Design of a Tunable Absorber Based on Active Frequency-Selective Surface for UHF Applications
Abstract
1. Introduction
2. Design, Simulations, and Experiments
2.1. Structure of Proposed Absorber
2.2. Equivalent Circuit Model of the Proposed Absorber
2.3. Experiment and Results
3. Discussion and Analysis
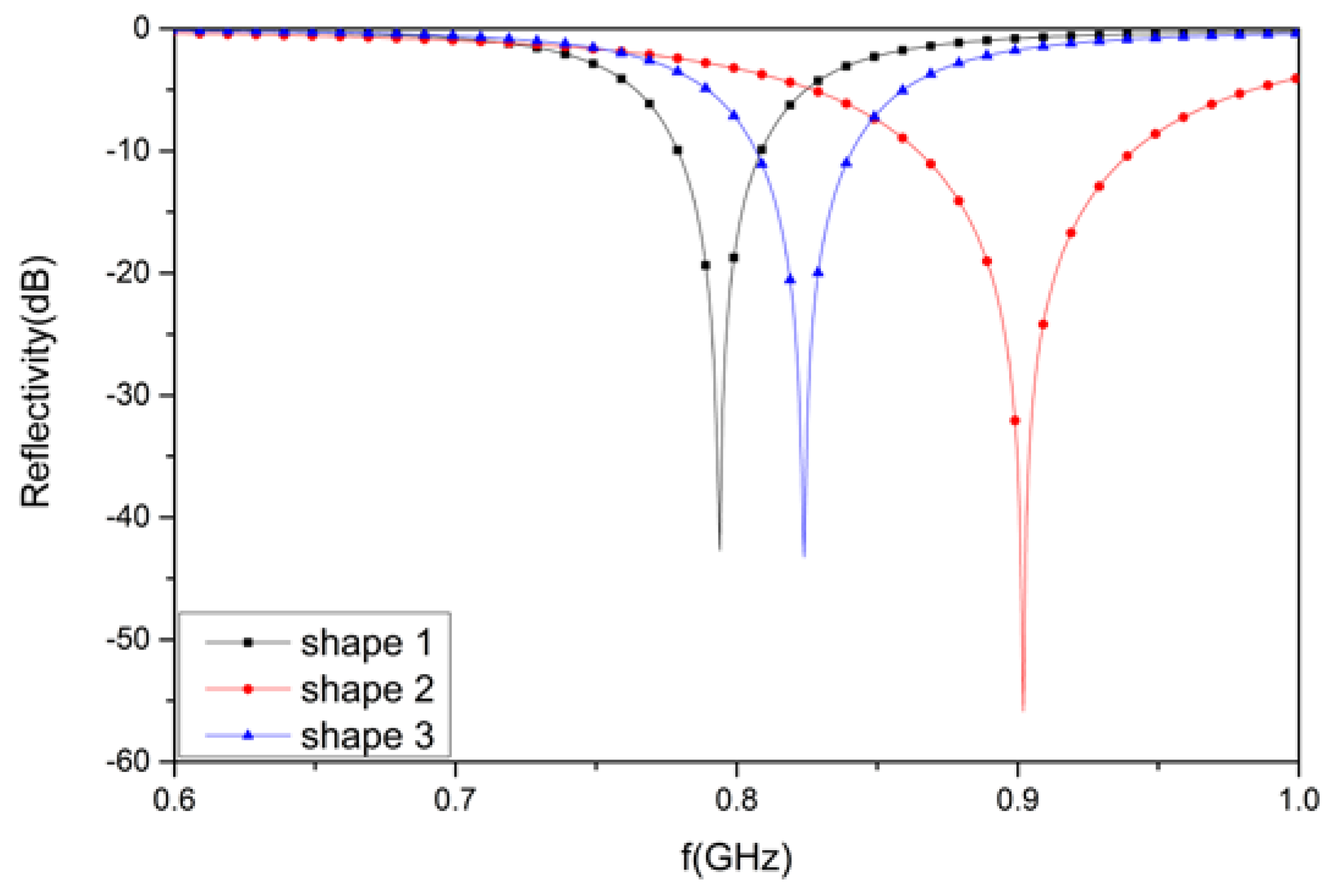
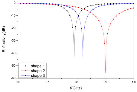
3.1. Analysis of the Designed Structure with Different AFSS Shapes
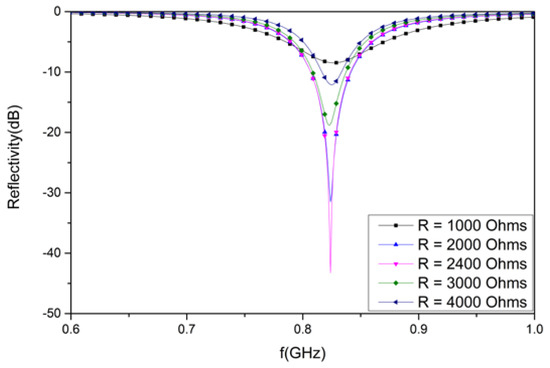
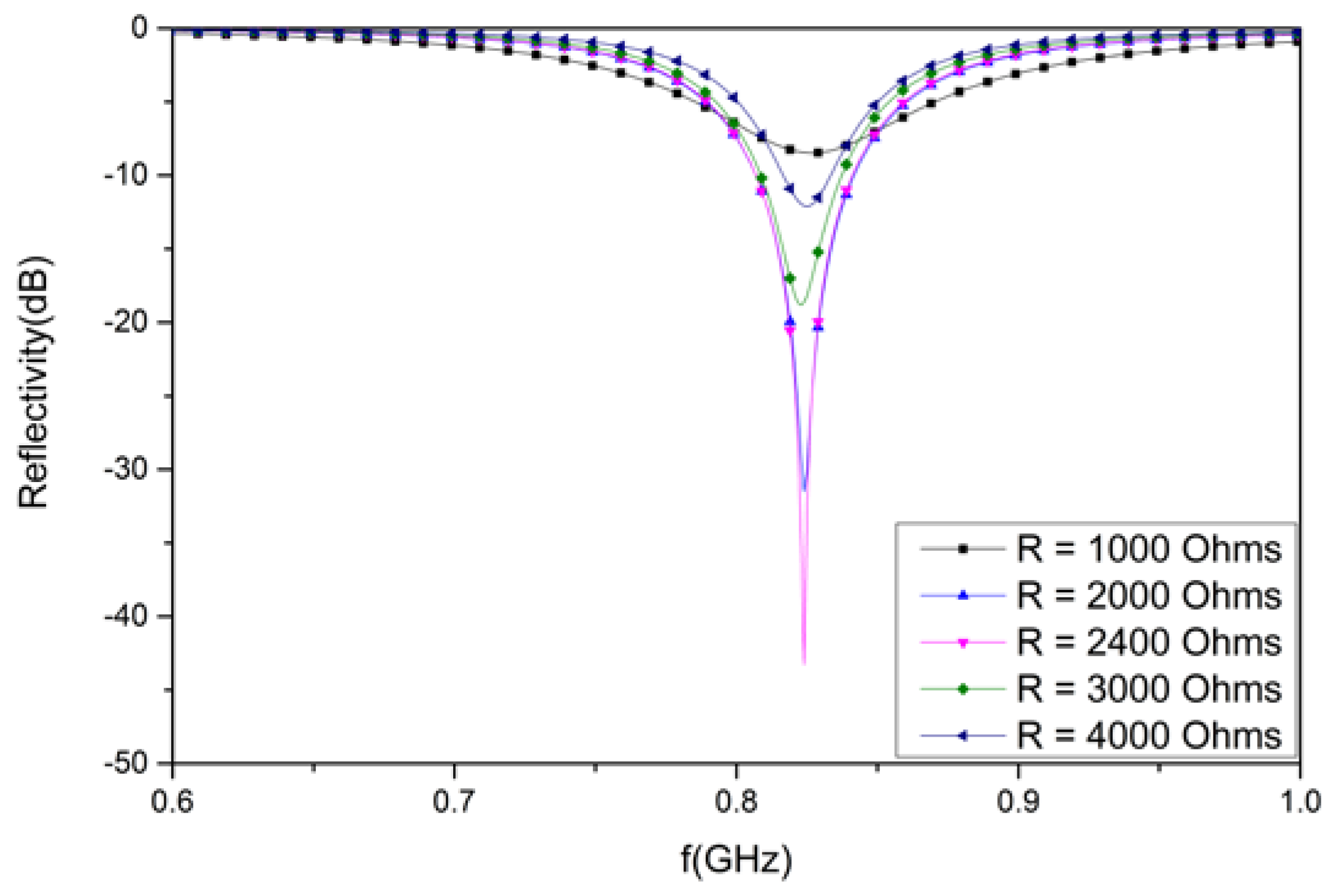
3.2. Analysis of the Designed Structure with Different Resistances
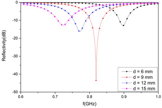
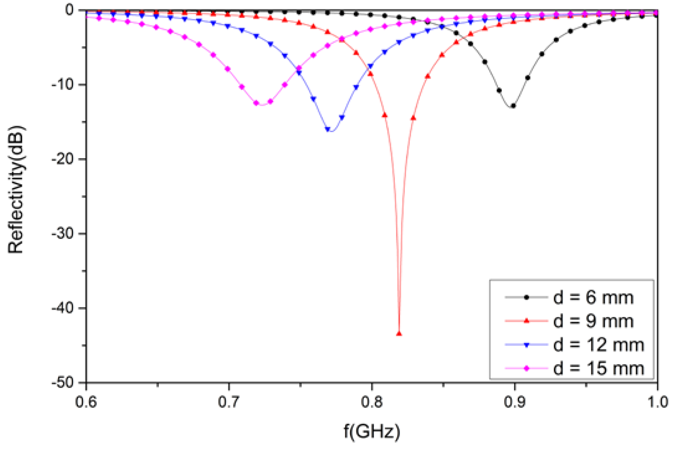
3.3. Analysis of the Designed Structure with Foam Materials of Different Thicknesses
3.4. Analysis of the Designed Structure with Different Thickness FR4 Substrate Materials
3.5. Analysis of the Designed Structure for Substrate Materials with Varying Permittivity
3.6. Analysis of the Designed Structure with Different Incident Angles
4. Conclusions
Author Contributions
Funding
Conflicts of Interest
References
- Knott, E.F.; Shaeffer, J.F.; Tuley, M.T. Radar Cross Section; Artech House: Boston, MA, USA, 1993; p. 64. [Google Scholar]
- Haupt, R.L. Scattering from small Salisbury screens. IEEE Trans. Antennas Propag. 2006, 54, 1807–1810. [Google Scholar] [CrossRef]
- Munk, B.A.; Munk, P.; Pryor, J. On designing Jaumann and circuit analog absorbers (CA absorbers) for oblique angle of incidence. IEEE Trans. Antennas Propag. 2007, 55, 186–193. [Google Scholar] [CrossRef]
- Zadeh, A.K.; Karlsson, A. Capacitive circuit method of fast and efficient design of wideband radar absorbers. IEEE Trans. Antennas Propag. 2009, 57, 2307–2314. [Google Scholar] [CrossRef]
- Shantnu, R.; Tomas, J.F. Design of absorber-lined chambers for EMC measurements using a geometrical optics approach. IEEE Trans. Electromagn. Compat. 1984, 26, 111–119. [Google Scholar]
- Zuo, W.Q.; Yang, Y.; He, X.X.; Zhan, D.W.; Zhang, D.F. A miniaturized metamaterial absorber for ultrahigh-frequency RFID system. IEEE Antennas Wireless Propag. Lett. 2017, 16, 329–332. [Google Scholar] [CrossRef]
- Costa, F.; Genovesi, S.; Monorchio, A.; Manara, G. Low-cost metamaterial absorbers for sub-GHz wireless systems. IEEE Antennas Wireless Propag. Lett. 2014, 13, 27–30. [Google Scholar] [CrossRef]
- Ye, D.; Wang, Z.; Wang, Z.; Xu, K.; Zhang, B.; Huangfu, J.; Li, C.; Ran, L. Towards experimental perfectly-matched layers with ultra-thin metamaterial surfaces. IEEE Trans. Antennas Propag. 2012, 60, 5164–5172. [Google Scholar] [CrossRef]
- Li, H.; Yuan, L.H.; Zhou, B.; Shen, X.P.; Cheng, Q.; Cui, T.J. Ultrathin multiband gigahertz metamaterial absorbers. J. Appl. Phys. 2011, 110. [Google Scholar] [CrossRef]
- Liu, T.; Cao, X.; Gao, J.; Zheng, Q.; Li, W.; Yang, H. RCS Reduction of waveguide slot antenna with metamaterial absorber. IEEE Trans. Antennas Propag. 2013, 61, 1479–1484. [Google Scholar] [CrossRef]
- Wakatsuchi, H.; Kim, S.; Rushton, J.J.; Sievenpiper, D.F. Circuit-based nonlinear metasurface absorbers for high power surface currents. Appl. Phys. Lett. 2013, 102. [Google Scholar] [CrossRef]
- Humberto, F.A.; Maria, E.C.; Fernando, L.H. A thin C-band polarization and incidence angle- insensitive metamaterial perfect absorber. Materials 2015, 8, 1666–1681. [Google Scholar] [CrossRef]
- Cheng, Y.Z.; Cheng, Z.Z.; Mao, X.S.; Gong, R.Z. Ultra-thin multi-band polarization-insensitive microwave metamaterial absorber based on multiple-order responses using a single resonator structure. Materials 2017, 10, 1241. [Google Scholar] [CrossRef] [PubMed]
- Chen, K.; Cui, L.; Feng, Y.J.; Zhao, J.M.; Jiang, T.; Zhu, B. Coding metasurface for broadband microwave scattering reduction with optical transparency. Opt. Express 2017, 25. [Google Scholar] [CrossRef] [PubMed]
- Landy, N.I.; Sajuyigbe, S.; Mock, J.J.; Smith, D.R.; Padilla, W.J. Perfect metamaterial absorber. Phys. Rev. Lett. 2008, 100. [Google Scholar] [CrossRef]
- Zhang, L.B.; Zhou, P.H.; Chen, H.Y.; Lu, H.P.; Xie, J.L.; Deng, L.J. Ultra-thin wideband magnetic-type metamaterial absorber based on LC resonator at low frequencies. Appl. Phys. A 2015, 121, 233–238. [Google Scholar] [CrossRef]
- Zhang, H.B.; Deng, L.W.; Zhou, P.H.; Zhang, L.; Cheng, D.M. Low frequency needlepoint-shape metamaterial absorber based on magnetic medium. J. Appl. Phys. 2013, 113, 013903. [Google Scholar] [CrossRef]
- Yoo, Y.J.; Zheng, H.Y.; Kim, Y.J.; Rhee, J.Y.; Kang, J.H.; Kim, K.W.; Cheong, H.; Kim, Y.H.; Lee, Y.P. Flexible and elastic metamaterial absorber for low frequency, based on small-size unit cell. Appl. Phys. Lett. 2014, 105. [Google Scholar] [CrossRef]
- Sun, L.K.; Cheng, H.F.; Zhou, Y.J.; Wang, J. Low-frequency and broad band metamaterial absorber: Design, fabrication and characterization. Appl. Phys. A 2011, 105, 49–53. [Google Scholar] [CrossRef]
- Khuyen, B.X.; Tung, B.S.; Yoo, Y.J.; Kim, Y.J.; Lam, V.D.; Yang, J.G.; Lee, Y.P. Ultrathin metamaterial-based perfect absorber for VHF and THz bands. Curr. Appl. Phys. 2016, 16, 1009–1014. [Google Scholar] [CrossRef]
- Zuo, W.Q.; Yang, Y.; He, X.X.; Mao, C.Y.; Liu, T. An ultrawideband miniaturized metamaterial absorber in the ultrahigh-frequency range. IEEE Antennas Wireless Propag. Lett. 2017, 16, 928–931. [Google Scholar] [CrossRef]
- Rozanov, K.N. Ultimate thickness to bandwidth ratio of radar absorbers. IEEE Trans. Antennas Propag. 2000, 48, 1230–1234. [Google Scholar] [CrossRef]
- Papasimakis, N.; Luo, Z.; Shen, Z.X.; De Angelis, F.; Di Fabrizio, E.; Nikolaenko, A.E.; Zheludev, N.I. Graphene in a photonic metamaterial. Opt. Express 2010, 18, 8353–8359. [Google Scholar] [CrossRef] [PubMed]
- Kowerdziej, R.; Garbat, K.; Walczakowski, M. Nematic liquid crystal mixtures dedicated to thermally tunable terahertz devices. Liq. Cryst. 2018, 45, 1040–1046. [Google Scholar] [CrossRef]
- Ricci, M.C.; Xu, H.; Prozorov, R.; Zhuravel, A.P.; Ustionov, A.V.; Anlage, S.M. Tunability of superconducting metamaterials. IEEE Trans. Appl. Supercond. 2007, 17, 918–921. [Google Scholar] [CrossRef]
- Barnes, A.; Despotakis, A.; Wright, P.V.; Wong, T.C.P.; Chambers, B.; Anderson, A.P. Control of microwave reflectivities of polymer electrolyte-silver-polyaniline composite materials. Electrochimica Acta 1998, 43, 1629–1632. [Google Scholar] [CrossRef]
- Tennant, A.; Chambers, B. A single-layer tuneable microwave absorber using an active FSS. IEEE Microwave Wireless Compon. Lett. 2004, 14, 46–47. [Google Scholar] [CrossRef]
- Li, J.L.; Jiang, J.J.; He, Y.; Xu, W.H.; Chen, M.; Miao, L.; Bie, S.W. Design of a tunable low-frequency and broadband radar absorber based on active frequency selective surface. IEEE Antennas Wireless Propag. Lett. 2016, 15, 774–777. [Google Scholar] [CrossRef]
- Zhang, Q.; Shen, Z.X.; Wang, J.P.; Lee, K.S. Design of a switchable microwave absorber. IEEE Antennas Wireless Propag. Lett. 1158, 11, 1158–1161. [Google Scholar] [CrossRef]
- Xu, W.H.; He, Y.; Kong, P.; Li, J.L.; Xu, H.B.; Miao, L.; Bie, S.W.; Jiang, J.J. An ultra-thin broadband active frequency selective surface absorber for ultrahign-frequency applications. J. Appl. Phys. 2015, 118, 184903. [Google Scholar] [CrossRef]
- Cui, T.J.; Qi, M.Q.; Wan, X.; Zhao, J.; Cheng, Q. Coding metamaterials, digital metamaterials and programmable metamaterials. Light Sci. Appl. 2014, 3. [Google Scholar] [CrossRef]
- Qi, K.N.; Wang, Y.F.; Hou, X.Y.; Chen, J.W. Analysis and optimization of active tunable absorber. J. Beijing Univ. Aeronaut. Astronaut. 2015, 41, 1853–1858. [Google Scholar] [CrossRef]
- Mias, C.; Yap, J.H. A varactor-tunable high impedance surface with a resistive-lumped-element biasing grid. IEEE Trans. Antennas Propag. 2007, 55, 1955–1962. [Google Scholar] [CrossRef]
- Zhao, J.; Cheng, Q.; Chen, J.; Qi, M.Q.; Jiang, W.X.; Cui, T.J. A tunable metamaterial absorber using varactor diodes. New J. Phys. 2013, 15, 043049. [Google Scholar] [CrossRef]
- Marcuvitz, N. Waveguide Handbook; McGraw-Hill: New York, NY, USA, 1986; p. 280. [Google Scholar]
- Luukkonen, O.; Simovski, C.; Granet, G.; Goussetis, G.; Lioubtchenko, D.; Raisanen, A.V.; Tretyakov, S.A. Simple and accurate analytical model of planar grids and high-impedance surfaces comprising metal strips or patches. IEEE Trans. Antennas Propag. 2008, 56, 1624–1632. [Google Scholar] [CrossRef]
- Zhang, C.; Cheng, Q.; Yang, J.; Zhao, J.; Cui, T.J. Broadband metamaterial for optical transparency and microwave absorption. J. Appl. Phys. 2017, 110, 143511. [Google Scholar] [CrossRef]
- Ghosh, S.; Srivastava, K.V. Polarization-insensitive single-/dual-band tunable absorber with independent tuning in wide frequency range. IEEE Communication Antennas Propag. 2017, 65, 4903–4908. [Google Scholar] [CrossRef]
- Wang, L.; Xia, D.; Fu, Q.; Wang, Y.; Ding, X.; Yang, B. Thermally tunable ultra-thin metamaterial absorber at P band. J. Electromagn. Waves Appl. 2019, 33, 1406–1415. [Google Scholar] [CrossRef]
- Kowerdziej, R.; Jaroszewicz, L. Tunable dual-band liquid crystal based near-infrared perfect metamaterial absorber with high-loss metal. Liq. Cryst. 2019, 46, 1568–1573. [Google Scholar] [CrossRef]














© 2019 by the authors. Licensee MDPI, Basel, Switzerland. This article is an open access article distributed under the terms and conditions of the Creative Commons Attribution (CC BY) license (http://creativecommons.org/licenses/by/4.0/).
Share and Cite
Qi, K.; Li, L.; Su, J.; Liu, Y.; Chen, J. Design of a Tunable Absorber Based on Active Frequency-Selective Surface for UHF Applications. Materials 2019, 12, 3989. https://doi.org/10.3390/ma12233989
Qi K, Li L, Su J, Liu Y, Chen J. Design of a Tunable Absorber Based on Active Frequency-Selective Surface for UHF Applications. Materials. 2019; 12(23):3989. https://doi.org/10.3390/ma12233989
Chicago/Turabian StyleQi, Kainan, Liangsheng Li, Jianxun Su, Yongqiang Liu, and Junwen Chen. 2019. "Design of a Tunable Absorber Based on Active Frequency-Selective Surface for UHF Applications" Materials 12, no. 23: 3989. https://doi.org/10.3390/ma12233989
APA StyleQi, K., Li, L., Su, J., Liu, Y., & Chen, J. (2019). Design of a Tunable Absorber Based on Active Frequency-Selective Surface for UHF Applications. Materials, 12(23), 3989. https://doi.org/10.3390/ma12233989

