Toughened Poly (Lactic Acid)—PLA Formulations by Binary Blends with Poly(Butylene Succinate-co-Adipate)—PBSA and Their Shape Memory Behaviour
Abstract
:1. Introduction
2. Materials and Methods
2.1. Materials.
2.2. Manufacturing of PLA/PBSA Binary Blends
2.3. Mechanical Properties
2.4. Thermal Characterization
2.5. Morphology Characterization by Field Emission Scanning Electron Microscopy (FESEM)
2.6. Shape Memory Behaviour Characterization
3. Results
3.1. Mechanical Properties and Morphology of Binary PLA/PBSA Blends
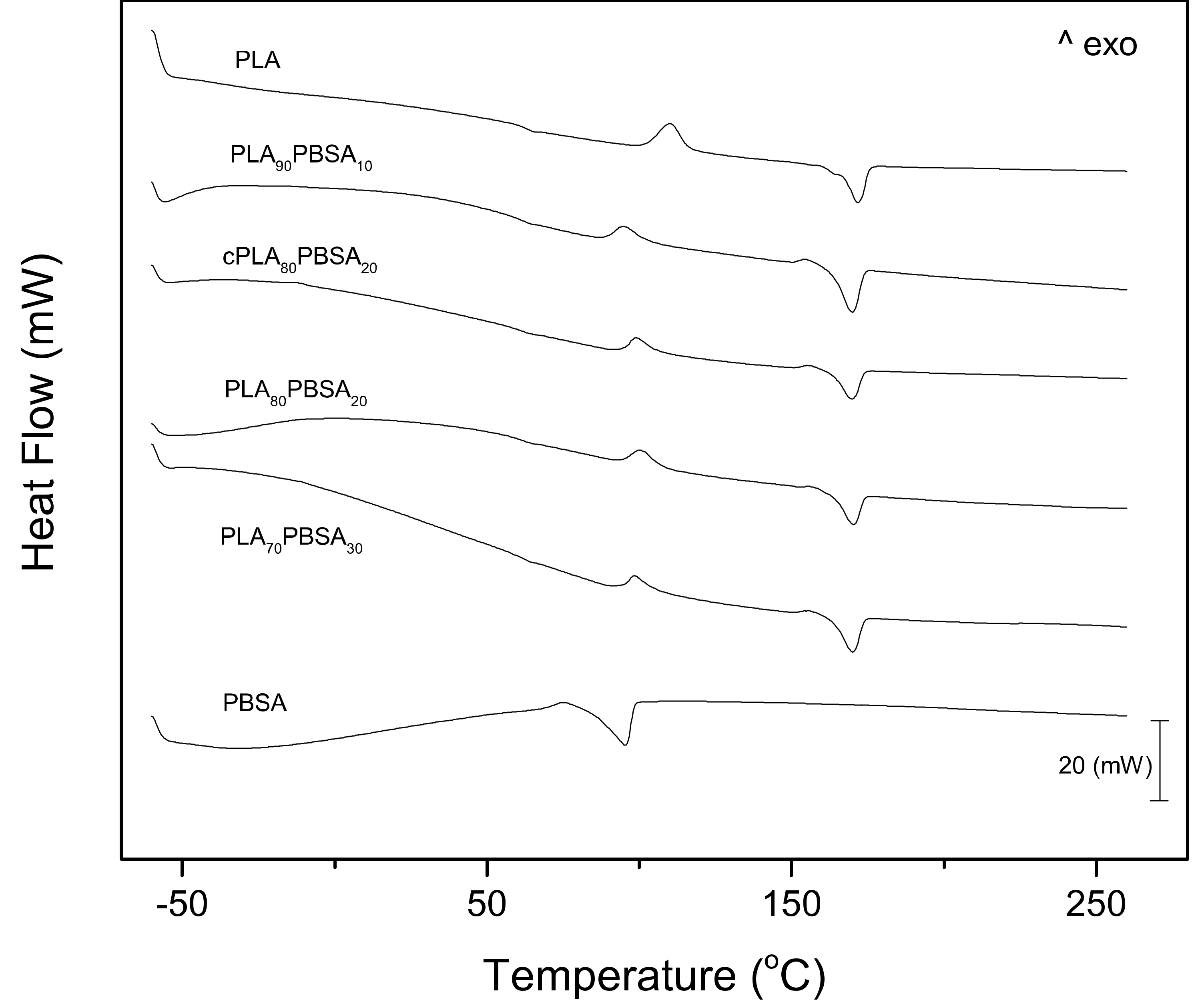
3.2. Thermal Behaviour of Binary PLA/PBSA Blends
3.3. Shape Memory Behaviour of Binary PLA/PBSA Blends
4. Conclusions
Author Contributions
Funding
Conflicts of Interest
References
- Vroman, I.; Tighzert, L. Biodegradable polymers. Materials 2009, 2, 307–344. [Google Scholar] [CrossRef]
- Axelsson, L.; Franzén, M.; Ostwald, M.; Berndes, G.; Lakshmi, G.; Ravindranath, N.H. Perspective: Jatropha cultivation in southern India: Assessing farmers’ experiences. Biofuels Bioprod. Biorefin. 2012, 6, 246–256. [Google Scholar] [CrossRef]
- Shen, L.; Haufe, J.; Patel, M.K. Product overview and market projection of emerging bio-based plastics PRO-BIP 2009. In Report for European Polysaccharide Network of Excellence (EPNOE) and European Bioplastics; Universitat Utrecht: Utrecht, The Netherlands, 2009; Volume 243. [Google Scholar]
- Brodin, M.; Vallejos, M.; Opedal, M.T.; Area, M.C.; Chinga-Carrasco, G. Lignocellulosics as sustainable resources for production of bioplastics—A review. J. Clean. Prod. 2017, 162, 646–664. [Google Scholar] [CrossRef]
- Lee, S.; Lee, J.W. Characterization and processing of Biodegradable polymer blends of poly (lactic acid) with poly (butylene succinate adipate). Korea Aust. Rheol. J. 2005, 17, 71–77. [Google Scholar]
- Matta, A.K.; Rao, R.U.; Suman, K.N.S.; Rambabu, V. Preparation and Characterization of Biodegradable PLA/PCL Polymeric Blends. MSPRO 2014, 6, 1266–1270. [Google Scholar] [CrossRef]
- Geueke, B. Dossier—Bioplastics as food contact materials. Food Packag. Forum 2014, 1–8. [Google Scholar] [CrossRef]
- Baran, A.; Vrábel, P.; Olčák, D.; Chodák, I. Solid state13C-NMR study of a plasticized PLA/PHB polymer blend. J. Appl. Polym. Sci. 2018, 135, 46296. [Google Scholar] [CrossRef]
- Pokhrel, C.P.; Ohga, S. Submerged culture conditions for mycelial yield and polysaccharides production by Lyophyllum decastes. Food Chem. 2007, 105, 641–646. [Google Scholar] [CrossRef]
- Bledzki, A.K.; Jaszkiewicz, A. Mechanical performance of biocomposites based on PLA and PHBV reinforced with natural fibres—A comparative study to PP. Compos. Sci. Technol. 2010, 70, 1687–1696. [Google Scholar] [CrossRef]
- Duesterhoeft, D. Congress, Legislation, etc.: About Congress. Blume Libr. LibGuide 2016. [Google Scholar] [CrossRef]
- Sudesh, K.; Iwata, T. Sustainability of biobased and biodegradable plastics. Clean Soil Air Water 2008, 36, 433–442. [Google Scholar] [CrossRef]
- Gruber, P.; O’Brien, M. Polylactides “NatureWorks® PLA”. Biopolym. Online 2005, 235–239. [Google Scholar] [CrossRef]
- Saleem, M.; Tanveer, F.; Ahmad, A.; Gilani, S.A. Correlation between shoulder pain and functional disability among nurses. Rawal Med. J. 2018, 43, 483–485. [Google Scholar]
- Koide, S.; Shi, J. Microbial and quality evaluation of green peppers stored in biodegradable film packaging. Food Control 2007, 18, 1121–1125. [Google Scholar] [CrossRef]
- Jonoobi, M.; Harun, J.; Mathew, A.P.; Oksman, K. Mechanical properties of cellulose nanofiber (CNF) reinforced polylactic acid (PLA) prepared by twin screw extrusion. Compos. Sci. Technol. 2010, 70, 1742–1747. [Google Scholar] [CrossRef]
- Harris, A.M.; Lee, E.C. Improving mechanical performance of injection molded PLA by controlling crystallinity. J. Appl. Polym. Sci. 2008, 107, 2246–2255. [Google Scholar] [CrossRef]
- Serna, L.; Albán, F. Ácido Poliláctico (PLA): Propiedades y Aplicaciones. Ingeniería y Competitividad 2003, 5, 16–26. [Google Scholar] [CrossRef]
- Hyon, S.-H.H. Biodegradable poly (lactic acid) microspheres for drug delivery systems. Yonsei Med. J. 2000, 41, 720–734. [Google Scholar] [CrossRef]
- Jiang, L.; Wolcott, M.P.; Zhang, J. Study of biodegradable polylactide/poly(butylene adipate-co-terephthalate) blends. Biomacromolecules 2006, 7, 199–207. [Google Scholar] [CrossRef]
- Piorkowska, E.; Kulinski, Z.; Galeski, A.; Masirek, R. Plasticization of semicrystalline poly(l-lactide) with poly(propylene glycol). Polymer 2006, 47, 7178–7188. [Google Scholar] [CrossRef]
- Martin, O.; Averous, L. Plasticization and properties of biodegradable multiphase systems polymer. Polymer 2001, 42, 6209–6219. [Google Scholar] [CrossRef]
- Burgos, N.; Martino, V.P.; Jiménez, A. Characterization and ageing study of poly(lactic acid) films plasticized with oligomeric lactic acid. Polym. Degrad. Stab. 2013, 98, 651–658. [Google Scholar] [CrossRef]
- Li, Y.; Shimizu, H. Toughening of polylactide by melt blending with a biodegradable poly(ether)urethane elastomer. Macromol. Biosci. 2007, 7, 921–928. [Google Scholar] [CrossRef] [PubMed]
- Bhatia, A.; Gupta, R.K.; Bhattacharya, S.N.; Choi, H.J. Compatibility of Biodegradable Poly (lactic acid) (PLA) and Poly (butylene succinate) (PBS) Blends for Packaging Application. Korea Aust. Rheol. J. 2007, 19, 125–131. [Google Scholar]
- Harada, M.; Ohya, T.; Iida, K.; Hayashi, H.; Hirano, K.; Fukuda, H. Increased Impact Strength of Biodegradable Poly (lactic acid)/Poly (butylene succinate) Blend Composites by Using Isocyanate as a Reactive Processing Agent. J. Appl. Polym. Sci. 2007, 106, 1813–1820. [Google Scholar] [CrossRef]
- Khatsee, S.; Daranarong, D.; Punyodom, W.; Worajittiphon, P. Electrospinning polymer blend of PLA and PBAT: Electrospinnability-solubility map and effect of polymer solution parameters toward application as antibiotic-carrier mats. J. Appl. Polym. Sci. 2018, 135, 46486. [Google Scholar] [CrossRef]
- Qin, S.X.; Yu, C.X.; Chen, X.Y.; Zhou, H.P.; Zhao, L.F. Fully Biodegradable Poly(lactic acid)/Poly(propylene carbonate) Shape Memory Materials with Low Recovery Temperature Based on in situ Compatibilization by Dicumyl Peroxide. Chin. J. Polym. Sci. 2018, 36, 783–790. [Google Scholar] [CrossRef]
- Fan, X.; Tan, B.H.; Li, Z.; Loh, X.J. Control of PLA Stereoisomers-Based Polyurethane Elastomers as Highly Efficient Shape Memory Materials. ACS Sustain. Chem. Eng. 2017, 5, 1217–1227. [Google Scholar] [CrossRef]
- Mu, T.; Liu, L.; Lan, X.; Liu, Y.; Leng, J. Shape memory polymers for composites. Compos. Sci. Technol. 2018, 160, 169–198. [Google Scholar] [CrossRef]
- Gil, E.S.; Hudson, S.M. Stimuli-reponsive polymers and their bioconjugates. Prog. Polym. Sci. 2004, 29, 1173–1222. [Google Scholar] [CrossRef]
- Balk, M.; Behl, M.; Wischke, C.; Zotzmann, J.; Lendlein, A. Recent advances in degradable lactide-based shape-memory polymers. Adv. Drug Deliv. Rev. 2016, 107, 136–152. [Google Scholar] [CrossRef] [PubMed]
- Liu, W.; Wu, N.; Pochiraju, K. Shape recovery characteristics of SiC/C/PLA composite filaments and 3D printed parts. Compos. Part A Appl. Sci. Manuf. 2018, 108, 1–11. [Google Scholar] [CrossRef]
- Hong, H.; Wei, J.; Yuan, Y.; Chen, F.-P.; Wang, J.; Qu, X.; Liu, C.-S. A novel composite coupled hardness with flexibleness-polylactic acid toughen with thermoplastic polyurethane. J. Appl. Polym. Sci. 2011, 121, 855–861. [Google Scholar] [CrossRef]
- Yasunobu, K.; Kazuhiko, F.; Yoshiharu, D.; Kunioka, M.; Kobayashi, G.; Shiotani, T.; Shima, Y.; Doi, Y.Y.; Eya, H.; Iwaki, N.; et al. Enzymatic Degradation of Polymer Blends; Doi, Y., Fukuda, K., Eds.; Elsevier: Amsterdam, The Netherlands, 1994; Volume 12, pp. 136–149. [Google Scholar]
- Chen, Y.A.; Tsai, G.S.; Chen, E.C.; Wu, T.M. Thermal degradation behaviors and biodegradability of novel nanocomposites based on various poly[(butylene succinate)-co-adipate] and modified layered double hydroxides. J. Taiwan Inst. Chem. Eng. 2017, 77, 263–270. [Google Scholar] [CrossRef]
- Pivsa-art, W.; Pivsa-art, S.; Fujii, K.; Nomura, K.; Ishimoto, K.; Aso, Y.; Yamane, H.; Ohara, H. Compression molding and melt-spinning of the blends of poly (lactic acid) and poly (butylene succinate- co -adipate). J. Appl. Polym. Sci. 2015, 132. [Google Scholar] [CrossRef]
- Tcharkhtchi, A.; Elhirisia, S.A.; Ebrahimi, K.M.; Fitoussi, J.; Shirinbayan, M.; Farzaneh, S. Partial shape memory effect of polymers. AIP Conf. Proc. 2014, 1599, 278–281. [Google Scholar]
- Ojijo, V.; Sinha Ray, S.; Sadiku, R. Role of specific interfacial area in controlling properties of immiscible blends of biodegradable polylactide and poly [(butylene succinate)-co-adipate]. ACS Appl. Mater. Interfaces 2012, 4, 6690–6701. [Google Scholar] [CrossRef] [PubMed]
- Nofar, M.; Tabatabaei, A.; Sojoudiasli, H.; Park, C.B.; Carreau, P.J.; Heuzey, M.C.; Kamal, M.R. Mechanical and bead foaming behavior of PLA-PBAT and PLA-PBSA blends with different morphologies. Eur. Polym. J. 2017, 90, 231–244. [Google Scholar] [CrossRef]
- Quiles-Carrillo, L.; Montanes, N.; Sammon, C.; Balart, R.; Torres-Giner, S. Compatibilization of highly sustainable polylactide/almond shell flour composites by reactive extrusion with maleinized linseed oil. Ind. Crops Prod. 2018, 111, 878–888. [Google Scholar] [CrossRef]
- Zhang, Y.; Yuan, X.; Liu, Q.; Hrymak, A. The Effect of Polymeric Chain Extenders on Physical Properties of Thermoplastic Starch and Polylactic Acid Blends. J. Polym. Environ. 2012, 20, 315–325. [Google Scholar] [CrossRef]
- Garcia-Campo, M.J.; Quiles-Carrillo, L.; Masia, J.; Reig-Pérez, M.J.; Montanes, N.; Balart, R. Environmentally friendly compatibilizers from soybean oil for ternary blends of poly(lactic acid)-PLA, poly(ε-caprolactone)-PCL and poly(3-hydroxybutyrate)-PHB. Materials 2017, 10, 1339. [Google Scholar] [CrossRef] [PubMed]
- Villalobos, M.; Awojulu, A.; Greeley, T.; Turco, G.; Deeter, G. Oligomeric chain extenders for economic reprocessing and recycling of condensation plastics. Energy 2006, 31, 3227–3234. [Google Scholar] [CrossRef]
- Eslami, H.; Kamal, M.R. Effect of a Chain Extender on the Rheological and Mechanical Properties of Biodegradable Poly (lactic acid)/Poly [(butylene succinate)-co-adipate] Blends. J. Appl. Polym. Sci. 2013, 129, 2418–2428. [Google Scholar] [CrossRef]
- Quiles-Carrillo, L.; Duart, S.; Montanes, N.; Torres-Giner, S.; Balart, R. Enhancement of the mechanical and thermal properties of injection-molded polylactide parts by the addition of acrylated epoxidized soybean oil. Mater. Des. 2018, 140, 54–63. [Google Scholar] [CrossRef]
- Quiles-Carrillo, L.; Montanes, N.; Garcia-Garcia, D.; Carbonell-Verdu, A.; Balart, R.; Torres-Giner, S. Effect of different compatibilizers on injection-molded green composite pieces based on polylactide filled with almond shell flour. Compos. Part B Eng. 2018, 147, 76–85. [Google Scholar] [CrossRef]
- Frenz, V.; Scherzer, D.; Villalobos, M.; Awojulu, A.; Edison, M.; Van Der Meer, R. Multifunctional polymers as chain extenders and compatibilizers for polycondensates and biopolymers. Tech. Pap. Reg. Tech. Conf. Soc. Plast. Eng. 2008, 3, 1678–1682. [Google Scholar]
- Dogan, S.K.; Boyacioglu, S.; Kodal, M.; Gokce, O.; Ozkoc, G. Thermally induced shape memory behavior, enzymatic degradation and biocompatibility of PLA/TPU blends: “Effects of compatibilization”. J. Mech. Behav. Biomed. Mater. 2017, 71, 349–361. [Google Scholar] [CrossRef] [PubMed]
- Peponi, L.; Navarro-Baena, I.; Sonseca, A.; Gimenez, E.; Marcos-Fernandez, A.; Kenny, J.M. Synthesis and characterization of PCL-PLLA polyurethane with shape memory behavior. Eur. Polym. J. 2013, 49, 893–903. [Google Scholar] [CrossRef]







| Code | PLA (wt %) | PBSA (wt %) | Joncryl® ADR (phr *) |
|---|---|---|---|
| PLA | 100 | - | - |
| PLA90PBSA10 | 90 | 10 | - |
| cPLA80PBSA20 | 80 | 20 | 0.5 |
| PLA80PBSA20 | 80 | 20 | - |
| PLA70PBSA30 | 70 | 30 | - |
| PBSA | - | 100 | - |
| Code | Tensile Strength, σT (MPa) | Elastic Modulus, ET (MPa) | Elongation at Break, εb (%) |
|---|---|---|---|
| PLA | 64.0 ± 1.2 | 1165 ± 44 | 9.2 ± 1.5 |
| PLA90PBSA10 | 52.6 ± 0.8 | 1012 ± 21 | 12.2 ± 3.8 |
| cPLA80PBSA20 | 41.2 ± 2.0 | 754 ± 47 | 121.2 ± 18.7 |
| PLA80PBSA20 | 42.0 ± 3.6 | 849 ± 75 | 29.7 ± 6.3 |
| PLA70PBSA30 | 37.7 ± 3.0 | 625 ± 72 | 56.5 ± 10.3 |
| PBSA | 18.3 ± 1.6 | 159 ± 61 | 432.7 ± 57.4 |
| Code | Impact Strength (kJ m−2) (“V” notched) | Impact Strength (kJ m−2) (unnotched) | Shore D Hardness |
|---|---|---|---|
| PLA | 2.48 ± 0.22 | 28.10 ± 2.40 | 78.80 ± 0.84 |
| PLA90PBSA10 | 2.54 ± 0.34 | 23.03 ± 2.80 | 74.00 ± 2.74 |
| cPLA80PBSA20 | 4.33 ± 0.02 | 28.90 ± 0.85 | 75.00 ± 1.00 |
| PLA80PBSA20 | 3.28 ± 0.28 | 27.52 ± 2.13 | 73.00 ± 1.41 |
| PLA70PBSA30 | 5.75 ± 0.60 | N/B | 72.20 ± 1.60 |
| PBSA | 26.02 ± 0.60 | N/B | 57.00 ± 0.71 |
| Code | Tg_PLA (°C) | Tcc_PLA (°C) | Tm_PLA (°C) | Tm_PBSA (°C) |
|---|---|---|---|---|
| PLA | 63.4 ± 0.6 | 109.9 ± 1.1 | 170.9 ± 3.3 | - |
| PLA90PBSA10 | 61.1 ± 1.2 | 94.5 ± 1.7 | 168.9 ± 2.2 | - |
| cPLA80PBSA20 | 61.1 ± 0.9 | 98.7 ± 1.4 | 168.8 ± 2.7 | - |
| PLA80PBSA20 | 61.7 ± 0.6 | 100.3 ± 1.2 | 169.4 ± 2.6 | - |
| PLA70PBSA30 | 60.6 ± 1.2 | 97.9 ± 1.0 | 168.7 ± 2.9 | - |
| PBSA | - | - | - | 95.2 ± 1.4 |
| Code | TGA | ||
|---|---|---|---|
| T5% (°C) | TMax (°C) | MassResidual (%) | |
| PLA | 328.7 ± 5.25 | 368.1 ± 6.3 | 0.05 ± 0.01 |
| PLA90PBSA10 | 317.0 ± 4.4 | 362.5 ± 4.3 | 0.02 ± 0.02 |
| cPLA80PBSA20 | 319.3 ± 3.5 | 365.4 ± 5.2 | 0.12 ± 0.02 |
| PLA80PBSA20 | 312.3 ± 5.2 | 359.5 ± 5.4 | 1.37 ± 0.01 |
| PLA70PBSA30 | 314.7 ± 4.7 | 355.8 ± 5.7 | 0.20 ± 0.01 |
| PBSA | 317.0 ± 5.7 | 405.3 ± 7.8 | 0.01 ± 0.01 |
| Code | Permanent Shape (o) | Temporal Shape (o) | Final Shape (o) | Recovery (%) | Temporal Shape (o) | Final Shape (o) | Recovery (%) |
|---|---|---|---|---|---|---|---|
| PLA | 180 | 90 | 153 | 70 | 120 | 155 | 58 |
| PLA90PBSA10 | 155 | 72 | 158 | 63 | |||
| cPLA80PBSA20 | 108 | 20 | 141 | 35 | |||
| PLA80PBSA20 | 144 | 60 | 146 | 43 | |||
| PLA70PBSA30 | 109 | 21 | 140 | 33 |
© 2019 by the authors. Licensee MDPI, Basel, Switzerland. This article is an open access article distributed under the terms and conditions of the Creative Commons Attribution (CC BY) license (http://creativecommons.org/licenses/by/4.0/).
Share and Cite
Lascano, D.; Quiles-Carrillo, L.; Balart, R.; Boronat, T.; Montanes, N. Toughened Poly (Lactic Acid)—PLA Formulations by Binary Blends with Poly(Butylene Succinate-co-Adipate)—PBSA and Their Shape Memory Behaviour. Materials 2019, 12, 622. https://doi.org/10.3390/ma12040622
Lascano D, Quiles-Carrillo L, Balart R, Boronat T, Montanes N. Toughened Poly (Lactic Acid)—PLA Formulations by Binary Blends with Poly(Butylene Succinate-co-Adipate)—PBSA and Their Shape Memory Behaviour. Materials. 2019; 12(4):622. https://doi.org/10.3390/ma12040622
Chicago/Turabian StyleLascano, Diego, Luis Quiles-Carrillo, Rafael Balart, Teodomiro Boronat, and Nestor Montanes. 2019. "Toughened Poly (Lactic Acid)—PLA Formulations by Binary Blends with Poly(Butylene Succinate-co-Adipate)—PBSA and Their Shape Memory Behaviour" Materials 12, no. 4: 622. https://doi.org/10.3390/ma12040622
APA StyleLascano, D., Quiles-Carrillo, L., Balart, R., Boronat, T., & Montanes, N. (2019). Toughened Poly (Lactic Acid)—PLA Formulations by Binary Blends with Poly(Butylene Succinate-co-Adipate)—PBSA and Their Shape Memory Behaviour. Materials, 12(4), 622. https://doi.org/10.3390/ma12040622

