Multi-Response Optimization of Porous Asphalt Mixtures Reinforced with Aramid and Polyolefin Fibers Employing the CRITIC-TOPSIS Based on Taguchi Methodology
Abstract
1. Introduction
2. Experimental Design
2.1. Taguchi Method
2.2. Technique for Order of Preference by Similarity to Ideal Solution (TOPSIS)
2.3. Criteria Importance through Inter-Criteria Correlation (CRITIC)
3. Materials and Methods
3.1. Materials
3.2. Manufacturing of the Porous Asphalt Sample
3.3. Laboratory Testing Plan
4. Results and Discussion
4.1. Analysis of Signal to Noise Ratios (SNR) and Means on Different Responses
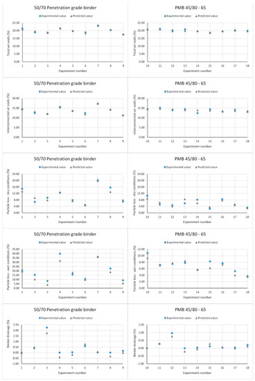
4.2. Statistical Analysis of Response Results
4.3. CRITIC Method
4.4. TOPSIS Method
5. Conclusions
- In terms of functionality, the binder content is the most influential factor on the total and interconnected air voids of the mixture.
- Concerning the durability of the mixture, the optimum response based on Signal to Noise Ratio values is obtained when employing a polymer modified binder, a 0.05% fiber content, and a 5.5% binder content. The contribution of the fiber content is less significant when a polymer modified binder is used instead of a conventional binder.
- PA mixtures with a 50/70 penetration grade binder and 0.05% fiber content improve in a similar way to PA mixtures with a polymer modified binder. As for the raveling resistance, the addition of fibers reduces the particle loss in dry conditions regardless of the amount of bitumen employed. However, when it comes to the particle loss in wet conditions, a higher binder content seems to be necessary to properly coat the fibers and hence to guarantee a higher durability under the action of water.
- The use of fibers in the PA mixtures not only contributed to positively mitigating the binder drainage, but also to reinforcing the mixture without compromising its functionality.
- The best alternative according to the TOPSIS method is the design number 17. This design corresponds to the use of a polymer modified binder, 0.15% fiber content, and 5.0% binder content. Although the first few positions of the order of preference refers to experiments with mixes using polymer modified binder, good results can be also obtained using a conventional binder as long as the proper proportions of fibers are applied.
- The CRITIC-TOPSIS based Taguchi can be considered a useful tool for the evaluation of the impact of different admixtures on different responses, as well as for the optimization of multiple responses simultaneously. It is recommended to apply this novel methodology to other composites of materials.
Author Contributions
Funding
Conflicts of Interest
References
- Nielsen, C. Durability of Porous Asphalt-International Experience; Tech. Note 41; Danish Road Inst. (DRI): Copenhagen, Denmark, 2006. [Google Scholar]
- Alvarez, A.E.; Martin, A.E.; Estakhri, C. A review of mix design and evaluation research for permeable friction course mixtures. Constr. Build. Mater. 2011, 25, 1159–1166. [Google Scholar] [CrossRef]
- Hassan, H.F.; Al-Jabri, K.S. Effect of organic fibers on open-graded friction course mixture properties. Int. J. Pavement Eng. 2005, 6, 67–75. [Google Scholar] [CrossRef]
- Mallick, R.; Kandhal, P.; Cooley, L.A.; Watson, D.E. Design Construction, and Performance of New Generation Open-Graded Friction Courses. In Proceedings of the annual meeting of the Association of Asphalt Paving Technologists, Reno, NV, USA, 13–15 March 2000. [Google Scholar]
- Xu, B.; Li, M.; Liu, S.; Fang, J.; Ding, R.; Cao, D. Performance analysis of different type preventive maintenance materials for porous asphalt based on high viscosity modified asphalt. Constr. Build. Mater. 2018, 191, 320–329. [Google Scholar] [CrossRef]
- Chu, L.; Fwa, T.F.; Tan, K.H. Evaluation of wearing course mix designs on sound absorption improvement of porous asphalt pavement. Constr. Build. Mater. 2017, 141, 402–409. [Google Scholar] [CrossRef]
- Shimeno, A.S.; Tanaka, O.T. Evaluation and further development of porous asphalt pavement with 10 years experience in Japanese expressways. In Proceedings of the 11th International Society for Asphalt Pavements, Nagoya, Aichi, Japan, 1–6 August 2010; Volume 1, pp. 43–52. [Google Scholar]
- Van der Zwan, J.T. Developing porous asphalt for freeway in the Netherlands: Reducing noise, improving safety, increasing service life. TR News 2011, 272, 22–29. [Google Scholar]
- Liu, M.; Huang, X.; Xue, G. Effects of double layer porous asphalt pavement of urban streets on noise reduction. Int. J. Sustain. Built Environ. 2016, 5, 183–196. [Google Scholar] [CrossRef]
- Donavan, P.R.; Lodico, D.M. Tire/Pavement Noise of Test Track Surfaces Designed to Replicate California Highways. In Proceedings of the Inter-Noise 2009, Ottawa, ON, Canada, 23–26 August 2009. [Google Scholar]
- Chen, D.; Ling, C.; Wang, T.; Qian, S.; Ye, A. Prediction of tire-pavement noise of porous asphalt mixture based on mixture surface texture level and distributions. Constr. Build. Mater. 2018, 173, 801–810. [Google Scholar] [CrossRef]
- Massahi, A.; Ali, H.; Koohifar, F.; Baqersad, M. Investigation of pavement raveling performance using smartphone. Int. J. Pavement Res. Technol. 2018, 11, 553–563. [Google Scholar] [CrossRef]
- Putman, B.J. Evaluation of the Open Graded Friction Courses: Construction, Maintenance and Performance 2012.
- Senior, V.; Eliécer, J. Maquilón, C. Resistance to degradation or cohesion loss in Cantabro test on specimens of porous asphalt friction courses. Procedia-Soc. Behav. Sci. 2014, 162, 290–299. [Google Scholar]
- Calzada-Perez, M.A.; Perez-Jimenez, F.E. Desarrollo y Normalización del Ensayo de Pérdida por Desgaste Aplicado A La Caracterización, Dosificación y Control de Mezclas Bituminosas de Granulometría Abierta. Ph.D. Thesis, Universidad de Cantabria, Santander, Spain, 1984. [Google Scholar]
- Jimenez, F.E.P.; Perez, M.A.C. Analysis and Evaluation of the Performance of Porous Asphalt: The Spanish Experience; ASTM Spec. Tech. Publ.: State Coll., PA, USA, 1988; pp. 512–527. [Google Scholar]
- Der Zwan, V.; Swart, H.J.; Goeman, T.; Gruis, A.J. Oldenburger, H.R. Porous Asphalt Wearing Courses in the Netherlands: State of the Art Review. Transp. Res. Rec. 1972, 1265. [Google Scholar]
- Moreno-Navarro, F.; Sol-Sánchez, M.; Rubio-Gámez, M.C. The effect of polymer modified binders on the long-term performance of bituminous mixtures: The influence of temperature. Mater. Des. 2015, 78, 5–11. [Google Scholar] [CrossRef]
- Voskuilen, J.L.M.; Tolman, F.; Rutten, E. Do modified porous asphalt mixtures have a longer service life? In Proceedings of the 3rd Eurasphalt Eurobitume Congr, Vienna, France, 12–14 May 2004. [Google Scholar]
- Chen, J.-S.; Liao, M.-C.; Shiah, M.-S. Asphalt Modified by Styrene-Butadiene-Styrene Triblock Copolymer: Morphology and Model. J. Mater. Civ. Eng. 2002, 14, 224–229. [Google Scholar] [CrossRef]
- Afonso, M.L.; Dinis-Almeida, M.; Fael, C.S. Study of the porous asphalt performance with cellulosic fibres. Constr. Build. Mater. 2017, 135, 104–111. [Google Scholar] [CrossRef]
- Slebi-Acevedo, C.J.; Lastra-González, P.; Indacoechea-Vega, I.; Castro-Fresno, D. Laboratory assessment of porous asphalt mixtures reinforced with synthetic fibers. Constr. Build. Mater. 2020, 234, 117224. [Google Scholar] [CrossRef]
- Gupta, A.; Rodriguez-Hernandez, J.; Castro-Fresno, D. Incorporation of Additives and Fibers in Porous Asphalt Mixtures: A Review. Materials 2019, 12, 3156. [Google Scholar] [CrossRef]
- Tanzadeh, J.; Shahrezagamasaei, R. Laboratory Assessment of Hybrid Fiber and Nano-silica on Reinforced Porous Asphalt Mixtures. Constr. Build. Mater. 2017, 144, 260–270. [Google Scholar] [CrossRef]
- Slebi-Acevedo, C.J.; Lastra-González, P.; Pascual-Muñoz, P.; Castro-Fresno, D. Mechanical performance of fibers in hot mix asphalt: A review. Constr. Build. Mater. 2019, 200, 756–769. [Google Scholar] [CrossRef]
- Abtahi, S.M.; Sheikhzadeh, M.; Hejazi, S.M. Fiber-reinforced asphalt-concrete—A review. Constr. Build. Mater. 2010, 24, 871–877. [Google Scholar] [CrossRef]
- Lee, S.J.; Rust, J.P.; Hamouda, H.; Kim, R.; Borden, R.H. Fatigue Cracking Resistance of Fiber-Reinforced Asphalt Concrete. Text. Res. J. 2005, 75, 123–128. [Google Scholar] [CrossRef]
- Yin, J.M.; Wu, W. Utilization of waste nylon wire in stone matrix asphalt mixtures. Waste Manag. 2018, 78, 948–954. [Google Scholar] [CrossRef]
- Fu, S.Y.; Lauke, B.; Mäder, E.; Yue, C.Y.; Hu, X. Tensile properties of short-glass-fiber- and short-carbon-fiber-reinforced polypropylene composites. Compos. Part A Appl. Sci. Manuf. 2000, 31, 1117–1125. [Google Scholar] [CrossRef]
- Klinsky, L.M.G.; Kaloush, K.E.; Faria, V.C.; Bardini, V.S.S. Performance characteristics of fiber modified hot mix asphalt. Constr. Build. Mater. 2018, 176, 747–752. [Google Scholar] [CrossRef]
- Tapkın, S.; Uşar, Ü.; Tuncan, A.; Tuncan, M. Repeated Creep Behavior of Polypropylene Fiber-Reinforced Bituminous Mixtures. J. Transp. Eng. 2009, 135, 240–249. [Google Scholar] [CrossRef]
- Xu, Q.; Chen, H.; Prozzi, J.A. Performance of fiber reinforced asphalt concrete under environmental temperature and water effects. Constr. Build. Mater. 2010, 24, 2003–2010. [Google Scholar] [CrossRef]
- Takaikaew, T.; Tepsriha, P.; Horpibulsuk, S.; Hoy, M.; Kaloush, K.E.; Arulrajah, A. Performance of Fiber-Reinforced Asphalt Concretes with Various Asphalt Binders in Thailand. J. Mater. Civ. Eng. 2018, 30, 04018193. [Google Scholar] [CrossRef]
- Kaloush, K.; Biligiri, K.; Zejada, W.; Rodezno, M.; Reed, J. Evaluation of Fiber-Reinforced Asphalt Mixtures Using Advanced Material Characterization Tests. J. Test. Eval. 2010, 38, 400–411. [Google Scholar]
- Ardanuy, M.; Claramunt, J.; Toledo Filho, R.D. Cellulosic fiber reinforced cement-based composites: A review of recent research. Constr. Build. Mater. 2015, 79, 115–128. [Google Scholar] [CrossRef]
- Andrés-Valeri, V.C.; Rodriguez-Torres, J.; Calzada-Perez, M.A.; Rodriguez-Hernandez, J. Exploratory study of porous asphalt mixtures with additions of reclaimed tetra pak material. Constr. Build. Mater. 2018, 160, 233–239. [Google Scholar] [CrossRef]
- Lyons, K.R.; Putman, B.J. Laboratory evaluation of stabilizing methods for porous asphalt mixtures. Constr. Build. Mater. 2013, 49, 772–780. [Google Scholar] [CrossRef]
- Prasad, V.D.; Prakash, E.L.; Abishek, M.; Dev, K.U.; Kiran, C.K.S. Study on concrete containing Waste Foundry Sand, Fly Ash and Polypropylene fibre using Taguchi Method. Mater. Today Proc. 2018, 5, 23964–23973. [Google Scholar] [CrossRef]
- Kumar, N.R.; Ranga, C.H.; Srikant, P.; Rao, B.R. Mechanical properties of corn fiber reinforced polypropylene composites using Taguchi method. Mater. Today Proc. 2015, 2, 3084–3092. [Google Scholar] [CrossRef]
- Kumar Karna, S.; Sahai, R. An Overview on Taguchi Method. Int. J. Eng. Math. Sci. 2012, 1, 11–18. [Google Scholar]
- Mehta, A.; Siddique, R.; Pratap, B.; Aggoun, S.; Łagód, G.; Barnat-hunek, D. Influence of various parameters on strength and absorption properties of fly ash based geopolymer concrete designed by Taguchi method. Constr. Build. Mater. 2017, 150, 817–824. [Google Scholar] [CrossRef]
- Şimşek, B.; Tansel, Y.; Şimşek, E.H. A TOPSIS-based Taguchi optimization to determine optimal mixture proportions of the high strength self-compacting concrete. Chemom. Intell. Lab. Syst. 2013, 125, 18–32. [Google Scholar] [CrossRef]
- Ferdous, W.; Manalo, A.; Aravinthan, T. Bond behaviour of composite sandwich panel and epoxy polymer matrix: Taguchi design of experiments and theoretical predictions. Constr. Build. Mater. 2017, 145, 76–87. [Google Scholar] [CrossRef]
- Teimortashlu, E.; Dehestani, M.; Jalal, M. Application of Taguchi method for compressive strength optimization of tertiary blended self-compacting mortar. Constr. Build. Mater. 2018, 190, 1182–1191. [Google Scholar] [CrossRef]
- Slebi-Acevedo, C.J.; Silva-Rojas, I.M.; Lastra-González, P.; Pascual-Muñoz, P.; Castro-Fresno, D. Multiple-response optimization of open graded friction course reinforced with fibers through CRITIC-WASPAS based on Taguchi methodology. Constr. Build. Mater. 2020, 233, 117274. [Google Scholar] [CrossRef]
- Jato-Espino, D.; Castillo-Lopez, E.; Rodriguez-Hernandez, J.; Canteras-Jordana, J.C. A review of application of multi-criteria decision making methods in construction. Autom. Constr. 2014, 45, 151–162. [Google Scholar] [CrossRef]
- Zhang, X.; Zhang, Q.; Sun, T.; Zou, Y.; Chen, H. Evaluation of urban public transport priority performance based on the improved TOPSIS method: A case study of Wuhan. Sustain. Cities Soc. 2018, 43, 357–365. [Google Scholar] [CrossRef]
- Jato-espino, D.; László, G.; Indacoechea-Vega, I.; Castro-Fresno, D. Decision support model for the selection of asphalt wearing courses in highly trafficked roads. Soft Comput. 2018, 22, 7407–7421. [Google Scholar] [CrossRef]
- Egle, Š.; Jurgita, A. Solving the problems of daylighting and tradition continuity in a reconstructed vernacular building. J. Civ. Eng. Manag. 2013, 19, 873–882. [Google Scholar]
- Salih, M.M.; Zaidan, B.B.; Zaidan, A.A.; Ahmed, M.A. Survey on fuzzy TOPSIS state-of-the-art between 2007 and 2017. Comput. Oper. Res. 2019, 104, 207–227. [Google Scholar] [CrossRef]
- Ertugrul, I.; Karakasoglu, N. Fuzzy TOPSIS method for academic member selection in engineering faculty. Innov. E-learning Instr. Technol. Assessment Eng. Educ. 2007, 151–156. [Google Scholar]
- Diakoulaki, D.; Mavrotas, G.; Papayannakis, L. Determining objective weights in multiple criteria problems: The critic method. Comput. Oper. Res. 1995, 22, 763–770. [Google Scholar] [CrossRef]
- Rostamzadeh, R.; Ghorabaee, M.K.; Govindan, K.; Esmaeili, A.; Nobar, H.B.K. Evaluation of sustainable supply chain risk management using an integrated fuzzy TOPSIS-CRITIC approach. J. Clean. Prod. 2018, 175, 651–669. [Google Scholar] [CrossRef]
- Kumari, M.; Kulkarni, M.S. Single-measure and multi-measure approach of predictive manufacturing control: A comparative study. Comput. Ind. Eng. 2019, 127, 182–195. [Google Scholar] [CrossRef]
- Kumari, M.; Kulkarni, M.S. A unified index for proactive shop floor control. Int. J. Adv. Manuf. Technol. 2019, 100, 2435–2454. [Google Scholar] [CrossRef]
- Gopal, P.M.; Soorya Prakash, K. Minimization of cutting force, temperature and surface roughness through GRA, TOPSIS and Taguchi techniques in end milling of Mg hybrid MMC. Measurement 2018, 116, 178–192. [Google Scholar] [CrossRef]
- Pretel, G.B. PG-3, Pliego de Prescripciones Técnicas Generales Para Obras de Carreteras y Puentes; Ediciones Liteam SL: Madrid, Spain, 2002; p. 514. [Google Scholar]
- Alvarez, B.; Martin, A.E.; Estakhri, C.; Izzo, R. Determination of volumetric properties for permeable friction course mixtures. J. Test. Eval. 2009, 39, 1–10. [Google Scholar]
- Wang, X.; Gu, X.; Jiang, J.; Deng, H. Experimental analysis of skeleton strength of porous asphalt mixtures. Constr. Build. Mater. 2018, 171, 13–21. [Google Scholar] [CrossRef]
- Nikolaides, A. Highway Engineering. Pavements, Materials and Control Quality; CRC Press: Boca Raton, FL, USA, 2015. [Google Scholar]
- Mahmud, M.Z.H.; Hassan, N.A.; Hainin, M.R.; Ismail, C.R. Microstructural investigation on air void properties of porous asphalt using virtual cut section. Constr. Build. Mater. 2017, 155, 485–494. [Google Scholar] [CrossRef]
- Adalı, E.A.; Işık, A.T. Critic and Maut Methods for the Contract Manufacturer Selection Problem. Eur. J. Multidiscip. Stud. 2017, 5, 93. [Google Scholar] [CrossRef]













| Input Parameter | Notation | Level 1 | Level 2 | Level 3 |
|---|---|---|---|---|
| Binder type | BT | 50/70 | PMB | - |
| Fiber content (%) | FC | 0.00 | 0.05 | 0.15 |
| Binder content (%) | BC | 4.5 | 5.0 | 5.5 |
| Design | Binder Type | Fiber Content | Binder Content |
|---|---|---|---|
| 1 | 50/70 | 0.00 | 4.50 |
| 2 | 50/70 | 0.00 | 5.00 |
| 3 | 50/70 | 0.00 | 5.50 |
| 4 | 50/70 | 0.05 | 4.50 |
| 5 | 50/70 | 0.05 | 5.00 |
| 6 | 50/70 | 0.05 | 5.50 |
| 7 | 50/70 | 0.15 | 4.50 |
| 8 | 50/70 | 0.15 | 5.00 |
| 9 | 50/70 | 0.15 | 5.50 |
| 10 | PMB45/80-65 | 0.00 | 4.50 |
| 11 | PMB45/80-65 | 0.00 | 5.00 |
| 12 | PMB45/80-65 | 0.00 | 5.50 |
| 13 | PMB45/80-65 | 0.05 | 4.50 |
| 14 | PMB45/80-65 | 0.05 | 5.00 |
| 15 | PMB45/80-65 | 0.05 | 5.50 |
| 16 | PMB45/80-65 | 0.15 | 4.50 |
| 17 | PMB45/80-65 | 0.15 | 5.00 |
| 18 | PMB45/80-65 | 0.15 | 5.50 |
| Characteristic | Value | Standard | Specification |
|---|---|---|---|
| Coarse Aggregate | |||
| Specific Weight (g/cm3) | 2.794 | EN 1097-6 | - |
| Water absorption (%) | 0.60 | EN 1097-6 | <1% |
| L.A abrasion (%) | 15 | EN 1097-2 | ≤15% |
| Slab Index (%) | <1% | EN 933-3 | ≤20% |
| Polishing Value | 60 | EN 1097-8 | ≥56 |
| Fine Aggregate | |||
| Specific Weight (g/cm3) | 2.724 | EN 1097-6 | - |
| Sand Equivalent | 78 | EN 933-8 | >55 |
| Binder | Test | Standard Method | Value |
|---|---|---|---|
| 50/70 | Penetration at 25 °C (mm/10) | EN 1426 | 57.00 |
| Specific Gravity | EN 15326 | 1.04 | |
| Softening point (°C) | EN 1427 | 51.60 | |
| Fraass brittle point (°C) | EN 12593 | −13.00 | |
| PMB 45/80-65 | Penetration at 25 °C (mm/10) | EN 1426 | 49.50 |
| Specific Gravity | EN 15326 | 1.03 | |
| Softening point (°C) | EN 1427 | 72.30 | |
| Fraass fragility point (°C) | EN 12593 | −15.00 | |
| Ductility force at 5 °C (J/cm2) | EN 13589 | 3.11 | |
| Elastic recovery at 25 °C (%) | EN 13398 | 90.00 |
| Fiber | Aramid | Polyolefin |
|---|---|---|
| Form | Monofilament | Serrated |
| Color | Yellow | Yellow |
| Density (g/cm3) | 1.44 | 0.91 |
| Length (mm) | 19 | 19 |
| Tensile Strength (MPa) | 2758 | 483 |
| Decomposition temperature (°C) | > 450 | 157 |
| Acid/Alkali Resistance | Inert | Inert |
| Design | Total Air Voids (TAV) | Interconnected Air Voids (IAV) | Particle Loss-Dry Condition (PLDRY) | Particle Loss-Wet Condition (PLWET) | Binder Drainage (BD) | ||||
|---|---|---|---|---|---|---|---|---|---|
| mean | SD | mean | SD | mean | SD | mean | SD | ||
| 1 | 21.39 | 0.75 | 14.59 | 1.32 | 14.96 | 1.99 | 19.12 | 5.51 | 0.01 |
| 2 | 18.85 | 0.14 | 12.45 | 0.70 | 6.76 | 2.65 | 15.32 | 3.20 | 0.40 |
| 3 | 18.68 | 1.12 | 11.94 | 1.48 | 9.37 | 0.75 | 8.28 | 2.03 | 2.25 |
| 4 | 21.36 | 0.35 | 15.59 | 1.01 | 12.52 | 1.99 | 39.85 | 10.23 | 0.01 |
| 5 | 19.67 | 0.40 | 13.57 | 0.61 | 7.90 | 4.27 | 15.71 | 1.89 | 0.03 |
| 6 | 18.85 | 0.14 | 12.45 | 0.70 | 4.90 | 1.68 | 10.70 | 1.40 | 0.59 |
| 7 | 23.22 | 0.22 | 17.26 | 0.38 | 19.71 | 2.01 | 35.95 | 5.05 | 0.02 |
| 8 | 20.38 | 0.88 | 14.14 | 1.06 | 15.66 | 1.86 | 22.74 | 3.15 | 0.01 |
| 9 | 17.49 | 1.30 | 11.22 | 0.99 | 7.01 | 1.39 | 9.08 | 2.15 | 0.16 |
| 10 | 20.59 | 1.89 | 14.36 | 2.22 | 10.57 | 4.80 | 10.81 | 3.54 | 0.00 |
| 11 | 21.12 | 0.40 | 15.16 | 0.80 | 5.16 | 2.77 | 7.19 | 1.68 | 0.28 |
| 12 | 20.18 | 2.18 | 13.93 | 2.91 | 4.73 | 0.78 | 7.49 | 1.72 | 0.97 |
| 13 | 20.81 | 2.14 | 14.47 | 2.66 | 5.94 | 2.20 | 7.80 | 3.52 | 0.00 |
| 14 | 19.54 | 1.88 | 12.39 | 2.80 | 8.12 | 5.19 | 5.62 | 0.26 | 0.04 |
| 15 | 18.42 | 2.51 | 14.39 | 3.43 | 2.52 | 0.96 | 8.25 | 2.47 | 0.12 |
| 16 | 19.50 | 1.14 | 13.12 | 0.91 | 8.47 | 3.70 | 7.73 | 0.45 | 0.04 |
| 17 | 20.22 | 0.17 | 14.15 | 0.11 | 4.77 | 1.02 | 5.26 | 0.76 | 0.05 |
| 18 | 19.91 | 1.03 | 13.03 | 0.97 | 3.30 | 0.34 | 3.48 | 0.62 | 0.21 |
| Variance Source | Degree of Freedom (DoF) | Adj SS | Adj MS | F-Value | Contribution (%) |
|---|---|---|---|---|---|
| Total air voids (%) | |||||
| Fiber content (%) | 2 | 0.783 | 0.392 | 0.42 | 3.12 |
| Binder content (%) | 2 | 20.565 | 10.282 | 10.98 | 81.95 |
| Error | 4 | 3.747 | 0.937 | 14.93 | |
| Total | 8 | 25.095 | 100.00 | ||
| Interconnected air voids (%) | |||||
| Fiber content (%) | 2 | 2.339 | 1.170 | 1.32 | 7.88 |
| Binder content (%) | 2 | 23.794 | 11.897 | 13.48 | 80.21 |
| Error | 4 | 3.531 | 0.883 | 11.90 | |
| Total | 8 | 29.664 | 100.00 | ||
| Particle loss—dry conditions | |||||
| Fiber content (%) | 2 | 50.220 | 25.112 | 3.01 | 25.22 |
| Binder content (%) | 2 | 115.440 | 57.722 | 6.91 | 57.98 |
| Error | 4 | 33.420 | 8.354 | 16.79 | |
| Total | 8 | 199.090 | 100.00 | ||
| Particle loss—wet conditions | |||||
| Fiber content (%) | 2 | 131.500 | 65.760 | 1.76 | 12.66 |
| Binder content (%) | 2 | 757.900 | 378.970 | 10.16 | 72.97 |
| Error | 4 | 149.100 | 37.290 | 14.36 | |
| Total | 8 | 1038.600 | 100.00 | ||
| Binder drainage | |||||
| Fiber content (%) | 2 | 1.157 | 0.579 | 1.68 | 27.21 |
| Binder content (%) | 2 | 1.719 | 0.860 | 2.5 | 40.43 |
| Error | 4 | 1.375 | 0.344 | 32.34 | |
| Total | 8 | 4.252 | 100.00 |
| Design | TAV (%) | IAV (%) | PLDRY (%) | PLWET (%) | BD (%) |
|---|---|---|---|---|---|
| 1 | 0.68 | 0.56 | 0.28 | 0.57 | 1.00 |
| 2 | 0.24 | 0.20 | 0.75 | 0.67 | 0.82 |
| 3 | 0.21 | 0.12 | 0.60 | 0.87 | 0.00 |
| 4 | 0.68 | 0.72 | 0.42 | 0.00 | 1.00 |
| 5 | 0.38 | 0.39 | 0.69 | 0.66 | 0.99 |
| 6 | 0.24 | 0.20 | 0.86 | 0.80 | 0.74 |
| 7 | 1.00 | 1.00 | 0.00 | 0.11 | 0.99 |
| 8 | 0.50 | 0.48 | 0.24 | 0.47 | 1.00 |
| 9 | 0.00 | 0.00 | 0.74 | 0.85 | 0.93 |
| 10 | 0.54 | 0.52 | 0.53 | 0.80 | 1.00 |
| 11 | 0.63 | 0.65 | 0.85 | 0.90 | 0.88 |
| 12 | 0.47 | 0.45 | 0.87 | 0.89 | 0.57 |
| 13 | 0.58 | 0.54 | 0.80 | 0.88 | 1.00 |
| 14 | 0.36 | 0.19 | 0.67 | 0.94 | 0.98 |
| 15 | 0.16 | 0.53 | 1.00 | 0.87 | 0.95 |
| 16 | 0.35 | 0.32 | 0.65 | 0.88 | 0.98 |
| 17 | 0.48 | 0.49 | 0.87 | 0.95 | 0.98 |
| 18 | 0.42 | 0.30 | 0.95 | 1.00 | 0.91 |
| SD | 0.23 | 0.24 | 0.27 | 0.28 | 0.25 |
| TAV (%) | IAV (%) | PLDRY (%) | PLWET (%) | BD (%) | |
|---|---|---|---|---|---|
| TAV (%) | 1.00 | 0.89 | −0.63 | −0.59 | 0.34 |
| IAV (%) | 0.89 | 1.00 | −0.50 | −0.62 | 0.40 |
| PLDRY (%) | −0.63 | −0.62 | 1.00 | 0.79 | −0.16 |
| PLWET (%) | −0.59 | −0.62 | 0.79 | 1.00 | −0.24 |
| BD (%) | 0.34 | 0.40 | −0.16 | −0.24 | 1.00 |
| Criteria | Cj | Wj |
|---|---|---|
| TAV (%) | 0.93 | 0.18 |
| IAV (%) | 0.92 | 0.17 |
| PLDRY (%) | 1.25 | 0.24 |
| PLWET (%) | 1.31 | 0.25 |
| BD (%) | 0.90 | 0.17 |
| Design No. | Weighted Normalized Values | |||||||||
|---|---|---|---|---|---|---|---|---|---|---|
| TAV (%) | IAV (%) | PLDRY (%) | PLWET (%) | BD (%) | Si+ | Si− | Si+ + Si− | CCC | Rank | |
| 1 | 0.045 | 0.042 | 0.088 | 0.068 | 0.001 | 0.09 | 0.17 | 0.26 | 0.65 | 14 |
| 2 | 0.040 | 0.036 | 0.040 | 0.054 | 0.026 | 0.06 | 0.16 | 0.22 | 0.73 | 12 |
| 3 | 0.040 | 0.035 | 0.055 | 0.029 | 0.148 | 0.16 | 0.09 | 0.25 | 0.37 | 18 |
| 4 | 0.045 | 0.045 | 0.074 | 0.141 | 0.001 | 0.14 | 0.15 | 0.29 | 0.51 | 17 |
| 5 | 0.042 | 0.039 | 0.047 | 0.056 | 0.002 | 0.06 | 0.18 | 0.23 | 0.76 | 10 |
| 6 | 0.040 | 0.036 | 0.029 | 0.038 | 0.039 | 0.05 | 0.16 | 0.21 | 0.76 | 11 |
| 7 | 0.049 | 0.050 | 0.116 | 0.127 | 0.001 | 0.15 | 0.16 | 0.32 | 0.52 | 16 |
| 8 | 0.043 | 0.041 | 0.092 | 0.080 | 0.001 | 0.10 | 0.16 | 0.27 | 0.61 | 15 |
| 9 | 0.037 | 0.032 | 0.041 | 0.032 | 0.011 | 0.04 | 0.19 | 0.23 | 0.82 | 8 |
| 10 | 0.044 | 0.042 | 0.062 | 0.038 | 0.000 | 0.06 | 0.19 | 0.24 | 0.77 | 9 |
| 11 | 0.045 | 0.044 | 0.030 | 0.025 | 0.018 | 0.03 | 0.19 | 0.22 | 0.87 | 5 |
| 12 | 0.043 | 0.040 | 0.028 | 0.026 | 0.064 | 0.07 | 0.14 | 0.21 | 0.68 | 13 |
| 13 | 0.044 | 0.042 | 0.035 | 0.028 | 0.000 | 0.03 | 0.21 | 0.23 | 0.88 | 4 |
| 14 | 0.041 | 0.036 | 0.048 | 0.020 | 0.003 | 0.04 | 0.20 | 0.24 | 0.84 | 6 |
| 15 | 0.039 | 0.042 | 0.015 | 0.029 | 0.008 | 0.02 | 0.20 | 0.23 | 0.90 | 3 |
| 16 | 0.041 | 0.038 | 0.050 | 0.027 | 0.003 | 0.04 | 0.20 | 0.24 | 0.83 | 7 |
| 17 | 0.043 | 0.041 | 0.028 | 0.019 | 0.003 | 0.02 | 0.21 | 0.23 | 0.92 | 1 |
| 18 | 0.042 | 0.038 | 0.019 | 0.012 | 0.014 | 0.02 | 0.21 | 0.23 | 0.91 | 2 |
| Source | DF | Adj SS | Adj MS | F-Value | P-Value | Significance |
|---|---|---|---|---|---|---|
| Model | 4 | 0.280 | 0.070 | 6.430 | 0.004 | Significant |
| Linear | 3 | 0.226 | 0.075 | 6.930 | 0.005 | Significant |
| Binder type | 1 | 0.196 | 0.196 | 18.020 | 0.001 | Significant |
| Fiber content (%) | 1 | 0.018 | 0.018 | 1.610 | 0.227 | |
| Binder content (%) | 1 | 0.013 | 0.013 | 1.150 | 0.303 | |
| 2-Way Interaction | 1 | 0.060 | 0.060 | 5.510 | 0.035 | Significant |
| Fiber content (%) *Binder content (%) | 1 | 0.060 | 0.060 | 5.510 | 0.035 | Significant |
| Error | 13 | 0.142 | 0.011 | |||
| Total | 17 | 0.422 |
© 2019 by the authors. Licensee MDPI, Basel, Switzerland. This article is an open access article distributed under the terms and conditions of the Creative Commons Attribution (CC BY) license (http://creativecommons.org/licenses/by/4.0/).
Share and Cite
Slebi-Acevedo, C.J.; Pascual-Muñoz, P.; Lastra-González, P.; Castro-Fresno, D. Multi-Response Optimization of Porous Asphalt Mixtures Reinforced with Aramid and Polyolefin Fibers Employing the CRITIC-TOPSIS Based on Taguchi Methodology. Materials 2019, 12, 3789. https://doi.org/10.3390/ma12223789
Slebi-Acevedo CJ, Pascual-Muñoz P, Lastra-González P, Castro-Fresno D. Multi-Response Optimization of Porous Asphalt Mixtures Reinforced with Aramid and Polyolefin Fibers Employing the CRITIC-TOPSIS Based on Taguchi Methodology. Materials. 2019; 12(22):3789. https://doi.org/10.3390/ma12223789
Chicago/Turabian StyleSlebi-Acevedo, Carlos J., Pablo Pascual-Muñoz, Pedro Lastra-González, and Daniel Castro-Fresno. 2019. "Multi-Response Optimization of Porous Asphalt Mixtures Reinforced with Aramid and Polyolefin Fibers Employing the CRITIC-TOPSIS Based on Taguchi Methodology" Materials 12, no. 22: 3789. https://doi.org/10.3390/ma12223789
APA StyleSlebi-Acevedo, C. J., Pascual-Muñoz, P., Lastra-González, P., & Castro-Fresno, D. (2019). Multi-Response Optimization of Porous Asphalt Mixtures Reinforced with Aramid and Polyolefin Fibers Employing the CRITIC-TOPSIS Based on Taguchi Methodology. Materials, 12(22), 3789. https://doi.org/10.3390/ma12223789
