Relationship Between Matrix Cracking and Delamination in CFRP Cross-Ply Laminates Subjected to Low Velocity Impact
Abstract
1. Introduction
2. Materials and Experiments
3. Finite Element Modeling Strategy
3.1. Intralaminar Damage Model
3.1.1. Puck Criteria
3.1.2. XFEM in ABAQUS
3.1.3. Nonlinear Shear Behavior
3.2. Interlaminar Damage Model
3.3. Finite Element Modeling
4. Results and Discussion
4.1. Experimental Results
4.2. Numerical Results
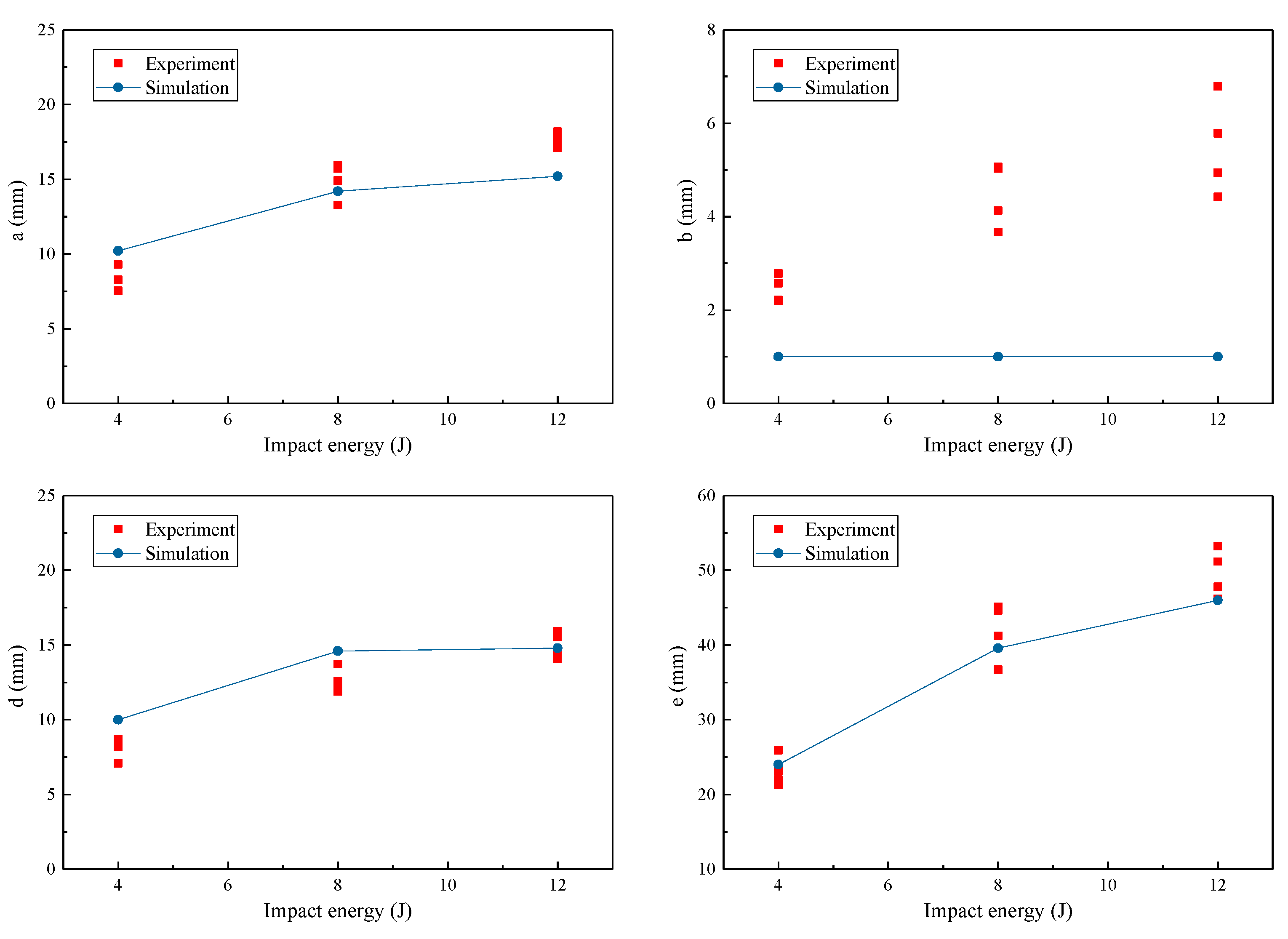
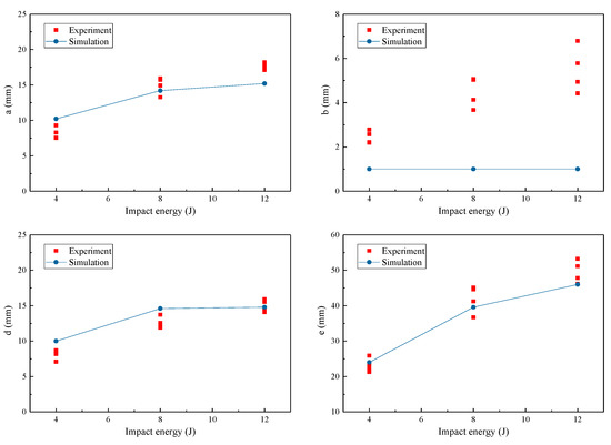
4.2.1. Damage Modes and Sizes Verification
4.2.2. Damage Mechanisms Analysis
4.2.3. Artificial Delamination
5. Conclusions
- The tensile crack is induced by , while the shear cracks are mainly caused by and .
- The tensile crack determines the outline and sizes of delamination by the stress concentration. In addition, the stress release by the opening of the shear cracks forms the two-lobe morphology of delamination.
- The effect of the tensile crack indicates that the delamination extension is related to the global bending stiffness of a laminate.
- The undelaminated region is only dependent on the impactor geometry and the local stiffness of a laminate, since the distance between two lobes is determined by the contact between the impactor and laminate.
Author Contributions
Funding
Conflicts of Interest
References
- Backe, S.; Balle, F. A novel short-time concept for fatigue life estimation of carbon (CFRP) and metal/carbon fiber reinforced polymer (MCFRP). Int. J. Fatigue 2018, 116, 317–322. [Google Scholar] [CrossRef]
- Hyung, Y.C.; Chan, F.K. A model for predicting damage in graphite/epoxy laminated composites resulting from low-velocity point impact. J. Compos. Mater. 1992, 26, 2134–2169. [Google Scholar] [CrossRef]
- Aoki, Y.; Suemasu, H.; Ishikawa, T. Damage propagation in CFRP laminates subjected to low velocity impact and static indentation. Adv. Compos. Mater. 2007, 16, 45–61. [Google Scholar] [CrossRef]
- Topac, O.T.; Gozluklu, B.; Gurses, E.; Coker, D. Experimental and computational study of the damage process in CFRP composite beams under low-velocity impact. Compos. Part A Appl. Sci. Manuf. 2017, 92, 167–182. [Google Scholar] [CrossRef]
- Aymerich, F.; Dore, F.; Priolo, P. Simulation of multiple delaminations in impacted cross-ply laminates using a finite element model based on cohesive interface elements. Compos. Sci. Technol. 2009, 69, 1699–1709. [Google Scholar] [CrossRef]
- Sitnikova, E.; Li, S.; Li, D.; Yi, X. Subtle features of delamination in cross-ply laminates due to low speed impact. Compos. Sci. Technol. 2017, 149, 149–158. [Google Scholar] [CrossRef]
- Zhang, J.; Zhang, X. Simulating low-velocity impact induced delamination in composites by a quasi-static load model with surface-based cohesive contact. Compos. Struct. 2015, 125, 51–57. [Google Scholar] [CrossRef]
- Sun, X.C.; Hallett, S.R. Failure mechanisms and damage evolution of laminated composites under compression after impact (CAI): Experimental and numerical study. Compos. Part A Appl. Sci. Manuf. 2018, 104, 41–59. [Google Scholar] [CrossRef]
- Bull, D.J.; Spearing, S.M.; Sinclair, I. Observations of damage development from compression-after-impact experiments using ex situ micro-focus computed tomography. Compos. Sci. Technol. 2014, 97, 106–114. [Google Scholar] [CrossRef]
- Lopes, C.S.; Camanho, P.P.; Gürdal, Z.; Maimí, P.; González, E.V. Low-velocity impact damage on dispersed stacking sequence laminates. Part II: Numerical simulations. Compos. Sci. Technol. 2009, 69, 937–947. [Google Scholar] [CrossRef]
- Tan, W.; Falzon, B.G.; Chiu, L.N.S.; Price, M. Predicting low velocity impact damage and Compression-After-Impact (CAI) behaviour of composite laminates. Compos. Part A Appl. Sci. Manuf. 2015, 71, 212–226. [Google Scholar] [CrossRef]
- Bouvet, C.; Rivallant, S.; Barrau, J.J. Low velocity impact modeling in composite laminates capturing permanent indentation. Compos. Sci. Technol. 2012, 72, 1977–1988. [Google Scholar] [CrossRef]
- Sun, X.C.; Hallett, S.R. Barely visible impact damage in scaled composite laminates: Experiments and numerical simulations. Int. J. Impact Eng. 2017, 109, 178–195. [Google Scholar] [CrossRef]
- Belytschko, T.; Black, T. Elastic crack growth in finite elements with minimal remeshing. Int. J. Numer. Meth. Eng. 1999, 45, 601–620. [Google Scholar] [CrossRef]
- Grogan, D.M.; Brádaigh, C.M.Ó.; Leen, S.B. A combined XFEM and cohesive zone model for composite laminate microcracking and permeability. Compos. Struct. 2015, 120, 246–261. [Google Scholar] [CrossRef]
- Hu, X.F.; Chen, B.Y.; Tirvaudey, M.; Tan, V.B.C.; Tay, T.E. Integrated XFEM-CE analysis of delamination migration in multi-directional composite laminates. Compos. Part A Appl. Sci. Manuf. 2016, 90, 161–173. [Google Scholar] [CrossRef]
- Higuchi, R.; Okabe, T.; Nagashima, T. Numerical simulation of progressive damage and failure in composite laminates using XFEM/CZM coupled approach. Compos. Part A Appl. Sci. Manuf. 2017, 95, 197–207. [Google Scholar] [CrossRef]
- Puck, A.; Schürmann, H. Failure analysis of FRP laminates by means of physically based phenomenological models. Compos. Sci. Technol. 2002, 62, 1633–1662. [Google Scholar] [CrossRef]
- Aymerich, F.; Pani, C.; Priolo, P. Damage response of stitched cross-ply laminates under impact loadings. Eng. Fract. Mech. 2007, 74, 500–514. [Google Scholar] [CrossRef]
- Aymerich, F.; Priolo, P. Characterization of fracture modes in stitched and unstitched cross-ply laminates subjected to low-velocity impact and compression after impact loading. Int. J. Impact Eng. 2008, 35, 591–608. [Google Scholar] [CrossRef]
- Sun, L.; Wang, J.; Hu, H.; Ni, A. A simplified computational strategy focused on resin damage to study matrix cracking of the cross-ply laminates under uniaxial tension load. Materials 2019, 12, 1984. [Google Scholar] [CrossRef] [PubMed]
- ASTM International. American Society for Testing Materials. Standard Test Method for Measuring the Damage Resistance of a Fiber-Reinforced Polymer Matrix Composite to a Drop-Weight Impact Event; ASTM D 7136/D 7136M-15; ASTM International: West Conshohocken, PA, USA, 2015. [Google Scholar]
- Deuschle, H.M.; Puck, A. Application of the Puck failure theory for fibre-reinforced composites under three-dimensional stress: Comparison with experimental results. J. Compos. Mater. 2013, 47, 827–846. [Google Scholar] [CrossRef]
- Li, N.; Chen, P. Failure prediction of T-stiffened composite panels subjected to compression after edge impact. Compos. Struct. 2017, 162, 210–226. [Google Scholar] [CrossRef]
- Perillo, G.; Jørgensen, J.K.; Cristiano, R.; Riccio, A. A numerical/experimental study on the impact and CAI behaviour of glass reinforced compsite plates. Appl. Compos. Mater. 2018, 25, 425–447. [Google Scholar] [CrossRef]
- Puck, A.; Kopp, J.; Knops, M. Guidelines for the determination of the parameters in Puck’s action plane strength criterion. Compos. Sci. Technol. 2002, 62, 371–378. [Google Scholar] [CrossRef]
- Puck, A.; Mannigel, M. Physically based non-linear stress-strain relations for the inter-fibre fracture analysis of FRP laminates. Compos. Sci. Technol. 2007, 67, 1955–1964. [Google Scholar] [CrossRef]
- Sun, W.; Guan, Z.; Li, Z. Simulation of low velocity impact induced inter- and intra-laminar damage of composite beams based on XFEM. Appl. Compos. Mater. 2017, 24, 1459–1477. [Google Scholar] [CrossRef]
- Wiegand, J.; Petrinic, N.; Elliott, B. An algorithm for determination of the fracture angle for the three-dimensional Puck matrix failure criterion for UD composites. Compos. Sci. Technol. 2008, 68, 2511–2517. [Google Scholar] [CrossRef]
- Schirmaier, F.J.; Weiland, J.; Kärger, L.; Henning, F. A new efficient and reliable algorithm to determine the fracture angle for Puck’s 3D matrix failure criterion for UD composites. Compos. Sci. Technol. 2014, 100, 19–25. [Google Scholar] [CrossRef]
- Benzeggagh, M.L.; Kenane, M. Measurement of mixed-mode delamination fracture toughness of unidirectional glass/epoxy composites with mixed-mode bending apparatus. Compos. Sci. Technol. 1996, 56, 439–449. [Google Scholar] [CrossRef]
- Shi, Y.; Swait, T.; Soutis, C. Modelling damage evolution in composite laminates subjected to low velocity impact. Compos. Struct. 2012, 94, 2902–2913. [Google Scholar] [CrossRef]
- Zhao, L.; Zhi, J.; Zhang, J.; Liu, Z.; Hu, N. XFEM simulation of delamination in composite laminates. Compos. Part A Appl. Sci. Manuf. 2016, 80, 61–71. [Google Scholar] [CrossRef]
- Feng, D.; Aymerich, F. Damage prediction in composite sandwich panels subjected to low-velocity impact. Compos. Part A Appl. Sci. Manuf. 2013, 52, 12–22. [Google Scholar] [CrossRef]
- Tan, W.; Falzon, B.G. Modelling the nonlinear behaviour and fracture process of AS4/PEKK thermoplastic composite under shear loading. Compos. Sci. Technol. 2016, 126, 60–77. [Google Scholar] [CrossRef]
- Sádaba, S.; Herráez, M.; Naya, F.; González, C.; Llorca, J.; Lopes, C.S. Special-purpose elements to impose periodic boundary conditions for multiscale computational homogenization of composite materials with the explicit finite element method. Compos. Struct. 2019, 208, 434–441. [Google Scholar] [CrossRef]
- Ng, W.H.; Salvi, A.G.; Waas, A.M. Characterization of the in-situ non-linear shear response of laminated fiber-reinforced composites. Compos. Sci. Technol. 2010, 70, 1126–1134. [Google Scholar] [CrossRef]
- Matzenmiller, A.; Lubliner, J.; Taylor, R.L. A constitutive model for anisotropic damage in fiber-composites. Mech. Mater. 1995, 20, 125–152. [Google Scholar] [CrossRef]
- Ramberg, W.; Osgood, W.R. Description of Stress-Strain Curves by Three Parameters; NACA-TN-902; NACA: Washington, DC, USA, 1943. [Google Scholar]
- Bogetti, T.A.; Hoppel, C.P.R.; Harik, V.M.; Newill, J.F.; Burns, B.P. Predicting the nonlinear response and progressive failure of composite laminates. Compos. Sci. Technol. 2004, 64, 329–342. [Google Scholar] [CrossRef]
- Turon, A.; Dávila, C.G.; Camanho, P.P.; Costa, J. An engineering solution for mesh size effects in the simulation of delamination using cohesive zone models. Eng. Fract. Mech. 2007, 74, 1665–1682. [Google Scholar] [CrossRef]
- Camanho, P.P.; Davila, C.G.; de Moura, M.F. Numerical simulation of mixed-mode progressive delamination in composite materials. J. Compos. Mater. 2003, 37, 1415–1438. [Google Scholar] [CrossRef]
- Caminero, M.A.; Rodríguez, G.P.; Muñoz, V. Effect of stacking sequence on Charpy impact and flexural damage behavior of composite laminates. Compos. Struct. 2016, 136, 345–357. [Google Scholar] [CrossRef]
- Mortell, D.J.; Tanner, D.A.; McCarthy, C.T. In-situ SEM study of transverse cracking and delamination in laminated composite materials. Compos. Sci. Technol. 2014, 105, 118–126. [Google Scholar] [CrossRef]
- Camanho, P.P.; Dávila, C.G.; Pinho, S.T.; Iannucci, L.; Robinson, P. Prediction of in situ strengths and matrix cracking in composites under transverse tension and in-plane shear. Compos. Part A Appl. Sci. Manuf. 2006, 37, 165–176. [Google Scholar] [CrossRef]
- Yang, L.; Wu, Z.; Gao, D.; Liu, X. Microscopic damage mechanisms of fibre reinforced composite laminates subjected to low velocity impact. Comput. Mater. Sci. 2016, 111, 148–156. [Google Scholar] [CrossRef]
- Newcomb, B.A. Processing, structure, and properties of carbon fibers. Compos. Part A Appl. Sci. Manuf. 2016, 91, 262–282. [Google Scholar] [CrossRef]
- Liu, Y.; He, D.; Hamon, A.L.; Fan, B.; Haghi-Ashtiani, P.; Reiss, T.; Bai, J. Comparison of different surface treatments of carbon fibers used as reinforcements in epoxy composites: Interfacial strength measurements by in-situ scanning electron microscope tensile tests. Compos. Sci. Technol. 2018, 167, 331–338. [Google Scholar] [CrossRef]
- Chen, B.Y.; Tay, T.E.; Pinho, S.T.; Tan, V.B.C. Modelling delamination migration in angle-ply laminates. Compos. Sci. Technol. 2017, 142, 145–155. [Google Scholar] [CrossRef]
- Tao, C.; Mukhopadhyay, S.; Zhang, B.; Kawashita, L.F.; Qiu, J.; Hallett, S.R. An improved delamination fatigue cohesive interface model for complex three-dimensional multi-interface cases. Compos. Part A Appl. Sci. Manuf. 2018, 107, 633–646. [Google Scholar] [CrossRef]
- Bull, D.J.; Spearing, S.M.; Sinclair, I.; Helfen, L. Three-dimensional assessment of low velocity impact damage in particle toughened composite laminates using micro-focus X-ray computed tomography and synchrotron radiation laminography. Compos. Part A Appl. 2013, 52, 62–69. [Google Scholar] [CrossRef]
- Ebina, M.; Yoshimura, A.; Sakaue, K.; Waas, A.M. High fidelity simulation of low velocity impact behavior of CFRP laminate. Compos. Part A Appl. Sci. Manuf. 2018, 113, 166–179. [Google Scholar] [CrossRef]
- Cartié, D.; Davies, P.; Peleau, M.; Partridge, I.K. The influence of hydrostatic pressure on the interlaminar fracture toughness of carbon/epoxy composites. Compos. Part B Eng. 2006, 37, 292–300. [Google Scholar] [CrossRef]
- Bing, Q.; Sun, C.T. Effect of compressive transverse normal stress on mode II fracture toughness in polymeric composites. Int. J. Fract. 2007, 145, 89–97. [Google Scholar] [CrossRef]
- Catalanotti, G.; Furtado, C.; Scalici, T.; Pitarresi, G.; van der Meer, F.P.; Camanho, P.P. The effect of through-thickness compressive stress on mode II interlaminar fracture toughness. Compos. Struct. 2017, 182, 153–163. [Google Scholar] [CrossRef]
- Fiedler, B.; Hojo, M.; Ochiai, S.; Schulte, K.; Ando, M. Failure behavior of an epoxy matrix under different kinds of static loading. Compos. Sci. Technol. 2001, 61, 1615–1624. [Google Scholar] [CrossRef]
- Van Melick, H.G.H.; Bressers, O.F.J.T.; Den Toonder, J.M.J.; Govaert, L.E.; Meijer, H.E.H. A micro-indentation method for probing the craze-initiation stress in glassy polymers. Polymer 2003, 44, 2481–2491. [Google Scholar] [CrossRef]
- Hojo, M.; Ando, T.; Tanaka, M.; Adachi, T.; Ochiai, S.; Endo, Y. Modes I and II interlaminar fracture toughness and fatigue delamination of CF/epoxy laminates with self-same epoxy interleaf. Int. J. Fatigue 2006, 28, 1154–1165. [Google Scholar] [CrossRef]
- Deblieck, R.A.C.; Van Beek, D.J.M.; Remerie, K.; Ward, I.M. Failure mechanisms in polyolefines: The role of crazing, shear yielding and the entanglement network. Polymer 2011, 52, 2979–2990. [Google Scholar] [CrossRef]
















| Properties | Values | |
|---|---|---|
| Intralaminar | Elastic modulus (GPa) | , , , |
| Poisson’s ratio | , | |
| Fracture resistance (MPa) | , , | |
| Inclination parameter | , , , | |
| Critical energy release rate of matrix cracking (N/mm) | , | |
| Interlaminar | Strength (MPa) | , |
| Critical energy release rate (N/mm) | , |
| 4 J | 8 J | 12 J | ||||
|---|---|---|---|---|---|---|
| Experiments | Simulations | Experiments | Simulations | Experiments | Simulations | |
| a | 8.16 (8.89%) | 10.2 | 14.95 (6.95%) | 14.2 | 17.59 (2.29%) | 15.2 |
| b | 2.44 (10.26%) | 1.0 | 4.48 (13.32%) | 1.0 | 5.48 (16.36%) | 1.0 |
| c | 2.92 (11.21%) | 2.8 | 2.38 (7.56%) | 2.8 | 2.54 (20.81%) | 2.8 |
| d | 8.07 (7.33%) | 10.0 | 12.60 (5.57%) | 14.6 | 14.97 (5.09%) | 14.8 |
| e | 23.08 (7.62%) | 24.0 | 41.91 (8.01%) | 39.6 | 49.60 (5.54%) | 46.0 |
© 2019 by the authors. Licensee MDPI, Basel, Switzerland. This article is an open access article distributed under the terms and conditions of the Creative Commons Attribution (CC BY) license (http://creativecommons.org/licenses/by/4.0/).
Share and Cite
Tan, R.; Xu, J.; Sun, W.; Liu, Z.; Guan, Z.; Guo, X. Relationship Between Matrix Cracking and Delamination in CFRP Cross-Ply Laminates Subjected to Low Velocity Impact. Materials 2019, 12, 3990. https://doi.org/10.3390/ma12233990
Tan R, Xu J, Sun W, Liu Z, Guan Z, Guo X. Relationship Between Matrix Cracking and Delamination in CFRP Cross-Ply Laminates Subjected to Low Velocity Impact. Materials. 2019; 12(23):3990. https://doi.org/10.3390/ma12233990
Chicago/Turabian StyleTan, Riming, Jifeng Xu, Wei Sun, Zhun Liu, Zhidong Guan, and Xia Guo. 2019. "Relationship Between Matrix Cracking and Delamination in CFRP Cross-Ply Laminates Subjected to Low Velocity Impact" Materials 12, no. 23: 3990. https://doi.org/10.3390/ma12233990
APA StyleTan, R., Xu, J., Sun, W., Liu, Z., Guan, Z., & Guo, X. (2019). Relationship Between Matrix Cracking and Delamination in CFRP Cross-Ply Laminates Subjected to Low Velocity Impact. Materials, 12(23), 3990. https://doi.org/10.3390/ma12233990

