Parametric Analysis on the Circular CFST Column and RBS Steel Beam Joints
Abstract
:1. Introduction
2. Development of Finite Element Model
2.1. Numerical Model Design
2.2. Element Types and Meshes
2.3. Boundary Condition and Loading Type
2.4. Material Modeling of Steel and Concrete
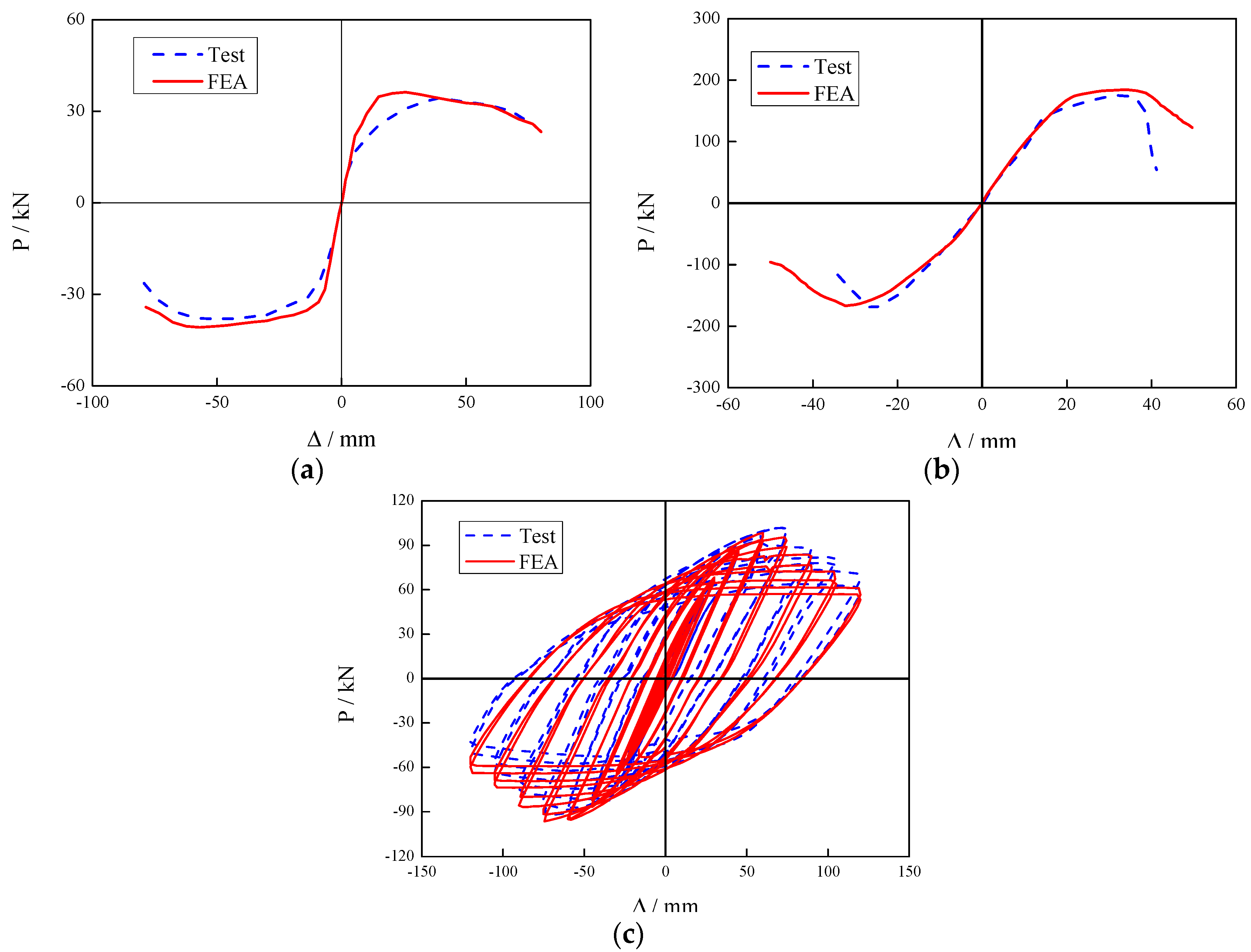
2.5. Model Verifications
3. Numerical Results
- (1)
- (2)
- The stiffness reduction of models subjected to cyclic loads could be estimated using index of looped rigidity degradation (K) [21], which is defined by:where K denotes the index of looped rigidity degradation; Ki denotes the ith cyclic stiffness; K1 denotes the unload stiffness; represents the peak displacement of the ith cycle; denotes the peak load of the ith cycle and n denotes the times of loading cycle.
3.1. Influence of the Range from Diaphragm Fringe to Cut Start (a)
- (1)
- Maximum Von Mises stresses of four FE models are approximately equal, which indicates that the strength of the joint is hardly changed with the variation of parameter a.
- (2)
- All maximum Von Mises stresses are located on the middle of the RBS, which is capable of preventing weld from brittle failure.
- (3)
- It is clearly observed that maximum Von Mises stresses, along the length of welding seam, are located on the welding seam edge, as shown in Figure 10, and the stress decreases with the increase of cut length. However, once the value of a is bigger than 0.65bf, where bf represents beam flange width, the stress on welding seam increase again. The main reason contributing to this phenomenon is the effect that RBS becomes inconsiderable if the RBS moves away from the weld, thus the plastic hinge could not be developed at RBS.
3.2. Influence of the Length of the Cut (b)
- (1)
- Although the peak Von Mises stress happens at the weakest part of RBS for all the cases, the stress distribution of the joint, with a higher value of cut length (b), is more uniform, and the corresponding maximum stress is smaller as well.
- (2)
- Using different cut length, there are not obvious variations on the maximum stress of welding seam, as illustrated in Figure 15.
3.3. Influence of the Depth of the Cut (c)
- (1)
- Obviously, changing cut depth (c) would not affect the location of peak Von Mises stress, while the value of peak Von Mises stress declines significantly with the decrease of cut depth.
- (2)
- Although increasing cut depth can reduce the stress on the welding seam edge, the stress on the middle of welding seam ascends gradually at the same time, even exceeding the stress of the edge when the cut depth is over 40 mm.
3.4. Influence of the Inner Diameter of through Diaphragm (d)
4. Orthogonal Experimental Design
5. Conclusions
- (1)
- To avoid excessive deterioration of steel at the reduced beam section, caused by heat affected zone of the joint, the range from the diaphragm fringe to the cut start (a) should be large enough. However, if the value of a is too large, the effect of RBS on the welding stress will be decreased. As a result, the optimal value of a should be between 0.5bf and 0.65bf, which not only can avoid steel deterioration at reduced beam section, but can also protect the joint from brittle failure.
- (2)
- The cut length (b) has little influence on the stiffness, strength and load capacity of the composite joint.
- (3)
- The addition of the cut depth (c) will result in obvious reduction of the stiffness, strength and load capacity of the composite joint. Hence, in the consideration of the stress distribution at key parts of the joint, the optimal value of c should be between 0.2bf and 0.25bf.
- (4)
- The range of inner diameter of through diaphragm (d) should be D−bf ≤ d ≤ bd−bf, which can meet the load requirement and guarantee the pouring quality of the concrete in the steel tube meanwhile.
- (5)
- The orthogonal design demonstrates that the importance order for the effect of each parameter on the composite joint strength should be cut depth (c), the range from the diaphragm fringe to the cut start (a), inner diameter of through diaphragm (d) and cut length (b), and the importance order for the effect of each parameter on the energy dissipation of the composite joint should be inner diameter of through diaphragm (d), cut depth (c), cut length (b) and the range from the diaphragm fringe to the cut start (a). The optimal combination of the parameters can be found using this orthogonal analysis
Author Contributions
Funding
Conflicts of Interest
References
- Mou, B.; Li, X.; Bai, Y.; He, B.; Patel, V.I. Numerical evaluation on shear behavior of irregular steel beam-to-CFST column connections. J. Constr. Steel Res. 2018, 148, 422–435. [Google Scholar] [CrossRef]
- Mou, B.; Bai, Y. Experimental investigation on shear behavior of steel beam-to-CFST column connections with irregular panel zone. Eng. Struct. 2018, 168, 487–504. [Google Scholar] [CrossRef]
- Chen, H.; Xu, B.; Mo, Y.; Zhou, T. Multi-scale stress wave simulation for aggregates segregation detection of concrete core in circular CFST coupled with PZT patches. Materials 2018, 11, 1223. [Google Scholar] [CrossRef] [PubMed]
- Liu, J.; Yang, Y.; Liu, J.; Zhou, X. Experimental investigation of special-shaped concrete-filled steel tubular column to steel beam connections under cyclic loading. Eng. Struct. 2017, 151, 68–84. [Google Scholar] [CrossRef]
- Qin, Y.; Chen, Z.; Wang, X.; Zhou, T. Seismic behavior of through-diaphragm connections between CFRT columns and steel beams-experimental study. Adv. Steel Constr. 2014, 10, 351–371. [Google Scholar]
- Li, R.; Samali, B.; Tao, Z.; Kamrul Hassan, M. Cyclic behaviour of composite joints with reduced beam sections. Eng. Struct. 2017, 136, 329–344. [Google Scholar] [CrossRef]
- Nishiyama, I.; Fujimoto, T.; Fukumoto, T.; Yoshioka, K. Inelastic force-deformation response of joint shear panels in beam-column moment connections to concrete-filled tubes. J. Struct. Eng. 2004, 130, 244–252. [Google Scholar] [CrossRef]
- Rong, B.; Liu, R.; Zhang, R.; Liu, S.; Fafitis, A. Shear capacity of T-shaped diaphragm-through joints of CFST columns. J. Mech. Mater. Struct. 2017, 12, 373–390. [Google Scholar] [CrossRef]
- Kanatani, H.; Tabuchi, M.; Kamba, T.; Hsiaolien, J.; Ishikawa, M. A study on concrete filled RHS column to H-beam connections fabricated with HT bolts in rigid frames. In Proceedings of the An Engineering Foundation Conference, Henniker, NH, USA, 7–12 June 1987; pp. 614–635. [Google Scholar]
- Chen, Y.Y.; Li, G.; Zhuang, L.; Huang, M.X.; Li, J. Experimental study on the seismic performance of diaphragm through type joint connecting H beam and tube column in steel frame. Prog. Steel Build. Struct. 2006, 8, 23–30. (In Chinese) [Google Scholar]
- Rong, B.; Liu, R.; Zhang, R.; Chen, Z.; Apostolos, F. Flexural bearing capacity of diaphragm-Through joints of concrete-filled square steel tubular columns. Steel Compos. Struct. 2016, 20, 487–500. [Google Scholar] [CrossRef]
- Li, C.Y.; Li, R. Seismic performance of concrete-filled-tube column to RBS beam connections with crossing diaphragm—finite element analysis. Appl. Mech. Mater. 2011, 71, 1495–1498. [Google Scholar] [CrossRef]
- FEMA-350. Recommended seismic design criteria for new steel moment-frame buildings 2000, 3.38-3.42. Available online: https://www.fema.gov/media-library/assets/documents/2098 (accessed on 15 July 2016).
- Nie, J.; Qin, K.; Cai, C.S. Seismic behavior of connections composed of CFSSTCs and steel–concrete composite beams—finite element analysis. J. Constr. Steel Res. 2008, 64, 680–688. [Google Scholar] [CrossRef]
- Han, L.H.; Yao, G.H.; Tao, Z. Performance of concrete-filled thin-walled steel tubes under pure torsion. Thin-Walled Struct. 2007, 45, 24–36. [Google Scholar] [CrossRef]
- Jianguo, N.; Yuan, H.; Weijian, Y.; Jiansheng, F. Seismic behavior of CFRSTC composite frames considering slab effects. J. Constr. Steel Res. 2012, 68, 165–175. [Google Scholar] [CrossRef]
- Wang, R.; Han, L.H.; Hou, C.C. Behavior of concrete filled steel tubular (CFST) members under lateral impact: Experiment and FEA model. J. Constr. Steel Res. 2013, 80, 188–201. [Google Scholar] [CrossRef]
- Wang, W.D.; Han, L.H.; You, J. Experimental studies on hysteretic behaviors of steel beam to concrete filled SHS column connections with stiffening ring. China Civil Eng. J. 2006, 39, 17–25. (In Chinese) [Google Scholar]
- Wang, W.D.; Han, L.H.; Uy, B. Experimental behaviour of steel reduced beam section to concrete-filled circular hollow section column connections. J. Constr. Steel Res. 2008, 64, 493–504. [Google Scholar] [CrossRef]
- Li, W.; Han, L.H. Seismic performance of CFST column to steel beam joint with RC slab: Joint model. J. Constr. Steel Res. 2012, 73, 66–79. [Google Scholar] [CrossRef]
- Wang, J.F.; Han, L.H.; Uy, B. Hysteretic behaviour of flush end plate joints to concrete-filled steel tubular columns. J. Constr. Steel Res. 2009, 65, 1644–1663. [Google Scholar] [CrossRef]
- Gao, X.; Li, Q.; Cheng, W.; Han, G.; Xuan, L. Optimization of high temperature and pressurized steam modified wood fibers for high-density polyethylene matrix composites using the orthogonal design method. Materials 2016, 9, 847. [Google Scholar] [CrossRef] [PubMed]
- Guan, M.; Hu, Y.; Zheng, T.; Zhao, T.; Pan, F. Composition optimization and mechanical properties of Mg-Al-Sn-Mn alloys by orthogonal design. Materials 2018, 11, 1424. [Google Scholar] [CrossRef] [PubMed]
- Vo-Thanh, N.; Jans, R.; Schoen, E.D.; Goos, P. Symmetry breaking in mixed integer linear programming formulations for blocking two-level orthogonal experimental designs. Comput. Oper. Res. 2018, 97, 96–110. [Google Scholar] [CrossRef]
- Chitawadagi, M.V.; Narasimhan, M.C.; Kulkarni, S.M. Axial capacity of rectangular concrete-filled steel tube columns—DOE approach. Constr. Build. Mater. 2010, 24, 585–595. [Google Scholar] [CrossRef]
- Chitawadagi, M.V.; Narasimhan, M.C.; Kulkarni, S.M. Axial strength of circular concrete-filled steel tube columns—DOE approach. J. Constr. Steel Res. 2010, 66, 1248–1260. [Google Scholar] [CrossRef]



























| Model No. | a/mm | b/mm | c/mm | d/mm | Distance (mm) | Stress (MPa) | β |
|---|---|---|---|---|---|---|---|
| RR | 80 | 280 | 35 | 160 | 228.0 | 405.3 | 0.4250 |
| RA1 | 60 | 280 | 35 | 160 | 199.5 | 403.4 | 0.4233 |
| RA2 | 100 | 280 | 35 | 160 | 242.3 | 406.3 | 0.4250 |
| RA3 | 120 | 280 | 35 | 160 | 240.0 | 407.1 | 0.4253 |
| RB1 | 80 | 310 | 35 | 160 | 235.1 | 401.2 | 0.4267 |
| RB2 | 80 | 340 | 35 | 160 | 242.3 | 398.6 | 0.4277 |
| RB3 | 80 | 360 | 35 | 160 | 256.5 | 397.1 | 0.4280 |
| RC1 | 80 | 280 | 30 | 160 | 228.0 | 396.1 | 0.4225 |
| RC2 | 80 | 280 | 40 | 160 | 228.0 | 413.8 | 0.4260 |
| RC3 | 80 | 280 | 45 | 160 | 228.0 | 421.3 | 0.4269 |
| RD1 | 80 | 280 | 35 | 200 | 228.0 | 405.3 | 0.4396 |
| RD2 | 80 | 280 | 35 | 220 | 228.0 | 405.3 | 0.4381 |
| RD3 | 80 | 280 | 35 | 240 | 228.0 | 405.3 | 0.4372 |
| Specimens No. | a | b | c | d | Strength | Energy Dissipation Coefficient | ||
|---|---|---|---|---|---|---|---|---|
| (mm) | (mm) | (mm) | (mm) | (105 N) | ||||
| 1 | A1(60) | B1(280) | C1(30) | D1(200) | 1.37339 | 2.77532 | ||
| 2 | A1(60) | B2(310) | C2(35) | D2(220) | 1.31558 | 2.77994 | ||
| 3 | A1(60) | B3(340) | C3(40) | D3(240) | 1.25134 | 2.73849 | ||
| 4 | A2(80) | B1(280) | C2(35) | D3(240) | 1.33054 | 2.68503 | ||
| 5 | A2(80) | B2(310) | C3(40) | D1(200) | 1.27376 | 2.80486 | ||
| 6 | A2(80) | B3(340) | C1(30) | D2(220) | 1.39915 | 2.77239 | ||
| 7 | A3(100) | B1(280) | C3(40) | D2(220) | 1.29362 | 2.74388 | ||
| 8 | A3(100) | B2(310) | C1(30) | D3(240) | 1.40847 | 2.63438 | ||
| 9 | A3(100) | B3(340) | C2(35) | D1(200) | 1.36525 | 2.80684 | ||
| Strength | Energy dissipation | |||||||
| a | b | c | d | a | b | c | d | |
| K1 | 1.31344 | 1.33252 | 1.39367 | 1.33747 | 2.76458 | 2.73474 | 2.72736 | 2.79567 |
| K2 | 1.33448 | 1.33260 | 1.33712 | 1.33612 | 2.75409 | 2.73973 | 2.75727 | 2.76540 |
| K3 | 1.35578 | 1.33858 | 1.27291 | 1.33012 | 2.72837 | 2.77257 | 2.76241 | 2.78597 |
| Rb | 0.04234 | 0.00606 | 0.12076 | 0.00735 | 0.03621 | 0.03783 | 0.03505 | 0.03027 |
| Importance | c > a > d > b | b > a > c > d | ||||||
© 2019 by the authors. Licensee MDPI, Basel, Switzerland. This article is an open access article distributed under the terms and conditions of the Creative Commons Attribution (CC BY) license (http://creativecommons.org/licenses/by/4.0/).
Share and Cite
Li, R.; Yu, Y.; Samali, B.; Li, C. Parametric Analysis on the Circular CFST Column and RBS Steel Beam Joints. Materials 2019, 12, 1535. https://doi.org/10.3390/ma12091535
Li R, Yu Y, Samali B, Li C. Parametric Analysis on the Circular CFST Column and RBS Steel Beam Joints. Materials. 2019; 12(9):1535. https://doi.org/10.3390/ma12091535
Chicago/Turabian StyleLi, Rui, Yang Yu, Bijan Samali, and Chengyu Li. 2019. "Parametric Analysis on the Circular CFST Column and RBS Steel Beam Joints" Materials 12, no. 9: 1535. https://doi.org/10.3390/ma12091535
APA StyleLi, R., Yu, Y., Samali, B., & Li, C. (2019). Parametric Analysis on the Circular CFST Column and RBS Steel Beam Joints. Materials, 12(9), 1535. https://doi.org/10.3390/ma12091535

