A Superhydrophilic Aluminum Surface with Fast Water Evaporation Based on Anodic Alumina Bundle Structures via Anodizing in Pyrophosphoric Acid
Abstract
1. Introduction
2. Experimental
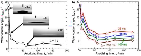
3. Results and Discussion
4. Conclusions
Author Contributions
Funding
Acknowledgments
Conflicts of Interest
References
- Buijnsters, J.G.; Zhong, R.; Tsyntsaru, N.; Celis, J.P. Surface wettability of macroporous anodized aluminum oxide. ACS Appl. Mater. Interfaces 2013, 5, 3224–3233. [Google Scholar] [CrossRef] [PubMed]
- Feng, L.; Zhang, H.; Wang, Z.; Liu, Y. Superhydrophobic aluminum alloy surface: Fabrication, structure, and corrosion resistance. Colloids Surf. A 2014, 441, 319–325. [Google Scholar] [CrossRef]
- Cheng, Y.; Lu, S.; Xu, W. Controllable wettability of micro-and nano-dendritic structures formed on aluminum substrates. New J. Chem. 2015, 39, 6602–6610. [Google Scholar] [CrossRef]
- Li, X.; Zhang, Q.; Guo, Z.; Shi, T.; Yu, J.; Tang, M.; Huang, X. Fabrication of superhydrophobic surface with improved corrosion inhibition on 6061 aluminum alloy substrate. Appl. Surf. Sci. 2015, 342, 76–83. [Google Scholar] [CrossRef]
- Liu, T.; Dong, L.; Liu, T.; Yin, Y. Investigations on reducing microbiologically-influenced corrosion of aluminum by using super-hydrophobic surfaces. Electrochim. Acta 2010, 55, 5281–5285. [Google Scholar] [CrossRef]
- Li, X.W.; Zhang, Q.X.; Guo, Z.; Yu, J.G.; Tang, M.K.; Huang, X.J. Low-cost and large-scale fabrication of a superhydrophobic 5052 aluminum alloy surface with enhanced corrosion resistance. RSC Adv. 2015, 5, 29639–29646. [Google Scholar] [CrossRef]
- Sommers, A.D.; Jacobi, A.M. Creating micro-scale surface topology to achieve anisotropic wettability on an aluminum surface. J. Micromech. Microeng. 2006, 16, 1571. [Google Scholar] [CrossRef]
- Ngo, C.V.; Chun, D.M. Control of laser-ablated aluminum surface wettability to superhydrophobic or superhydrophilic through simple heat treatment or water boiling post-processing. Appl. Surf. Sci. 2018, 435, 974–982. [Google Scholar] [CrossRef]
- Kim, J.; Jun, S.; Lee, J.; Godinez, J.; You, S.M. Effect of surface roughness on pool boiling heat transfer of water on a superhydrophilic aluminum surface. J. Heat Trans. 2017, 139, 101501. [Google Scholar] [CrossRef]
- Song, M.; Liu, Y.; Cui, S.; Liu, L.; Yang, M. Fabrication and icing property of superhydrophilic and superhydrophobic aluminum surfaces derived from anodizing aluminum foil in a sodium chloride aqueous solution. Appl. Surf. Sci. 2013, 283, 19–24. [Google Scholar] [CrossRef]
- Milles, S.; Soldera, M.; Voisiat, B.; Lasagni, A.F. Fabrication of superhydrophobic and ice-repellent surfaces on pure aluminium using single and multiscaled periodic textures. Sci. Rep. 2019, 9, 13944. [Google Scholar] [CrossRef] [PubMed]
- Peng, H.; Luo, Z.; Li, L.; Xia, Z.; Du, J.; Zheng, B. Facile fabrication of superhydrophobic aluminum surfaces by chemical etching and its anti-icing/self-cleaning performances. Mater. Res. Express 2019, 6, 096586. [Google Scholar] [CrossRef]
- Qiu, R.; Li, Z.; Wu, Z. Enhanced anti-icing and anti-corrosion properties of wear-resistant superhydrophobic surfaces based on Al alloys. Mater. Res. Express 2019, 6, 045059. [Google Scholar] [CrossRef]
- Hiromae, Y.; Kurata, M.; Kobayashi, M.; Saito, M. Wettability and corrosion resistance of prepainted aluminum fins for heat exchangers. J. Surf. Fin. Soc. Jpn. 1990, 41, 1187–1191. [Google Scholar] [CrossRef][Green Version]
- Vatanpour, V.; Madaeni, S.S.; Rajabi, L.; Zinadini, S.; Derakhshan, A.A. Boehmite nanoparticles as a new nanofiller for preparation of antifouling mixed matrix membranes. J. Membr. Sci. 2012, 401, 132–143. [Google Scholar] [CrossRef]
- Takata, Y.; Hidaka, S.; Yamashita, A.; Yamamoto, H. Evaporation of water drop on a plasma-irradiated hydrophilic surface. Int. J. Heat Fluid Flow 2004, 25, 320–328. [Google Scholar] [CrossRef]
- Tsougeni, K.; Vourdas, N.; Tserepi, A.; Gogolides, E.; Cardinaud, C. Mechanisms of oxygen plasma nanotexturing of organic polymer surfaces: From stable super hydrophilic to super hydrophobic surfaces. Langmuir 2009, 25, 11748–11759. [Google Scholar] [CrossRef]
- Lee, M.; Kwak, G.; Yong, K. Wettability control of ZnO nanoparticles for universal applications. ACS Appl. Mater. Interfaces 2011, 3, 3350–3356. [Google Scholar] [CrossRef]
- Esmeryan, K.D.; Castano, C.E.; Bressler, A.H.; Abolghasemibizaki, M.; Mohammadi, R. Rapid synthesis of inherently robust and stable superhydrophobic carbon soot coatings. Appl. Surf. Sci. 2016, 369, 341–347. [Google Scholar] [CrossRef]
- Shimizu, K.; Kobayashi, K.; Thompson, G.E.; Wood, G.C. The nature and origin of defects in the barrier oxide layers grown on etched aluminium foils for capacitor applications. J. Mater. Sci. Lett. 1992, 11, 281–283. [Google Scholar] [CrossRef]
- Mozalev, A.; Sakairi, M.; Takahashi, H.; Habazaki, H.; Hubálek, J. Nanostructured anodic-alumina-based dielectrics for high-frequency integral capacitors. Thin Solid Film. 2014, 550, 486–494. [Google Scholar] [CrossRef]
- Shimizu, K.; Brown, G.M.; Habazaki, H.; Kobayashi, K.; Skeldon, P.; Thompson, G.E.; Wood, G.C. Impurity distributions in barrier anodic films on aluminium: A GDOES depth profiling study. Electrochim. Acta 1999, 44, 2297–2306. [Google Scholar] [CrossRef]
- Asoh, H.; Ishino, M.; Hashimoto, H. AC-Bipolar anodization of aluminum: Effects of frequency on thickness of porous alumina films. J. Electrochem. Soc. 2018, 165, C295–C301. [Google Scholar] [CrossRef]
- Kikuchi, T.; Nishinaga, O.; Natsui, S.; Suzuki, R.O. Polymer nanoimprinting using an anodized aluminum mold for structural coloration. Appl. Surf. Sci. 2015, 341, 19–27. [Google Scholar] [CrossRef]
- Liu, Y.; Chang, Y.; Ling, Z.; Hu, X.; Li, Y. Structural coloring of aluminum. Electrochem. Commun. 2011, 13, 1336–1339. [Google Scholar] [CrossRef]
- Fratila-Apachitei, L.E.; Duszczyk, J.; Katgerman, L. Vickers microhardness of AlSi (Cu) anodic oxide layers formed in H2SO4 at low temperature. Surf. Coat. Technol. 2003, 165, 309–315. [Google Scholar] [CrossRef]
- Kikuchi, T.; Takenaga, A.; Natsui, S.; Suzuki, R.O. Advanced hard anodic alumina coatings via etidronic acid anodizing. Surf. Coat. Technol. 2017, 326, 72–78. [Google Scholar] [CrossRef]
- Tseng, C.C.; Lee, J.L.; Kuo, T.H.; Kuo, S.N.; Tseng, K.H. The influence of sodium tungstate concentration and anodizing conditions on microarc oxidation (MAO) coatings for aluminum alloy. Surf. Coat. Technol. 2012, 206, 3437–3443. [Google Scholar] [CrossRef]
- Thompson, G.E.; Zhang, L.; Smith, C.J.E.; Skeldon, P. Boric/sulfuric acid anodizing of aluminum alloys 2024 and 7075: Film growth and corrosion resistance. Corrosion 1999, 55, 1052–1061. [Google Scholar] [CrossRef]
- Suzuki, Y.; Kawahara, K.; Kikuchi, T.; Suzuki, R.O.; Natsui, S. Corrosion-resistant porous alumina formed via anodizing aluminum in etidronic acid and its pore-sealing behavior in boiling water. J. Electrochem. Soc. 2019, 166, C261–C269. [Google Scholar] [CrossRef]
- Kikuchi, T.; Hara, Y.; Sakairi, M.; Yonezawa, T.; Yamauchi, A.; Takahashi, H. Corrosion of Al–Sn–Bi alloys in alcohols at high temperatures. Part II: Effect of anodizing on corrosion. Corros. Sci. 2010, 52, 2525–2534. [Google Scholar] [CrossRef]
- Stępniowski, W.J.; Bojar, Z. Synthesis of anodic aluminum oxide (AAO) at relatively high temperatures. Study of the influence of anodization conditions on the alumina structural features. Surf. Coat. Technol. 2011, 206, 265–272. [Google Scholar] [CrossRef]
- Stępniowski, W.J.; Choi, J.; Yoo, H.; Oh, K.; Michalska-Domańska, M.; Chilimoniuk, P.; Czujko, T.; Łyszkowski, R.; Jóźwiak, S.; Bojar, Z.; et al. Anodization of FeAl intermetallic alloys for bandgap tunable nanoporous mixed aluminum-iron oxide. J. Electroanal. Chem. 2016, 771, 37–44. [Google Scholar] [CrossRef]
- Wen, L.; Xu, R.; Mi, Y.; Lei, Y. Multiple nanostructures based on anodized aluminium oxide templates. Nat. Nanotechnol. 2017, 12, 244–250. [Google Scholar] [CrossRef] [PubMed]
- Kikuchi, T.; Nishinaga, O.; Natsui, S.; Suzuki, R.O. Fabrication of self-ordered porous alumina via etidronic acid anodizing and structural color generation from submicrometer-scale dimple array. Electrochim. Acta 2015, 156, 235–243. [Google Scholar] [CrossRef]
- Ozel, T.; Bourret, G.R.; Mirkin, C.A. Coaxial lithography. Nat. Nanotechnol. 2015, 10, 319–324. [Google Scholar] [CrossRef]
- Yanagishita, T.; Masuda, H. High-throughput fabrication process for highly ordered through-hole porous alumina membranes using two-layer anodization. Electrochim. Acta 2015, 184, 80–85. [Google Scholar] [CrossRef]
- Jha, H.; Kikuchi, T.; Sakairi, M.; Takahashi, H. Area-selective microscale metallization on porous anodic oxide film of aluminium. Electrochem. Commun. 2007, 9, 1596–1601. [Google Scholar] [CrossRef]
- Kondo, T.; Matsumoto, F.; Nishio, K.; Masuda, H. Surface-enhanced Raman scattering on ordered gold nanodot arrays prepared from anodic porous alumina mask. Chem. Lett. 2008, 37, 466–467. [Google Scholar] [CrossRef]
- Jha, H.; Kikuchi, T.; Sakairi, M.; Takahashi, H. Synthesis of aluminum oxy-hydroxide nanofibers from porous anodic alumina. Nanotechnology 2008, 19, 395603. [Google Scholar] [CrossRef]
- Kashi, M.A.; Ramazani, A.; Abbasian, H.; Khayyatian, A. Capacitive humidity sensors based on large diameter porous alumina prepared by high current anodization. Sens. Actuators 2012, 174, 69–74. [Google Scholar] [CrossRef]
- Kondo, T.; Miyazaki, H.; Yanagishita, T.; Masuda, H. Anodic porous alumina with elliptical apertures. Electrochem. Commun. 2018, 96, 61–65. [Google Scholar] [CrossRef]
- Abbasimofrad, S.; Kashi, M.A.; Noormohammadi, M.; Ramazani, A. Tuning the optical properties of nanoporous anodic alumina photonic crystals by control of allowed voltage range via mixed acid concentration. J. Phys. Chem. Solids 2018, 118, 221–231. [Google Scholar] [CrossRef]
- Kim, Y.; Lee, S.; Cho, H.; Park, B.; Kim, D.; Hwang, W. Robust superhydrophilic/hydrophobic surface based on self-aggregated Al2O3 nanowires by single-step anodization and self-assembly method. ACS Appl. Mater. Interfaces 2012, 4, 5074–5078. [Google Scholar] [CrossRef]
- Jeong, C.; Choi, C.H. Single-step direct fabrication of pillar-on-pore hybrid nanostructures in anodizing aluminum for superior superhydrophobic efficiency. ACS Appl. Mater. Interfaces 2012, 4, 842–848. [Google Scholar] [CrossRef]
- Kikuchi, T.; Nishinaga, O.; Nakajima, D.; Kawashima, J.; Natsui, S.; Sakaguchi, N.; Suzuki, R.O. Ultra-high density single nanometer-scale anodic alumina nanofibers fabricated by pyrophosphoric acid anodizing. Sci. Rep. 2014, 4, 7411. [Google Scholar] [CrossRef]
- Nakajima, D.; Kikuchi, T.; Natsui, S.; Sakaguchi, N.; Suzuki, R.O. Fabrication of a novel aluminum surface covered by numerous high-aspect-ratio anodic alumina nanofibers. Appl. Surf. Sci. 2015, 356, 54–62. [Google Scholar] [CrossRef]
- Nakajima, D.; Kikuchi, T.; Natsui, S.; Suzuki, R.O. Highly ordered anodic alumina nanofibers fabricated via two distinct anodizing processes. ECS Electrochem. Lett. 2015, 4, H14–H17. [Google Scholar] [CrossRef]
- Nakajima, D.; Kikuchi, T.; Natsui, S.; Suzuki, R.O. Mirror-finished superhydrophobic aluminum surfaces modified by anodic alumina nanofibers and self-assembled monolayers. Appl. Surf. Sci. 2018, 440, 506–513. [Google Scholar] [CrossRef]
- Nakajima, D.; Kikuchi, T.; Natsui, S.; Suzuki, R.O. Advancing and receding contact angle investigations for highly sticky and slippery aluminum surfaces fabricated from nanostructured anodic oxide. RSC Adv. 2018, 8, 37315–37323. [Google Scholar] [CrossRef]
- Nakajima, D.; Kikuchi, T.; Natsui, S.; Suzuki, R.O. Superhydrophilicity of a nanofiber-covered aluminum surface fabricated via pyrophosphoric acid anodizing. Appl. Surf. Sci. 2016, 389, 173–180. [Google Scholar] [CrossRef][Green Version]
- Kondo, R.; Nakajima, D.; Kikuchi, T.; Natsui, S.; Suzuki, R.O. Superhydrophilic and superhydrophobic aluminum alloys fabricated via pyrophosphoric acid anodizing and fluorinated SAM modification. J. Alloy. Compd. 2017, 725, 379–387. [Google Scholar] [CrossRef]
- Peng, R.; Yang, W.; Fu, L.; Zhu, J.; Li, D.; Zhou, L. Superhydrophilicity of novel anodic alumina nanofibers films and their formation mechanism. Mater. Res. Express 2017, 4, 065007. [Google Scholar] [CrossRef]
- Shimizu, K.; Furneaux, R.C.; Thompson, G.E.; Wood, G.C.; Gotoh, A.; Kobayashi, K. On the nature of “easy paths” for the diffusion of oxygen in thermal oxide films on aluminum. Oxid. Met. 1991, 35, 427–439. [Google Scholar] [CrossRef]
- Hill, J.J.; Haller, K.; Gelfand, B.; Ziegler, K.J. Eliminating capillary coalescence of nanowire arrays with applied electric fields. ACS Appl. Mater. Interfaces 2010, 2, 1992–1998. [Google Scholar] [CrossRef] [PubMed]
- Murakami, D.; Jinnai, H.; Takahara, A. Wetting transition from the Cassie–Baxter state to the Wenzel state on textured polymer surfaces. Langmuir 2014, 30, 2061–2067. [Google Scholar] [CrossRef]
- Konovalov, V.V.; Zangari, G.; Metzger, R.M. Highly ordered nanotopographies on electropolished aluminum single crystals. Chem. Mater. 1999, 11, 1949–1951. [Google Scholar] [CrossRef]
- Ye, J.; Yin, Q.; Zhou, Y. Superhydrophilicity of anodic aluminum oxide film: From “honeycomb” to “bird’s nest”. Thin Solid Film. 2009, 517, 6012–6015. [Google Scholar] [CrossRef]









© 2019 by the authors. Licensee MDPI, Basel, Switzerland. This article is an open access article distributed under the terms and conditions of the Creative Commons Attribution (CC BY) license (http://creativecommons.org/licenses/by/4.0/).
Share and Cite
Nakajima, D.; Kikuchi, T.; Yoshioka, T.; Matsushima, H.; Ueda, M.; Suzuki, R.O.; Natsui, S. A Superhydrophilic Aluminum Surface with Fast Water Evaporation Based on Anodic Alumina Bundle Structures via Anodizing in Pyrophosphoric Acid. Materials 2019, 12, 3497. https://doi.org/10.3390/ma12213497
Nakajima D, Kikuchi T, Yoshioka T, Matsushima H, Ueda M, Suzuki RO, Natsui S. A Superhydrophilic Aluminum Surface with Fast Water Evaporation Based on Anodic Alumina Bundle Structures via Anodizing in Pyrophosphoric Acid. Materials. 2019; 12(21):3497. https://doi.org/10.3390/ma12213497
Chicago/Turabian StyleNakajima, Daiki, Tatsuya Kikuchi, Taiki Yoshioka, Hisayoshi Matsushima, Mikito Ueda, Ryosuke O. Suzuki, and Shungo Natsui. 2019. "A Superhydrophilic Aluminum Surface with Fast Water Evaporation Based on Anodic Alumina Bundle Structures via Anodizing in Pyrophosphoric Acid" Materials 12, no. 21: 3497. https://doi.org/10.3390/ma12213497
APA StyleNakajima, D., Kikuchi, T., Yoshioka, T., Matsushima, H., Ueda, M., Suzuki, R. O., & Natsui, S. (2019). A Superhydrophilic Aluminum Surface with Fast Water Evaporation Based on Anodic Alumina Bundle Structures via Anodizing in Pyrophosphoric Acid. Materials, 12(21), 3497. https://doi.org/10.3390/ma12213497

