Weathering of Roofing Insulation Materials under Multi-Field Coupling Conditions
Abstract
1. Introduction
2. Materials and Methods
2.1. Test Materials
2.2. Test Instrument
2.3. Test Method
2.3.1. Freeze–Thaw Cycle Test
2.3.2. Humid–Heat Cycle Test
2.3.3. Dry–Wet Cycle Test
2.3.4. High–Low Temperature Cycling
2.3.5. Multi-Field Coupling Cycle
2.4. Simulation Method
2.4.1. Heat Transfer Model
2.4.2. Humidity Transfer Model
2.4.3. Humid–Heat Coupling Model
2.4.4. Solid–Heat Coupling
3. Results and Discussion
3.1. Test Results and Discussion
3.1.1. Thermal Conductivity of Rigid Polyurethane Foam
3.1.2. Thermal Conductivity of Foam Concrete
3.1.3. Thermal Conductivity of Vacuum Insulation Panels
3.1.4. Thermal Conductivity of Composite Materials
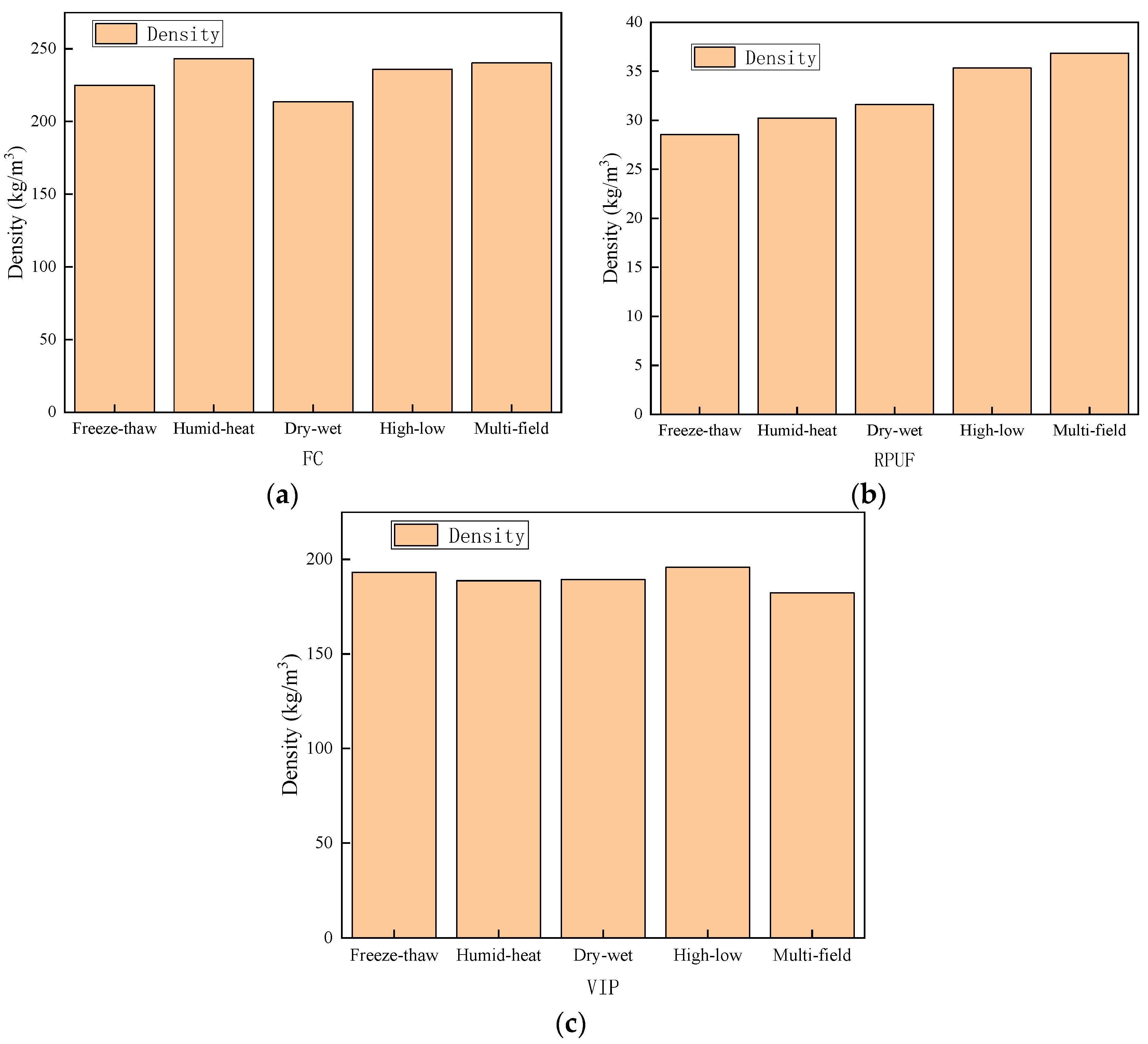
3.1.5. Density and Compressive Strength of the FC, RPUF, and VIP
3.2. Simulation Results and Discussions
4. Analysis of Factors Affecting Heat Transfer
4.1. Structural Design
4.2. Simulation of the Heat Bridge
5. Conclusions
- (1)
- In the weather resistance test, the thermal conductivity of the rigid polyurethane foam board and foam concrete slab increased gradually with time, while the vacuum insulation board had excellent weatherability under the condition that the surface barrier film was not pierced. The weatherability of the composite materials combined the advantages of various materials and had a better thermal insulation performance.
- (2)
- The load had little effect on the heat transfer process of the roof system. When the roof had a relative humidity and the waterproof layer was not destroyed, the relative humidity slowed down the heat transfer process. When the role of the waterproof layer was not considered, the relative humidity accelerated the heat transfer process, which had 1.11-fold increase over the waterproof roof.
- (3)
- In the process of heat conduction through the roof insulation material parts, due to the uneven temperature, the 304 steel plate produced greater structural self-stress. The stress representative value at the interface between 304 steel plate and rigid polyurethane foam was 220 kPa. The maximum structural displacement of the parts was 2.05 mm due to uneven heating. Due to structural deformation, the heat conduction process occurred. In the middle, the bottom temperature of the product increased by 5%.
- (4)
- Through the simulations, it was found that the spraying aerogel bonding method could effectively play the role of a heat-breaking bridge. The thermal insulation performance of the roof increased 2 times than the area of the roof.
Author Contributions
Funding
Conflicts of Interest
References
- Muthuraj, R.; Lacostea, C.; Lacroixb, P.; Bergereta, A. Sustainable thermal insulation biocomposites from rice husk, wheat husk, wood fibers and textile waste fibers: Elaboration and performances evaluation. Ind. Crop. Prod. 2019, 135, 238–245. [Google Scholar] [CrossRef]
- Muthuraj, R.; Grohens, Y.; Seantier, B. Mechanical and thermal insulation properties of elium acrylic resin/cellulose nanofiber based composite aerogels. Nano-Struct. Nano-Objects 2017, 12, 68–76. [Google Scholar] [CrossRef]
- Muthuraj, R.; Jimenez-Saelices, C.; Grohens, Y.; Seantier, B. Applications of polysaccharide and protein based aerogels in thermal insulation. Biobased Aerogels Polysacch. Protein-Based Mater. 2018, 261–294. [Google Scholar] [CrossRef]
- Chu, K.; Jia, C.C.; Liang, X.B.; Chen, H.; Guo, H. The thermal conductivity of pressure infiltrated SiCp/al composites with various size distributions: Experimental study and modeling. Mater. Des. 2009, 30, 3497–3503. [Google Scholar] [CrossRef]
- Chu, K.; Jia, C.C.; Guo, H.; Li, W.S. On the thermal conductivity of Cu–Zr/diamond composites. Mater. Des. 2013, 45, 36–42. [Google Scholar] [CrossRef]
- Ahmad, M.H.; Awang, H. Effect of steel and alkaline-resistance glass fibre on mechanical and durability properties of lightweight foamed concrete. Adv. Mater. Res. 2012, 626, 404–410. [Google Scholar] [CrossRef]
- Namsone, E.; Šahmenko, G.; Korjakins, A. Durability properties of high performance foamed concrete. Procedia Eng. 2017, 172, 760–767. [Google Scholar] [CrossRef]
- Xiao, L.G.; Liu, C.; Zhang, S.T.; Wang, W.B. Influences of admixtures on properties of foam concrete with iron tailings. Key Eng. Mater. 2014, 599, 61–65. [Google Scholar] [CrossRef]
- Lei, D.; Guo, L.; Sun, W. Preparation and performance of undisturbed FGD gypsum-based polystyrene lightweight thermal insulation material. J. Southeast Univ. 2017, 47, 384–391. [Google Scholar] [CrossRef]
- Yue, H.Z.; Wang, X.; Yang, Z.Z.; Wei, C.C. Dynamic hydrothermal synthesis of super-low density xonotlite thermal insulation materials from industrial quartz powder. Key Eng. Mater. 2017, 726, 569–575. [Google Scholar] [CrossRef]
- Kalapathy, U.; Proctor, A.; Shultz, J. Silicate thermal insulation material from rice hull ash. Ind. Eng. Chem. Res. 2003, 42, 46–49. [Google Scholar] [CrossRef]
- Kim, J.; Park, H. An immersed-boundary finite-volume method for simulation of heat transfer in complex geometries. KSME Int. J. 2004, 18, 1026–1035. [Google Scholar] [CrossRef]
- Liou, T.M.; Hwang, J.J.; Chen, S.H. Simulation and measurement of enhanced turbulent heat transfer in a channel with periodic ribs on one principal wall. Int. J. Heat Mass Transf. 1993, 36, 507–517. [Google Scholar] [CrossRef]
- Nandan, R.; Roy, G.G.; Debroy, T. Numerical simulation of three-dimensional heat transfer and plastic flow during friction stir welding. Metall. Mater. Trans. A 2006, 37, 1247–1259. [Google Scholar] [CrossRef]
- Li, P.; Cheng, H. Thermal analysis and performance study for multilayer perforated insulation material in orbit. Appl. Therm. Eng. 2006, 26, 2020–2026. [Google Scholar] [CrossRef]
- Sun, S.; Wu, Y.; Zhao, R. The numerical calculation of heat transfer performance for annular flow of liquid nitrogen in a vertical annular channel. Cryogenics 2001, 41, 231–237. [Google Scholar] [CrossRef]
- Mydin, A.O. Modeling of transient heat transfer in foamed concrete slab. J. Eng. Sci. Technol. 2013, 8, 326–343. [Google Scholar]
- Surasani, V.K.; Metzger, T.; Tsotsas, E. Consideration of heat transfer in pore network modelling of convective drying. Int. J. Heat Mass Transf. 2008, 51, 2506–2518. [Google Scholar] [CrossRef]
- Li, Q.; Ito, K.; Wu, Z.; Lowry, C.S.; Ii, S.P.L. Comsol multiphysics: A novel approach to ground water modeling. Groundwater 2009, 47. [Google Scholar] [CrossRef]
- Azad, V.J.; Li, C.; Verba, C.; Ideker, J.H.; Isgor, O.B. A COMSOL-GEMS interface for modeling coupled reactive-transport geochemical processes. Comput. Geosci. 2016, 92, 79–89. [Google Scholar] [CrossRef]
- Li, X.P.; Roberts, M.; Liu, Y.J.; Kang, C.W.; Huang, H.; Sercombe, T.B. Effect of substrate temperature on the interface bond between support and substrate during selective laser melting of Al-Ni-Y-Co-La metallic glass. Mater. Des. 2015, 65, 1–6. [Google Scholar] [CrossRef]
- Kou, X.Y.; Tan, S.T. A systematic approach for integrated computer-aided design and finite element analysis of functionally-graded-material objects. Mater. Des. 2007, 28, 2549–2565. [Google Scholar] [CrossRef]
- Schümann, M.; Seelig, N.; Odenbach, S. The effect of external magnetic fields on the pore structure of rigid polyurethane foam foams loaded with magnetic microparticles. Smart Mater. Struct. 2015, 24, 1335–1338. [Google Scholar] [CrossRef]
- Otsuki, Y.; Kanai, T. Numerical simulation of bubble growth in viscoelastic fluid with diffusion of dissolved foaming agent. Polym. Eng. Sci. 2010, 45, 1277–1287. [Google Scholar] [CrossRef]
- Wei, S.N.; Lee, C.S.; Cheng, H.C.; Cheng, S.F. Preparation and modification of water-blown porous biodegradable rigid polyurethane foam foams with palm oil-based polyester polyol. Ind. Crop. Prod. 2017, 97, 65–78. [Google Scholar] [CrossRef]
- Jones, M.R.; Mccarthy, A. Heat of hydration in foamed concrete: Effect of mix constituents and plastic density. Cem. Concr. Res. 2006, 36, 1032–1041. [Google Scholar] [CrossRef]
- Kučer, N.A. Device for measuring the heat conduction coefficient of a vacuum insulation plate by using a dual-chamber heat protection method and its experimental study. J. Eng. Therm. Energy Power 2011, 26, 751–755. [Google Scholar] [CrossRef]
- Montgomery, R.B. Viscosity and thermal conductivity of air and diffusivity of water vapor in air. J. Atmos. Sci. 1947, 4, 193–196. [Google Scholar] [CrossRef]
- Al-Homoud, M.S. Performance characteristics and practical applications of common building thermal insulation materials. Build. Environ. 2005, 40, 353–366. [Google Scholar] [CrossRef]
- Papadopoulos, A.M. State of the art in thermal insulation materials and aims for future developments. Energy Build. 2005, 37, 77–86. [Google Scholar] [CrossRef]

















| Materials | Heat Capacity (J/kg·K) | Density (kg/m3) | Blowing Agent |
|---|---|---|---|
| FC | 1050 | 247 | dicyandiamide |
| RPUF | 1380 | 39.15 | hydrocarbon |
| VIP | 1280 | 196.48 | / |
© 2019 by the authors. Licensee MDPI, Basel, Switzerland. This article is an open access article distributed under the terms and conditions of the Creative Commons Attribution (CC BY) license (http://creativecommons.org/licenses/by/4.0/).
Share and Cite
Zhou, S.; Ding, Y.; Wang, Z.; Dong, J.; She, A.; Wei, Y.; Li, R. Weathering of Roofing Insulation Materials under Multi-Field Coupling Conditions. Materials 2019, 12, 3348. https://doi.org/10.3390/ma12203348
Zhou S, Ding Y, Wang Z, Dong J, She A, Wei Y, Li R. Weathering of Roofing Insulation Materials under Multi-Field Coupling Conditions. Materials. 2019; 12(20):3348. https://doi.org/10.3390/ma12203348
Chicago/Turabian StyleZhou, Shuangxi, Yang Ding, Zhongping Wang, Jingliang Dong, Anming She, Yongqi Wei, and Ruguang Li. 2019. "Weathering of Roofing Insulation Materials under Multi-Field Coupling Conditions" Materials 12, no. 20: 3348. https://doi.org/10.3390/ma12203348
APA StyleZhou, S., Ding, Y., Wang, Z., Dong, J., She, A., Wei, Y., & Li, R. (2019). Weathering of Roofing Insulation Materials under Multi-Field Coupling Conditions. Materials, 12(20), 3348. https://doi.org/10.3390/ma12203348

