Stochastic Constitutive Model of Isotropic Thin Fiber Networks Based on Stochastic Volume Elements
Abstract
1. Introduction
2. Technical Background
2.1. Direct Simulation of a Thin Fiber Network
- The fiber geometry is chosen from the fiber characterization data acquired with FiberLab (Valmet Fiber Image Analyzer), which is an apparatus for measuring fiber characteristics. It contains length, width, height, wall thickness, and curvature. The curvature is represented through an arc of constant curvature located in a single plane parallel to the deposition plane. The cross-sectional data is corrected using microtomography scans of a paper produced using the considered softwood kraft pulp. The details of the correction are described elsewhere [6].
- The fiber orientation is chosen randomly in this work although it can be controlled to match a specific distribution.
- The fiber position before deposition onto the domain is chosen randomly.
- The first fibers are deposited on the flat plane consecutively from above or below. For the subsequent fibers, we first find the intersection between them and the previously deposited fibers in the plane (Figure 2a).
- The found intersection points are lifted discretely to exclude penetration (Figure 2b). The contact search diameter depicted in the figure corresponds to the height of the fiber, which is smaller or equal to the width of the fiber normally.
- The fiber geometry is smoothed to remove discontinuities caused by the previous step (Figure 2c). During the smoothing, we control the maximum angle the fibers can form, and it was set to 5 degrees in this study.
- When the grammage (the basis weight or the weight per unit area) of the network has reached the prescribed value, the deposition procedure is stopped. The grammage used in this work was 28 g/m2, which is relatively low but corresponds to the set of handsheets used to calibrate the measurements in Reference [6].
- The thickness of the network is evaluated and measured using the procedure described in Reference [6]. Thereafter, the thickness is brought to the target value by uniform scaling of the coordinates in the thickness direction with respect to the center plane of the network. The target value in this study was 68 micrometers, which corresponds to the measured value used in the calibration [6]. The scaling may result in interpenetration, which are zeroed out during the subsequent computations.
2.2. Multi-Scale Modeling
2.3. Random Field Representation
3. Continuum Random Realization and Mechanical Failure of Thin Fiber Networks
3.1. Overview of Methodology
3.2. Characterization and Simulation of Random Spatial Fields of Strength and Strain to Failure Based on Stochastic Volume Elements (SVEs)
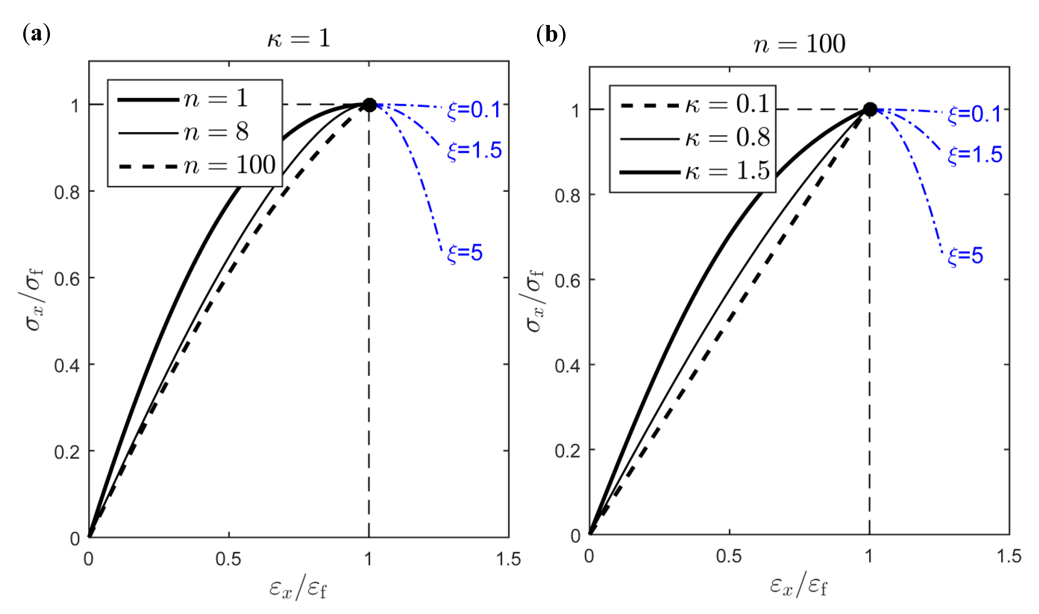
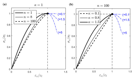
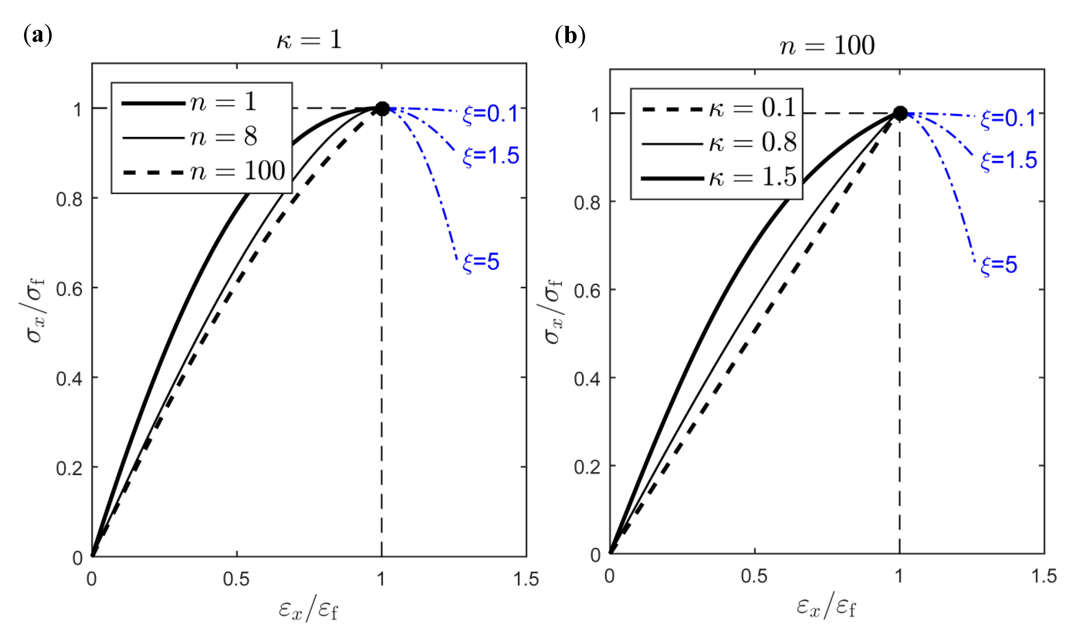
3.3. Constitutive Model
3.4. Finite-Element Implementation
3.5. Summary of the Proposed Stochastic Constitutive Model
4. Results
4.1. Determination of SVE Size-Dependent Stochastic Constitutive Model Parameters
4.2. Continuum Reconstruction of A 18 × 18 mm2 Sample and Choice of SVE Size
4.3. Random Continuum Simulation of 18 × 18 mm2 and A4 Paper Sample
4.4. Simulation of Stochastic Failure in Paper-Making Machines
5. Discussion
6. Conclusions
- A stochastic constitutive model was proposed for isotropic fiber networks.
- The effect of fiber disorder for isotropic fiber networks can be quantified at the macromechanical level using the proposed method.
- In order to implement the stochastic constitutive model, eight SVE size-specific material parameters are necessary.
- The randomness in the model was simulated using random field realizations of strain to failure and strength. An epistemic uncertainty parameter also contributes to the randomness.
- Different characteristic lengths for the spatial fields of strain to failure and strength are assumed, which is in agreement with what is observed in direct fiber network simulation.
- The proposed model speeds up the simulation time of fiber networks compared to direct numerical simulations. A 24 mm × 24 mm simulation takes 2 min on a modern 128 GB RAM supercomputer while a corresponding direct fiber network simulation takes 2 days.
- The constitutive model captures the transition from ductile behavior for small sample size to semi-brittle behavior for larger sample size (Section 4.3).
Supplementary Materials
Author Contributions
Funding
Conflicts of Interest
References
- Uesaka, T. Statistical aspects of failure of paper products. In Mechanics of Paper Products (Chapt 8); Niskanen, K., Ed.; De Gruyter: Berlin, Germany; Boston, MA, USA, 2012. [Google Scholar]
- Hristopulos, D.T.; Uesaka, T. Structural disorder effects on the tensile strength distribution of heterogeneous brittle materials with emphasis on fiber network. Phys. Rev. B 2004, 70, 064108. [Google Scholar] [CrossRef]
- Uesaka, T.; Juntunen, J. Time-dependent, stochastic failure of paper and box. Nord. Pulp Pap. Res. J. 2012, 27, 370–374. [Google Scholar] [CrossRef]
- Mattsson, A.; Uesaka, T. Characterisation of time-dependent, statistical failure of cellulose fibre network. Cellulose 2018, 25, 2817–2828. [Google Scholar] [CrossRef]
- Kulachenko, A.; Uesaka, T. Direct simulations of fiber network deformation and failure. Mech. Mater. 2012, 51, 1–14. [Google Scholar] [CrossRef]
- Borodulina, S.; Motamedian, H.R.; Kulachenko, A. Effect of fiber and bond strength variations on the tensile stiffness and strength of fiber networks. Int. J. Solids Struct. 2018, 154, 19–32. [Google Scholar] [CrossRef]
- Borodulina, S.; Kulachenko, A.; Tjahjanto, D.D. Constitutive modeling of a paper fiber in cyclic loading applications. Comput. Mate. Sci. 2015, 110, 227–240. [Google Scholar] [CrossRef]
- Borodulina, S.; Nygårds, M.; Kulachenko, A. Stress-strain curve of paper revisited. Nord. Pulp Pap. Res. J. 2012, 27, 318–328. [Google Scholar] [CrossRef]
- Li, Y.; Chen, Z.; Su, L.; Chen, W.; Jin, X.; Xu, H. Stochastic Reconstruction and Microstructure Modeling of SMC Chopped Fiber Composites. Compos. Struct. 2018, 200, 153–164. [Google Scholar] [CrossRef]
- Chen, Z.; Huang, T.; Shao, Y.; Li, Y.; Xu, H.; Avery, K.; Zeng, D.; Chen, W.; Su, X. Multiscale finite element modeling of sheet molding compound (SMC) composite structure based on stochastic mesostructured reconstruction. Compos. Struct. 2018, 188, 25–38. [Google Scholar] [CrossRef]
- Domaschke, S.; Zundel, M.; Mazza, E.; Ehret, A.E. A 3D computational model of electrospun networks and its application to inform a reduced modelling approach. Int. J. Solid Struct. 2018, 158, 76–89. [Google Scholar] [CrossRef]
- Ban, E.; Barocas, V.H.; Shephard, M.S.; Picu, C.R. Effect of fiber crimp on the elasticity of random fiber network with and without embedding matrices. J. Mech. Des. 2016, 83, 041008. [Google Scholar] [CrossRef] [PubMed]
- Godinho, P.M.J.S.; Jajcinovic, M.; Wagner, L.; Vass, V.; Fischer, W.J.; Bader, T.K.; Ulrich, H.; Bauer, W.; Eberhardsteiner, J.; Hellmich, C. A continuum micromechanics approach to the elasticity and strength of planar fiber networks: Theory and application to paper sheets. Eur. J. Mech. A Solids 2018. In Press. [Google Scholar] [CrossRef]
- Beex, L.A.A.; Peerlings, R.H.J.; Geers, M.G.D. A multiscale quasicontinuum method for lattice models with bond failure and fiber sliding. Comput. Methods Appl. Mech. Eng. 2014, 269, 108–122. [Google Scholar] [CrossRef]
- Marulier, C.; Dumont, P.J.J.; Orgéas, L.; Caillerie, D.; Rolland du Roscoat, S. Towards 3D analysis of pulp fibre networks at the fibre and bond levels. Nord. Pulp Pap. Res. J. 2012, 27, 245–255. [Google Scholar] [CrossRef]
- Bakar, I.A.A.; Kramer, O.; Bordas, S.; Rabczuk, T. Optimization of elastic properties and weaving patterns of woven composites. Compos. Struct. 2013, 100, 575–591. [Google Scholar] [CrossRef]
- Wang, W.; Dai, Y.; Zhang, C.; Gao, X.; Zhao, M. Micromechanical Modeling of Fiber-Reinforced Composites with Statistically Equivalent Random Fiber Distribution. Materials 2016, 9, 624. [Google Scholar] [CrossRef] [PubMed]
- Yin, X.; Chen, W.; To, A.; McVeigh, C.; Liu, W.K. Statistical volume element method for predicting microstructure-constitutive property relations. Comput. Methods Appl. Mech. Eng. 2008, 197, 3516–3529. [Google Scholar] [CrossRef]
- Xu, H.; Greene, M.S.; Deng, H.; Dikin, D.; Brinson, C.; Liu, W.K.; Burkhart, C.; Papakonstantopoulos, G.; Poldneff, M.; Chen, W. Stochastic reassembly strategy for managing information complexity in heterogeneous materials analysis and design. J. Mech. Des. 2013, 135, 101010. [Google Scholar] [CrossRef]
- Liu, Y.; Greene, M.S.; Chen, W.; Dikin, D.A.; Liu, W.K. Computational microstructure characterization and reconstruction for stochastic multiscale material design. Comput.-Aided Des. 2013, 45, 65–76. [Google Scholar] [CrossRef]
- Hu, A.; Li, X.; Ajdari, A.; Jiang, B.; Burkhart, C.; Chen, W.; Brinson, C. Computational analysis of particle reinforced viscoelastic polymer nanocomposites—statistical study of representative volume element. J. Mech. Phys. Solids 2018, 114, 55–74. [Google Scholar] [CrossRef]
- Lucas, V.; Golinval, J.-C.; Paquay, S.; Nguyen, V.-D.; Noels, L.; Wu, L. A stochastic computational multiscale approach; Application to MEMS resonators. Comput. Methods Appl. Mech. Engrg. 2015, 294, 141–167. [Google Scholar] [CrossRef]
- Motamedian, H.R.; Kulachenko, A. Rotational Constraint between Beams in 3-D Space. Mech. Sci. 2018, 9, 373–387. [Google Scholar] [CrossRef]
- Ibrahimbegovic, A. On finite element implementation of geometrically nonlinear Reissner’s beam theory: Three-dimensional curved beam elements. Comput. Methods Appl. Mech. Eng. 1995, 122, 11–26. [Google Scholar] [CrossRef]
- Stapleton, S.E.; Appel, L.; Simon, J.-W.; Reese, S. Representative volume element for parallel fiber bundles: Model and size convergence. Compos. Part A Appl. Sci. Manuf. 2016, 87, 170–185. [Google Scholar] [CrossRef]
- Sonon, B.; Massart, T.J. A Level-Set Based Representative Volume Element Generator and XFEM Simulations for Textile and 3D-Reinforced Composites. Materials 2013, 6, 5568–5592. [Google Scholar] [CrossRef] [PubMed]
- Geers, M.G.D.; Kouznetsova, V.G.; Matouš, K.; Yvonnet, J. Homogenization Methods and Multiscale Modeling: Nonlinear Problems. In Encyclopedia Computational Mechanics, 2nd ed.; Wiley Online Library: Hoboken, NJ, USA, 2017. [Google Scholar]
- Sun, W.C.; Andrade, J.E.; Rudnicki, J.W. Multiscale method for characterization of porous microstructures and their impact on macroscopic effective permeability. Int. J. Numer. Meth. Eng. 2011, 88, 1260–1279. [Google Scholar] [CrossRef]
- Gitman, I.M.; Askes, H.; Sluys, L.J. Representative Volume: Existence and size determination. Eng. Fract. Mech. 2007, 74, 2518–2534. [Google Scholar] [CrossRef]
- Hashin, Z. Analysis of Composite Materials—A Survey. J. Appl. Mech. 1983, 50, 481–505. [Google Scholar] [CrossRef]
- Ghanem, R.G.; Spanos, P.D. Stochastic Finite Elements: A Spectral Approach; Springer: New York, NY, USA, 1991. [Google Scholar]
- Chen, W.; Yin, X.; Lee, S.; Liu, W.K. A multiscale design methodology for hierarchical systems with random uncertainties. J. Mech. Des. 2010, 132, 041006. [Google Scholar] [CrossRef]
- Yin, X.; Lee, S.; Chen, W.; Liu, W.K. Efficient Random Field Uncertainty Propagation in Design Using Multiscale Analysis. J. Mech. Des. 2009, 131, 021006. [Google Scholar] [CrossRef]
- Ghanem, R.G.; Doostan, A. On the construction and analysis of stochastic models: Characterization and propagation of the errors associated with limited data. J. Comput. Phys. 2006, 217, 63–81. [Google Scholar] [CrossRef]
- Clément, A.; Soize, C.; Yvonnet, J. Uncertainty quantification in computational stochastic multiscale analysis of nonlinear elastic materials. Comput. Methods Appl. Mech. Eng. 2013, 254, 61–82. [Google Scholar] [CrossRef]
- Mansour, R.; Olsson, M. Response surface single loop method with higher order reliability assessment. Struct. Multidiscip. Optim. 2016, 54, 63–79. [Google Scholar] [CrossRef]
- Popescu, R.; Deodatis, G.; Prevost, J.H. Simulation of homogenous nonGaussian stochastic vector fields. Probab. Eng. Mech. 1998, 13, 1–13. [Google Scholar]
- Rassmussen, C.E.; Williams, C.K.I. Gaussian Process for Machine Learning; The MIT Press: London, UK, 2006. [Google Scholar]
- Greene, M.S.; Liu, Y.; Chen, W.; Liu, W.K. Computational uncertainty analysis in multiresolution materials via stochastic. Comput. Methods Appl. Mech. Eng. 2011, 200, 309–325. [Google Scholar] [CrossRef]
- Ottosen, N.; Ristinmaa, M. The Mechanics of Constitutive Modelling; Elsevier: London, UK, 2005. [Google Scholar]
- Mansour, R.; Olsson, M. Efficient reliability assessment with the conditional probability method. J. Mech. Des. 2018, 140, 081402. [Google Scholar] [CrossRef]
- Mansour, R.; Olsson, M. A Closed-Form Second-Order Reliability Method Using Noncentral Chi-Squared Distributions. J. Mech. Des. 2014, 136, 101402. [Google Scholar] [CrossRef]
- Aoues, Y. A Chateauneuf, Benchmark study of numerical methods for reliability-based design optimization. Struct. Multidiscip. Optim. 2010, 41, 277–294. [Google Scholar] [CrossRef]



















| Mean | SD | |
|---|---|---|
| Fiber length, mm | 2.34 | 0.90 |
| Fiber width, µm | 23.83 | 7.09 |
| Fiber wall thickness, µm | 3.96 | 1.90 |
| WH ratio, (-) | 2.9 | 1.72 |
| Fiber shape factor | 0.945 | 0.015 |
| Maximum interface angle, ° | 5 | - |
| Radius swelling factor 1, (-) | 0.78 | 0.68 |
| Wall thickness swelling factor, (-) | 0.528 | 0.31 |
| Elastic Modulus, GPa | Tangent Modulus, GPa | Yield Stress, MPa |
|---|---|---|
| 30 | 10 | 150 |
| Tangential Direction | Normal Direction | |
|---|---|---|
| Bond strength, mN | 11.00 | 2.75 |
| Bond stiffness, 109 N/m | 8.90 | 8.00 |
| Separation distance, µm | 1.56 | 0.35 |
| Steps | Details | |
|---|---|---|
| Characterization | 1D Sampling of: and | Figure 5a,b |
| Computing Pearson’s correlation coefficients: | Equation (9) | |
| Fitting probability distribution of: and | Equation (10) Figure 5c | |
| Transformation to correlated Gaussian fields: and | Equation (11) Figure 5d | |
| Average distance between two zero level upcrossings: and | Equations (12) and (13) Figure 11 b,c | |
| Modeling of auto- and cross-covariance function for multivariate Gaussian fields: , , | Equation (14) Equation (15) | |
| Determination of constants: Initial guesses: | Equation (19) Equation (20) | |
| Simulation | Simulation using Karhunen-Loeve expansion of 2D correlated Gaussian fields: and | Equation (21) |
| Transformation to original random field: and | Equation (22) |
| SVE Size | ||||||||
|---|---|---|---|---|---|---|---|---|
| 6 × 6 | 40.7 | 0.5058 | 0.7702 | 0.0671 | 0.85 | 1.95 | 0.55 | 1.25 |
| 4 × 4 | 34.6 | 0.4591 | 0.8017 | 0.0977 | 0.80 | 1.90 | 0.65 | 1.20 |
| Constraints | Initial Guess | |||||
|---|---|---|---|---|---|---|
| 0.55 | 6.3 | 11.9 | 0.55 | 1.0 | 1.9 | 1.45 |
© 2019 by the authors. Licensee MDPI, Basel, Switzerland. This article is an open access article distributed under the terms and conditions of the Creative Commons Attribution (CC BY) license (http://creativecommons.org/licenses/by/4.0/).
Share and Cite
Mansour, R.; Kulachenko, A.; Chen, W.; Olsson, M. Stochastic Constitutive Model of Isotropic Thin Fiber Networks Based on Stochastic Volume Elements. Materials 2019, 12, 538. https://doi.org/10.3390/ma12030538
Mansour R, Kulachenko A, Chen W, Olsson M. Stochastic Constitutive Model of Isotropic Thin Fiber Networks Based on Stochastic Volume Elements. Materials. 2019; 12(3):538. https://doi.org/10.3390/ma12030538
Chicago/Turabian StyleMansour, Rami, Artem Kulachenko, Wei Chen, and Mårten Olsson. 2019. "Stochastic Constitutive Model of Isotropic Thin Fiber Networks Based on Stochastic Volume Elements" Materials 12, no. 3: 538. https://doi.org/10.3390/ma12030538
APA StyleMansour, R., Kulachenko, A., Chen, W., & Olsson, M. (2019). Stochastic Constitutive Model of Isotropic Thin Fiber Networks Based on Stochastic Volume Elements. Materials, 12(3), 538. https://doi.org/10.3390/ma12030538

