The Study of Buckling and Post-Buckling of a Step-Variable FGM Box
Abstract
:1. Introduction
2. Problem Description
2.1. Finite Element Model (FEM)
2.2. Koiter’s Asymptotic Approach
3. Results and Discussion
3.1. Buckling Forces
3.2. Post-Buckling State
4. Conclusions
- (1)
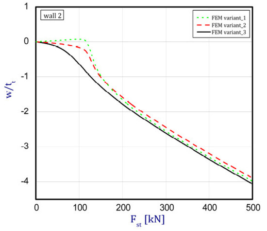
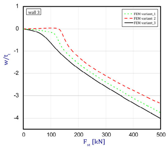
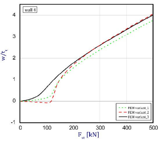
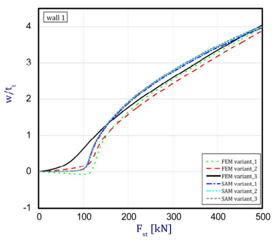
- For variant_3 (with a mixed arrangement of material) the first critical force was the lowest. For higher critical forces, differences were not noticeable and for FEM they did not exceed 1%. Furthermore, in this case deflections on all walls appeared the fastest in comparison to other considered options, but finally at greater overload curves were grew closer to each other.
- (2)
- The difference in the deflection of walls achieved by SAM amounted to 0.1% in the whole scope and this does not give substantial contrast in comparison to analysed variants as it was observed in FEM.
- (3)
- The SAM allows results of equilibrium paths to be achieved significantly faster than FEM. SAM is very useful for interpreting the phenomena accompanying the interaction of different modes of buckling in the full scope of the load. This method furthers our understanding of phenomena that occur during coupled buckling.
Author Contributions
Funding
Conflicts of Interest
References
- Koizumi, M. FGM activities in Japan. Compos. Part B 1997, 28, 1–4. [Google Scholar] [CrossRef]
- Koizumi, M.; Niino, M. Overview of FGM Research in Japan. Mrs Bull. 1995, 20, 19–21. [Google Scholar] [CrossRef]
- Kayser, W.A.; Ilschner, B. FGM research activities in Europe. Mrs Bull. 1995, 20, 22–26. [Google Scholar] [CrossRef]
- Naebe, M.; Shirvanimoghaddam, K. Functionally graded materials: A review of fabrication and properties. Appl. Mater. Today 2016, 5, 223–245. [Google Scholar] [CrossRef]
- Bui, T.Q.; Do, T.V.; Ton, L.H.T.; Doan, D.H.; Tanaka, S.; Pham, D.T.; Nguyen-Van, T.-A.; Yu, T.; Hirose, S. On the high temperature mechanical behaviors analysis of heated functionally graded plates using FEM and a new third-order shear deformation plate theory. Compos. Part B 2016, 92, 218–224. [Google Scholar] [CrossRef]
- Czechowski, L.; Kowal-Michalska, K. Static and Dynamic Buckling of Rectangular Functionally Graded Plates Subjected to Thermal Loading. Strength Mater. 2013, 6, 45–55. [Google Scholar] [CrossRef]
- Czechowski, L. Analysis of dynamic response of functionally graded plate due to temperature pulse load. Compos. Struct. 2017, 160, 625–634. [Google Scholar] [CrossRef]
- Trabelsi, S.; Frikha, A.; Zghal, S.; Dammak, F. Thermal post-buckling analysis of functionally graded material structures using a modified FSDT. Int. J. Mech. Sci. 2018, 144, 74–89. [Google Scholar] [CrossRef]
- Vafakhah, Z.; Navayi Neya, B. An exact three dimensional solution for bending of thick rectangular FGM plate. Compos. Part B 2019, 156, 72–87. [Google Scholar] [CrossRef]
- Kumar, R.; Lal, A.; Singh, B.N.; Singh, J. New transverse shear deformation theory for bending analysis of FGM plate under patch load. Compos. Struct. 2019, 208, 91–100. [Google Scholar] [CrossRef]
- Xu, G.; Huang, H.; Chen, B.; Chen, F. Buckling and postbuckling of elastoplastic FGM plates under inplane loads. Compos. Struct. 2017, 176, 225–233. [Google Scholar] [CrossRef]
- Taczała, M.; Buczkowski, R.; Kleiber, M. Nonlinear buckling and post-buckling response of stiffened FGM plates in thermal environments. Compos. Part B 2017, 109, 238–247. [Google Scholar] [CrossRef]
- Liu, B.; Ferreira, A.J.M.; Xing, Y.F.; Neves, A.M.A. Analysis of functionally graded sandwich and laminated shells using a layerwise theory and a differential quadrature finite element method. Compos. Struct. 2016, 136, 546–553. [Google Scholar] [CrossRef]
- Mechab, I.; Mechab, B.; Benaissa, S. Static and dynamic analysis of functionally graded plates Four-variable refined plate theory by the new function. Compos. Part B 2013, 45, 748–757. [Google Scholar] [CrossRef]
- Kolakowski, Z.; Mania, R.J.; Grudziecki, J. Local nonsymmetric post-buckling equilibrium path in thin FGM plate. Eksploat. I Niezawodn. Maint. Reliab. 2015, 17, 135–142. [Google Scholar] [CrossRef]
- Tung, H.V.; Duc, N.D. Nonlinear analysis of stability for functionally graded plates under mechanical and thermal loads. Compos. Struct. 2010, 92, 1184–1191. [Google Scholar] [CrossRef]
- Yang, J.; Shen, H.S. Nonlinear bending analysis of shear deformable functionally graded plates subjected to thermo-mechanical loads under various boundary conditions. Compos. Part B Eng. 2003, 34, 103–115. [Google Scholar] [CrossRef]
- Kołakowski, Z.; Teter, A. Static interactive buckling of functionally graded columns with closed cross sections subjected to axial compression. Compos. Struct. 2015, 123, 257–262. [Google Scholar] [CrossRef]
- Kołakowski, Z.; Teter, A. Load carrying capacity of functionally graded columns with open cross-sections under static compression. Compos. Struct. 2015, 129, 1–7. [Google Scholar] [CrossRef]
- Kołakowski, Z.; Mania, R.J. Dynamic response of thin FG plates with a static unsymmetrical stable postbuckling path. Thin-Walled Struct. 2015, 86, 10–17. [Google Scholar]
- Dębski, H.; Kubiak, T.; Teter, A. Buckling and postbuckling behaviour of thin-walled composite channel section column. Compos. Struct. 2013, 100, 195–204. [Google Scholar] [CrossRef]
- Mania, R.J.; Madeo, A.; Zucco, G.; Kubiak, T. Imperfection sensitivity of post-buckling of FML channel section column. Thin-Walled Struct. 2017, 114, 32–38. [Google Scholar] [CrossRef]
- Gliszczyński, A.; Kubiak, T. Load-carrying capacity of thin-walled composite beams subjected to pure bending. Thin-Walled Struct. 2017, 115, 76–85. [Google Scholar]
- Banat, D.; Kolakowski, Z.; Mania, R.J. Investigations of FML profile buckling and post-buckling behaviour under axial compression. Thin-Walled Struct. 2016, 107, 335–344. [Google Scholar] [CrossRef]
- Pedersen, P. Some general optimal design results using anisotropic, power law nonlinear elasticity. Struct. Optim. 1998, 15, 73–80. [Google Scholar] [CrossRef]
- Lellep, J.; Majak, J. Nonlinear constitutive behavior of orthotropic materials. Mech. Compos. Mater. 2000, 36, 261–266. [Google Scholar] [CrossRef]
- Lellep, J.; Majak, J. On optimal orientation of nonlinear elastic orthotropic materials. Struct. Optim. 1997, 14, 116–120. [Google Scholar] [CrossRef]
- van der Heijden, A.M.A. W.T. Koiter’s Elastic Stability of Solids and Structures; Cambridge University Press: Cambridge, UK, 2008. [Google Scholar]
- Kubiak, T. Static and Dynamic Buckling of Thin-Walled Plate Structures; Springer: London, UK, 2013. [Google Scholar]
- Hui-Shen, S. Functionally Graded Materials—Nonlinear Analysis of Plates and Shells; CRC Press; Taylor & Francis: London, UK, 2009. [Google Scholar]
- Jha, D.K.; Kant, T.; Singht, R.K. A critical review of recent research on functionally graded plates. Compos. Struct. 2013, 96, 833–849. [Google Scholar] [CrossRef]
- Liew, K.M.; Zhao, X.; Ferreira, A.J.M. A review of meshless methods for laminated and functionally graded plates and shells. Compos. Struct. 2011, 93, 2031–2041. [Google Scholar] [CrossRef]
- Reddy, J.N. Analysis of functionally graded plates. Int. J Numer. Meth. Eng. 2000, 47, 663–684. [Google Scholar] [CrossRef]
- Swaminathan, K.; Naveenkumar, D.T.; Zenkour, A.M.; Carrera, E. Stress, vibration and buckling analyses of FGM plates—A state-of-the-art review. Compos. Struct. 2015, 120, 10–31. [Google Scholar] [CrossRef]
- Liang, K.; Ruess, M.; Abdalla, M. Co-rotational finite element formulation used in the Koiter–Newton method for nonlinear buckling analyses. Finite Elem. Anal. Des. 2016, 116, 38–54. [Google Scholar] [CrossRef]
- Kolakowski, Z.; Mania, R.J. Semi-analytical method versus the FEM for analysis of the local post-buckling. Compos. Struct. 2013, 97, 99–106. [Google Scholar] [CrossRef]
- Kolakowski, Z.; Krolak, M. Modal coupled instabilities of thin-walled composite plate and shell structures. Compos. Struct. 2006, 76, 303–313. [Google Scholar] [CrossRef]
- User’s Guide ANSYS® 18.2; Ansys, Inc.: Canonsburg, PA, USA, 2018.








| Components | Young Modulus (GPa) | Poisson’s Ratio (-) |
|---|---|---|
| Al | 70 | 0.33 |
| Al2O3 | 393 | 0.25 |
| Number of Edges | ux | uy | uz | rotx | roty | rotz | Couple Degree of Freedom in Nodes in the z-Direction | Load in the z-Direction |
|---|---|---|---|---|---|---|---|---|
| 1 | ○ | ● | const | ○ | ○ | ○ | ● | ● |
| 2 | ● | ○ | const | ○ | ○ | ○ | ● | ● |
| 3 | ○ | ● | const | ○ | ○ | ○ | ● | ● |
| 4 | ● | ○ | const | ○ | ○ | ○ | ● | ● |
| 5 | ○ | ● | ● | ○ | ○ | ○ | ○ | ○ |
| 6 | ● | ○ | ● | ○ | ○ | ○ | ○ | ○ |
| 7 | ○ | ● | ● | ○ | ○ | ○ | ○ | ○ |
| 8 | ● | ○ | ● | ○ | ○ | ○ | ○ | ○ |
| Method of Solution | Buckling Mode | Variant_1 | Variant_2 | Variant_3 |
|---|---|---|---|---|
| Finite element method (FEM) | First | 115.490 | 114.961 | 112.176 |
| Second | 162.128 | 163.014 | 162.669 | |
| Third | 177.761 | 177.344 | 177.056 | |
| Semi-analytical method (SAM) | First | 113.564 | 112.076 | 112.787 |
| Second | 162.331 | 161.046 | 162.452 | |
| Third | 176.572 | 175.507 | 176.014 |
© 2019 by the authors. Licensee MDPI, Basel, Switzerland. This article is an open access article distributed under the terms and conditions of the Creative Commons Attribution (CC BY) license (http://creativecommons.org/licenses/by/4.0/).
Share and Cite
Czechowski, L.; Kołakowski, Z. The Study of Buckling and Post-Buckling of a Step-Variable FGM Box. Materials 2019, 12, 918. https://doi.org/10.3390/ma12060918
Czechowski L, Kołakowski Z. The Study of Buckling and Post-Buckling of a Step-Variable FGM Box. Materials. 2019; 12(6):918. https://doi.org/10.3390/ma12060918
Chicago/Turabian StyleCzechowski, Leszek, and Zbigniew Kołakowski. 2019. "The Study of Buckling and Post-Buckling of a Step-Variable FGM Box" Materials 12, no. 6: 918. https://doi.org/10.3390/ma12060918
APA StyleCzechowski, L., & Kołakowski, Z. (2019). The Study of Buckling and Post-Buckling of a Step-Variable FGM Box. Materials, 12(6), 918. https://doi.org/10.3390/ma12060918
