seal. Materials. 2019; 12(9):1566. https://doi.org/10.3390/ma12091566
Chicago/Turabian StyleLiang, Banglong, Xi Yang, Zili Wang, Xing Su, Baopeng Liao, Yi Ren, and Bo Sun. 2019. "Influence of Randomness in Rubber Materials Parameters on the Reliability of Rubber O-Ring Seal" Materials 12, no. 9: 1566. https://doi.org/10.3390/ma12091566
APA StyleLiang, B., Yang, X., Wang, Z., Su, X., Liao, B., Ren, Y., & Sun, B. (2019). Influence of Randomness in Rubber Materials Parameters on the Reliability of Rubber O-Ring Seal. Materials, 12(9), 1566. https://doi.org/10.3390/ma12091566

