Microstructure Evolution in ZrCx with Different Stoichiometries Irradiated by Four MeV Au Ions
Abstract
:1. Introduction
2. Materials and Methods
2.1. Materials
2.2. Au Ions Irradiation
2.3. Characterization
3. Results
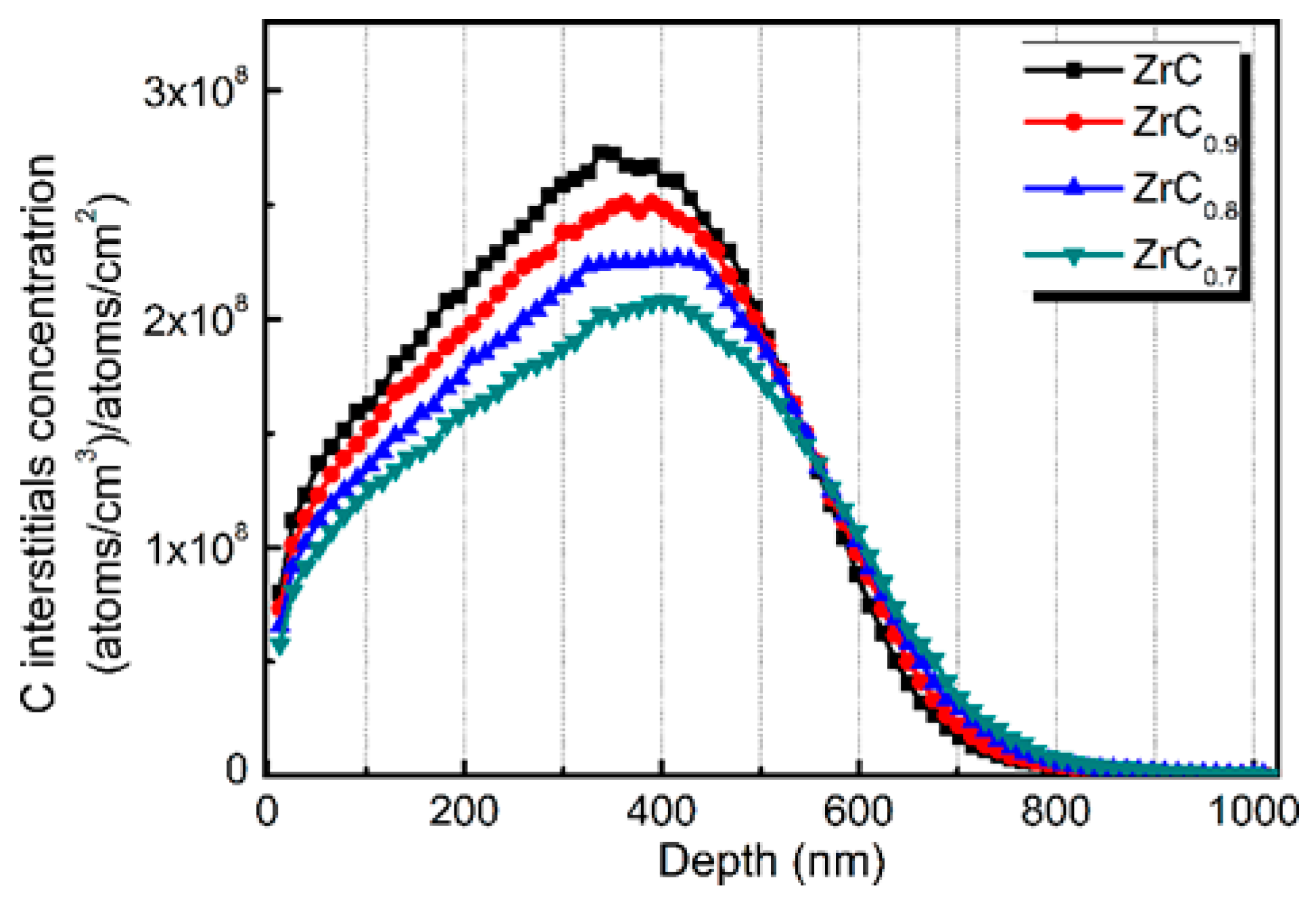
3.1. Irradiation Damage Simulation
3.2. Lattice Parameter Changes
3.3. Microstructure Changes
3.3.1. ZrC
3.3.2. ZrC0.9
3.3.3. ZrC0.8
3.3.4. ZrC0.7
4. Discussion
5. Conclusions
Author Contributions
Funding
Acknowledgments
Conflicts of Interest
References
- Yvon, P.; Carré, F. Structural materials challenges for advanced reactor systems. J. Nucl. Mater. 2009, 385, 217–222. [Google Scholar] [CrossRef]
- Katoh, Y.; Snead, L.L.; Szlufarska, I.; Weber, W.J. Radiation effects in SiC for nuclear structural applications. Curr. Opin. Solid State Mater. Sci. 2012, 16, 143–152. [Google Scholar] [CrossRef]
- Goodin, D. Accident Condition Performance of Fuels for High-Temperature Gas-Cooled Reactors. J. Am. Ceram. Soc. 1982, 65, 238–242. [Google Scholar] [CrossRef]
- Minato, K.; Ogawa, T.; Kashimura, S.; Fukuda, K.; Shimizu, M.; Tayama, Y.; Takahashi, I. Fission product palladium-silicon carbide interaction in HTGR fuel particles. J. Nucl. Mater. 1990, 172, 184–196. [Google Scholar] [CrossRef]
- Ulmer, C.J.; Motta, A.T.; Kirk, M.A. In situ ion irradiation of zirconium carbide. J. Nucl. Mater. 2015, 466, 606–614. [Google Scholar] [CrossRef]
- Ushakov, S.V.; Navrotsky, A.; Hong, Q.-J.; van de Walle, A. Carbides and Nitrides of Zirconium and Hafnium. Materials 2019, 12, 2728. [Google Scholar] [CrossRef]
- Porter, I.E.; Knight, T.W.; Dulude, M.C.; Roberts, E.; Hobbs, J. Design and fabrication of an advanced TRISO fuel with ZrC coating. Nucl. Eng. Des. 2013, 259, 180–186. [Google Scholar] [CrossRef]
- Vasudevamurthy, G.; Knight, T.W.; Roberts, E.; Adams, T.M. Laboratory production of zirconium carbide compacts for use in inert matrix fuels. J. Nucl. Mater. 2008, 374, 241–247. [Google Scholar] [CrossRef]
- Guillermet, A.F. Analysis of thermochemical properties and phase stability in the zirconium-carbon system. J. Alloys Compd. 1995, 217, 69–89. [Google Scholar] [CrossRef]
- Wei, B.; Wang, D.; Wang, Y.; Zhang, H.; Peng, S.; Xu, C.; Song, G.; Zhou, Y. Corrosion kinetics and mechanisms of ZrC 1− x ceramics in high temperature water vapor. RSC Adv. 2018, 8, 18163–18174. [Google Scholar] [CrossRef]
- Wei, B.; Chen, L.; Wang, Y.; Zhang, H.; Peng, S.; Ouyang, J.; Wang, D.; Zhou, Y. Densification, mechanical and thermal properties of ZrC1−x ceramics fabricated by two-step reactive hot pressing of ZrC and ZrH2 powders. J. Eur. Ceram. Soc. 2018, 38, 411–419. [Google Scholar] [CrossRef]
- Katoh, Y.; Vasudevamurthy, G.; Nozawa, T.; Snead, L.L. Properties of zirconium carbide for nuclear fuel applications. J. Nucl. Mater. 2013, 441, 718–742. [Google Scholar] [CrossRef]
- Gan, J.; Meyer, M.K.; Birtcher, R.C.; Allen, T.R. Microstructure Evolution in ZrC Irradiated with Kr ions. J. Astm Int. 2006, 3, 12376. [Google Scholar] [CrossRef]
- Yang, Y.; Dickerson, C.A.; Swoboda, H.; Miller, B.; Allen, T.R. Microstructure and mechanical properties of proton irradiated zirconium carbide. J. Nucl. Mater. 2008, 378, 341–348. [Google Scholar] [CrossRef]
- Gosset, D.; Dollé, M.; Simeone, D.; Baldinozzi, G.; Thomé, L. Structural evolution of zirconium carbide under ion irradiation. J. Nucl. Mater. 2008, 373, 123–129. [Google Scholar] [CrossRef]
- Pellegrino, S.; Trocellier, P.; Thomé, L.; Miro, S.; Costantini, J.M.; Jouanny, E. Raman investigation of ion irradiated TiC and ZrC. Nucl. Instrum. Meth. Phys. Res. B 2019, 454, 61–67. [Google Scholar] [CrossRef]
- Agarwal, S.; Bhattacharya, A.; Trocellier, P.; Zinkle, S.J. Helium induced microstructure damage, nano-scale grain formation and helium retention behaviour of ZrC. Acta Mater. 2019, 163, 14–27. [Google Scholar] [CrossRef]
- Snead, L.L.; Katoh, Y.; Kondo, S. Effects of fast neutron irradiation on zirconium carbide. J. Nucl. Mater. 2010, 399, 200–207. [Google Scholar] [CrossRef]
- Huang, Y.; Maier, B.R.; Allen, T.R. Irradiation-induced effects of proton irradiation on zirconium carbides with different stoichiometries. Nucl. Eng. Des. 2014, 277, 55–63. [Google Scholar] [CrossRef]
- Yang, Y.; Lo, W.-Y.; Dickerson, C.; Allen, T.R. Stoichiometry effect on the irradiation response in the microstructure of zirconium carbides. J. Nucl. Mater. 2014, 454, 130–135. [Google Scholar] [CrossRef]
- Wei, B.; Wang, Y.; Zhang, H.; Wang, D.; Peng, S.; Zhou, Y. Microstructure evolution of nonstoichiometric ZrC0. 6 with ordered carbon vacancies under ion irradiation. Mater. Lett. 2018, 228, 254–257. [Google Scholar] [CrossRef]
- Zheng, M.-J.; Szlufarska, I.; Morgan, D. Defect kinetics and resistance to amorphization in zirconium carbide. J. Nucl. Mater. 2015, 457, 343–351. [Google Scholar] [CrossRef]
- Xue, J.-X.; Zhang, G.-J.; Guo, L.-P.; Zhang, H.-B.; Wang, X.-G.; Zou, J.; Peng, S.-M.; Long, X.-G. Improved radiation damage tolerance of titanium nitride ceramics by introduction of vacancy defects. J. Eur. Ceram. Soc. 2014, 34, 633–639. [Google Scholar] [CrossRef]
- Zhang, L.; Qi, Q.; Shi, L.Q.; O’Connor, D.J.; King, B.V.; Kisi, E.H.; Venkatachalam, D.K. Damage tolerance of Ti3SiC2 to high energy iodine irradiation. Appl. Surf. Sci. 2012, 258, 6281–6287. [Google Scholar] [CrossRef]
- Nappé, J.C.; Monnet, I.; Grosseau, P.; Audubert, F.; Guilhot, B.; Beauvy, M.; Benabdesselam, M.; Thomé, L. Structural changes induced by heavy ion irradiation in titanium silicon carbide. J. Nucl. Mater. 2011, 409, 53–61. [Google Scholar] [CrossRef]
- Liu, X.; Le Flem, M.; Béchade, J.-L.; Onimus, F.; Cozzika, T.; Monnet, I. XRD investigation of ion irradiated Ti3Si0.90Al0.10C2. Nucl. Instrum. Meth. Phys. Res. B 2010, 268, 506–512. [Google Scholar] [CrossRef]
- Xue, J.-X.; Zhang, G.-J.; Xu, F.-F.; Zhang, H.-B.; Wang, X.-G.; Peng, S.-M.; Long, X.-G. Lattice expansion and microstructure evaluation of Ar ion-irradiated titanium nitride. Nucl. Instrum. Meth. B 2013, 308, 62–67. [Google Scholar] [CrossRef]
- Wang, C.; Yang, T.; Tracy, C.L.; Lu, C.; Zhang, H.; Hu, Y.-J.; Wang, L.; Qi, L.; Gu, L.; Huang, Q.; et al. Disorder in Mn+1AXn phases at the atomic scale. Nat. Commun. 2019, 10, 622. [Google Scholar] [CrossRef]
- Gan, J.; Yang, Y.; Dickson, C.; Allen, T. Proton irradiation study of GFR candidate ceramics. J. Nucl. Mater. 2009, 389, 317–325. [Google Scholar] [CrossRef]









| Materials | ZrC | ZrC0.9 | ZrC0.8 | ZrC0.7 | |
|---|---|---|---|---|---|
| Basic properties | Density (g/cm3) | 6.59 | 6.49 | 6.41 | 6.31 | 
| Relative density (%) | 99.0 | 98.3 | 98.0 | 97.5 | |
| Grain sizes (μm) | 14.6 ± 5.8 | 13.5 ± 4.7 | 13.0 ± 4.4 | 13.5 ± 5.2 | |
| Lattice parameters (Å) | 4.6815 ± 0.0013 | 4.6810 ± 0.0031 | 4.6784 ± 0.0027 | 4.6776 ± 0.0011 | |
| Input parameters for the stopping and range of ions in matter version 2013 (SRIM-2013) simulation | Calculation type | Detailed Calculation with Full Damage Cascades | |||
| Ion species | Gold (Au) | ||||
| Ion energy | Four MeV | ||||
| Target width | 1000 nm | ||||
| Target density | 6.59 g/cm3 | 6.49 g/cm3 | 6.41 g/cm3 | 6.31 g/cm3 | |
| Target composition | ZrC | ZrC0.9 | ZrC0.8 | ZrC0.7 | |
| Displacement energy | Zr = 37 eV, C = 16eV [22] | ||||
| Number of ions | 10000 | ||||
| Materials | ZrC | ZrC0.9 | ZrC0.8 | ZrC0.7 | |
|---|---|---|---|---|---|
| Lattice parameters(Å) | Before irradiation | 4.6815 ± 0.0013 | 4.6810 ± 0.0031 | 4.6784 ± 0.0027 | 4.6776 ± 0.0011 | 
| After irradiation | 4.6870 ± 0.0007 | 4.6848 ± 0.0025 | 4.6813 ± 0.0038 | 4.6785 ± 0.0024 | |
| Lattice expansion (%) | 0.117 | 0.081 | 0.062 | 0.019 | |
| Mechanism | Migration Path | Migration Barrier (eV) | 
|---|---|---|
| C vacancy | Migration between nearest-neighbor sites on the C sublattice | 4.41 | 
| Zr vacancy | Migration between nearest-neighbor sites on the Zr sublattice | 5.44 | 
| C interstitial | Migration downward via a turning hop and diffuses to the right cell through a straight hop | 0.27 | 
| Zr interstitialcy | Zr atom moves to the neighboring Zr site and kicks out the Zr atom | 0.45 | 
| Zr interstitial | Zr atom diffuses from one interstitial site to another interstitial site | 0.92 | 
| Zr kicks out C | Zr atom moves to the neighboring C site and kicks out a C atom | 1.41 | 
© 2019 by the authors. Licensee MDPI, Basel, Switzerland. This article is an open access article distributed under the terms and conditions of the Creative Commons Attribution (CC BY) license (http://creativecommons.org/licenses/by/4.0/).
Share and Cite
Wei, B.; Wang, D.; Wang, Y.; Zhang, H. Microstructure Evolution in ZrCx with Different Stoichiometries Irradiated by Four MeV Au Ions. Materials 2019, 12, 3768. https://doi.org/10.3390/ma12223768
Wei B, Wang D, Wang Y, Zhang H. Microstructure Evolution in ZrCx with Different Stoichiometries Irradiated by Four MeV Au Ions. Materials. 2019; 12(22):3768. https://doi.org/10.3390/ma12223768
Chicago/Turabian StyleWei, Boxin, Dong Wang, Yujin Wang, and Haibin Zhang. 2019. "Microstructure Evolution in ZrCx with Different Stoichiometries Irradiated by Four MeV Au Ions" Materials 12, no. 22: 3768. https://doi.org/10.3390/ma12223768
APA StyleWei, B., Wang, D., Wang, Y., & Zhang, H. (2019). Microstructure Evolution in ZrCx with Different Stoichiometries Irradiated by Four MeV Au Ions. Materials, 12(22), 3768. https://doi.org/10.3390/ma12223768
 
        

 
       