Effect of Layer Thickness in Layered Aluminum Matrix Syntactic Foam
Abstract
1. Introduction
2. Materials and Methods
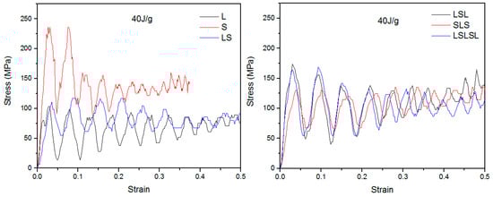
3. Results
4. Conclusions
Supplementary Materials
Author Contributions
Funding
Conflicts of Interest
References
- Kiser, M.; He, M.Y.; Zok, F.W. The mechanical response of ceramic microballoon reinforced aluminum matrix composites under compressive loading. Acta Mater. 2009, 47, 2685–2694. [Google Scholar] [CrossRef]
- Alizadeh, M.; Mirzaei-Aliabadi, M. Compressive properties and energy absorption behavior of Al-Al2O3 composite foam synthesized by space-holder technique. Mater. Des. 2012, 35, 419–424. [Google Scholar] [CrossRef]
- Rohatgi, P.K.; Gajdardziska-Josifovska, M.; Robertson, D.P.; Kim, J.K.; Guo, R.Q. Age-hardening characteristics of aluminum alloy-hollow fly ash composites. Metall. Mater. Trans. A 2002, 33, 1541–1547. [Google Scholar] [CrossRef]
- Rohatgi, P.K.; Daoud, A.; Schultz, B.F.; Puri, T. Microstructure and mechanical behavior of die casting AZ91D-fly ash cenosphere composites. Compos. Part A 2009, 40, 883–896. [Google Scholar] [CrossRef]
- Goel, M.D.; Matsagar, V.A.; Gupta, A.K. Blast resistance of stiffened sandwich panels with aluminum cenosphere syntactic foam. Int. J. Impact Eng. 2015, 77, 134–146. [Google Scholar] [CrossRef]
- Lin, Y.; Zhang, Q.; Wu, G. Interfacial microstructure and compressive properties of Al-Mg syntactic foam reinforced with glass cenospheres. J. Alloy. Compd. 2016, 655, 301–308. [Google Scholar] [CrossRef]
- Szlancsika, A.; Katona, B.; Bobora, K.; Májlingera, K.; Orbulova, I.N. Compressive behaviour of aluminium matrix syntactic foams reinforced by iron hollow spheres. Mater. Des. 2015, 83, 230–237. [Google Scholar] [CrossRef]
- Zhang, L.P.; Zhao, Y.Y. Mechanical response of Al matrix syntactic foams produced by pressure infiltration casting. J. Compos. Mater. 2007, 41, 2105–2117. [Google Scholar] [CrossRef]
- Tao, X.F.; Zhao, Y.Y. Compressive failure of Al alloy matrix syntactic foams manufactured by melt infiltration. J. Mater. Sci. Eng. A 2019, 549, 228–232. [Google Scholar] [CrossRef]
- Altenaiji, M.; Guan, Z.W.; Cantwell, W.J.; Zhao, Y.; Schleyer, G.K. Characterisation of aluminium matrix syntactic foams under drop weight impact. Mater. Des. 2014, 59, 296–302. [Google Scholar] [CrossRef]
- Altenaiji, M.; Guan, Z.W.; Cantwell, W.; Zhao, Y.Y. Characterisation of aluminium matrix syntactic foams dynamic loading. Adv. Mech. Manuf. Eng. 2014, 564, 449–454. [Google Scholar] [CrossRef]
- Tao, X.F.; Zhang, L.P.; Zhao, Y.Y. Al matrix syntactic foam fabricated with bimodal ceramic microspheres. Mater. Des. 2009, 30, 2732–2736. [Google Scholar] [CrossRef]
- Tao, X.F.; Zhao, Y.Y. Compressive behavior of Al matrix syntactic foams toughened with Al particles. Scripta Mater. 2009, 61, 461–464. [Google Scholar] [CrossRef]
- Kishore; Shankar, R.; Sankaran, S. Gradient syntactic foams: tensile strength, modulus and fractographic features. Mater. Sci. Eng. A. 2005, 412, 153–158. [Google Scholar] [CrossRef]
- Jamil, A.; Guan, Z.W.; Cantwell, W.J. The static and dynamic response of CFRP tube reinforced polyurethane. Compos. Struct. 2017, 161, 85–92. [Google Scholar] [CrossRef]
- Gupta, N.; Ricci, W. Comparison of compressive properties of layered syntactic foams having gradient in microballoon volume fraction and wall thickness. Mater. Sci. Eng. A 2006, 427, 331–342. [Google Scholar] [CrossRef]
- Movahedi, N.; Murch, G.E.; Belova, I.V.; Fiedler, T. Functionally graded metal syntactic foam: fabrication and mechanical properties. Mater. Des. 2019, 168, 107652. [Google Scholar] [CrossRef]
- Duan, Q.Q.; Qu, R.T.; Zhang, P.; Zhang, Z.J.; Zhang, Z.F. Intrinsic impact toughness of relatively high strength alloys. Acta Mater. 2018, 142, 226–235. [Google Scholar] [CrossRef]
- Pham, T.M.; Chen, W.; Kingston, J.; Hao, H. Impact response and energy absorption of single phase syntactic foam. Compos. Part B 2018, 150, 226–233. [Google Scholar] [CrossRef]
- Rousseau, C.; Plume, G.; Goñi, M.; Ale, B. Behavior of syntactic foam under plate impact. Mech. Res. Commun. 2017, 83, 1–5. [Google Scholar] [CrossRef]
- Castro, G.; Nutt, S.R.; Wenchen, X. Compression and low-velocity impact behavior of aluminum syntactic foam. Mech. Res. Commun. 2013, 578, 222–229. [Google Scholar] [CrossRef]
- Broxtermann, S.; Vesenjak, M.; Krstulovic-Opara, L.; Fiedler, T. Quasi static and dynamic compression of zinc syntactic foams. J. Alloy. Compd. 2018, 768, 962–969. [Google Scholar] [CrossRef]
- Johnson, W. Impact Strength of Materials; Edward Arnold: London, UK, 1972; pp. 225–229. [Google Scholar]







| Specimen Label | Incident Energy (J/g) | ||||||||||
|---|---|---|---|---|---|---|---|---|---|---|---|
| L-1 | 40 | S-1 | 10 | LS-1 | 40 | LSL-1 | 30 | SLS-1 | 40 | LSLSL-1 | 30 |
| L-2 | 50 | S-2 | 20 | LS-2 | 50 | LSL-2 | 40 | SLS-2 | 50 | LSLSL-2 | 40 |
| L-3 | 60 | S-3 | 30 | LS-3 | 60 | LSL-3 | 50 | SLS-3 | 60 | LSLSL-3 | 50 |
| L-4 | 70 | S-4 | 40 | LS-4 | 70 | LSL-4 | 60 | SLS-4 | 70 | LSLSL-4 | 60 |
| Label | Porosity | Yield Stress (MPa) | Young’s Modulus (GPa) | Energy (Up to 50% Strain) (J/g) |
|---|---|---|---|---|
| L | 55% ± 2% | 60 ± 3 | 3 ± 0.2 | 20.3 ± 1 |
| S | 55% ± 2% | 140 ± 5 | 3.2 ± 0.2 | 32.1 ± 2 |
| LS | 55% ± 2% | 100 ± 4 | 2.8 ± 0.2 | 25.5 ± 1.5 |
| LSL | 55% ± 2% | 105 ± 5 | 3 ± 0.2 | 23.3 ± 1.5 |
| SLS | 55% ± 2% | 100 ± 5 | 1.8 ± 0.2 | 24.6 ± 1.5 |
| LSLSL | 55% ± 2% | 125 ± 4 | 3.1 ± 0.2 | 21.9 ± 1.5 |
| L Thickness | S Thickness | Ductility | ||||||
| 10 J/g | 20 J/g | 30 J/g | 40 J/g | 50 J/g | 60 J/g | 70 J/g | ||
| 100% | 0% (L) | - | - | - | D | D | D | D |
| 50% | 50% (LS) | - | - | - | D | D | D | DB |
| 25% + 25% (SLS) | - | - | D | D | D | DB | - | |
| 25% + 25% | 50% (LSL) | - | - | D | D | DB | B | - |
| 17% + 17% + 17% | 25% + 25% (LSLSL) | - | - | D | DB | DB | B | - |
| 0% | 100% (S) | D | DB | B | B | - | - | - |
| L Thickness | S Thickness | Peak Stress (MPa) | ||||||
| 10 J/g | 20 J/g | 30 J/g | 40 J/g | 50 J/g | 60 J/g | 70 J/g | ||
| 100% | 0% (L) | - | - | - | 100 | 95 | 110 | 101 |
| 50% | 50% (LS) | - | - | - | 110 | 130 | 125 | 150 |
| 25% + 25% (SLS) | - | - | - | 114 | 130 | 134 | 142 | |
| 25% + 25% | 50% (LSL) | - | - | 141 | 148 | 152 | 164 | - |
| 17% + 17% + 17% | 25% + 25% (LSLSL) | - | - | 152 | 165 | 169 | 186 | - |
| 0% | 100% (S) | 174 | 200 | 208 | 236 | - | - | - |
| L Thickness | S Thickness | Emax (J/g) | ||||||
| 10 J/g | 20 J/g | 30 J/g | 40 J/g | 50 J/g | 60 J/g | 70 J/g | ||
| 100% | 0% (L) | - | - | - | 24 | 24 | 24 | 25 |
| 50% | 50% (LS) | - | - | - | 34 | 35 | 35 | - |
| 25% + 25% (SLS) | - | - | 30 | 34 | 33 | - | - | |
| 25% + 25% | 50% (LSL) | - | - | 30 | 33 | - | - | - |
| 17% + 17% + 17% | 25% + 25% (LSLSL) | - | - | 30 | - | - | - | - |
| 0% | 100% (S) | 10 | - | - | - | - | - | - |
© 2019 by the authors. Licensee MDPI, Basel, Switzerland. This article is an open access article distributed under the terms and conditions of the Creative Commons Attribution (CC BY) license (http://creativecommons.org/licenses/by/4.0/).
Share and Cite
Qian, C.; Liang, C.; He, Z.; Ji, W. Effect of Layer Thickness in Layered Aluminum Matrix Syntactic Foam. Materials 2019, 12, 4172. https://doi.org/10.3390/ma12244172
Qian C, Liang C, He Z, Ji W. Effect of Layer Thickness in Layered Aluminum Matrix Syntactic Foam. Materials. 2019; 12(24):4172. https://doi.org/10.3390/ma12244172
Chicago/Turabian StyleQian, Chenhao, Chen Liang, Ziyang He, and Weixi Ji. 2019. "Effect of Layer Thickness in Layered Aluminum Matrix Syntactic Foam" Materials 12, no. 24: 4172. https://doi.org/10.3390/ma12244172
APA StyleQian, C., Liang, C., He, Z., & Ji, W. (2019). Effect of Layer Thickness in Layered Aluminum Matrix Syntactic Foam. Materials, 12(24), 4172. https://doi.org/10.3390/ma12244172

