Effect of (Tb+Y)/Al ratio on Microstructure Evolution and Densification Process of (Tb0.6Y0.4)3Al5O12 Transparent Ceramics
Abstract
:1. Introduction
2. Materials and Methods
2.1. Experimental Procedure
2.2. Characterization
3. Results and Discussion
3.1. Phase Formation Process
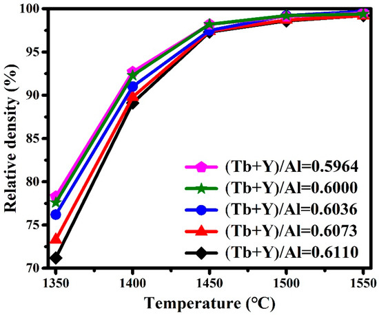
3.2. Densification and Microstructure
3.3. Optical Quality
4. Conclusions
Author Contributions
Funding
Acknowledgments
Conflicts of Interest
References
- Víllora, E.G.; Molina, P.; Nakamura, M.; Shimamura, K.; Hatanaka, T.; Funaki, A.; Naoe, K. Faraday rotator properties of Tb3[Sc1.95Lu0.05](Al3)O12, a highly transparent terbium-garnet for visible-infrared optical isolators. Appl. Phys. Lett. 2011, 99, 011111. [Google Scholar] [CrossRef]
- Vasyliev, V.; Molina, P.; Nakamura, M.; Víllora, E.G.; Shimamura, K. Magneto-optical properties of Tb0.81Ca0.19F2.81 and Tb0.76Sr0.24F2.76 single crystals. Opt. Mater. 2011, 33, 1710–1714. [Google Scholar] [CrossRef]
- Mansell, J.D.; Hennawi, J.; Gustafson, E.K.; Fejer, M.M.; Byer, R.L.; Clubley, D.; Yoshida, S.; Reitze, D.H. Evaluating the effect of transmissive optic thermal lensing on laser beam quality with a shack-hartmann wave-front sensor. Appl. Opt. 2001, 40, 366–374. [Google Scholar] [CrossRef] [PubMed]
- Barati, M.; Vahdani, M.R.K.; Rezaei, G. Lower-lying states of hydrogenic impurity in lens-shaped and semi-lens-shaped quantum dots. J. Phys. Condens. Matter 2007, 19, 136208. [Google Scholar] [CrossRef]
- Ikesue, A.; Yoshida, K.; Yamamoto, T.; Yamaga, I. Optical Scattering Centers in Polycrystalline Nd: YAG Laser. J. Am. Ceram. Soc. 1997, 80, 6. [Google Scholar]
- Ivanov, I.; Bulkanov, A.; Khazanov, E.; Mukhin, I.B.; Palashov, O.V.; Tsvetkov, V.; Popov, P. Terbium gallium garnet for high average power Faraday isolators: Modern aspects of growing and characterization. In Proceedings of the European Conference on Lasers & Electro-Optics & the European Quantum Electronics Conference Cleo Europe-EQEC, Munich, Germany, 14–19 June 2009. [Google Scholar]
- Ganschow, S.; Klimm, D.; Reiche, P.; Uecker, R. On the Crystallization of Terbium Aluminum Garnet. Cryst. Res. Technol. 2010, 34, 615–619. [Google Scholar] [CrossRef]
- Ganschow, S.; Klimm, D.; Epelbaum, B.M.; Yoshikawa, A.; Doerschel, J.; Fukuda, T. Growth conditions and composition of terbium aluminum garnet single crystals grown by the micro pulling down technique. J. Cryst. Growth 2001, 225, 454–457. [Google Scholar] [CrossRef]
- Geho, M.; Sekijima, T.; Fujii, T. Growth mechanism of incongruently melting terbium aluminum garnet (Tb3Al5O12; TAG) single crystals by laser FZ method. J. Cryst. Growth 2005, 275, e663–e667. [Google Scholar] [CrossRef]
- Geho, M.; Sekijima, T.; Fujii, T. Growth of terbium aluminum garnet (Tb3Al5O12; TAG) single crystals by the hybrid laser floating zone machine. J. Cryst. Growth 2004, 267, 188–193. [Google Scholar] [CrossRef]
- Shimamura, K.; Kito, T.; Castel, E.; Latynina, A.; Molina, P.; Víllora, E.G.; Mythili, P.; Veber, P.; Chaminade, J.-P.; Funaki, A.; et al. Growth of Tb3[Sc2−xLux](Al3)O12 Single Crystals for Visible-Infrared Optical Isolators. Cryst. Growth Des. 2010, 10, 3466–3470. [Google Scholar] [CrossRef]
- Chani, V.I.; Yoshikawa, A.; Machida, H.; Fukuda, T. Melt growth of (Tb, Lu)3Al5O12 mixed garnet fiber crystals. J. Cryst. Growth 2000, 212, 469–475. [Google Scholar] [CrossRef]
- Lin, H.; Zhou, S.; Teng, H. Synthesis of Tb3Al5O12 (TAG) transparent ceramics for potential magneto-optical applications. Opt. Mater. 2011, 33, 1833–1836. [Google Scholar] [CrossRef]
- Chen, C.; Zhou, S.; Lin, H.; Yi, Q. Fabrication and performance optimization of the magneto-optical (Tb1−xRx)3Al5O12 (R = Y, Ce) transparent ceramics. Appl. Phys. Lett. 2012, 101, 131908. [Google Scholar] [CrossRef]
- Duan, P.; Liu, P.; Xu, X.; Wang, W.; Wan, Z.; Zhang, S.; Wang, Y.; Zhang, J. Fabrication and properties of (TbxY1−x)3Al5O12, transparent ceramics by hot isostatic pressing. Opt. Mater. 2017, 72, 58–62. [Google Scholar] [CrossRef]
- Aung, Y.L.; Ikesue, A. Development of optical grade (TbxY1−x)3Al5O12 ceramics as Faraday rotator material. J. Am. Ceram. Soc. 2017, 100, 4081–4087. [Google Scholar] [CrossRef]
- Hu, Z.; Chen, X.; Dai, J.; Chen, H.; Shi, Y.; Kou, H.; Xie, T.; Yang, Z.; Wu, L.; Pan, Y.; et al. The influences of stoichiometry on the sintering behavior, optical and scintillation properties of Pr: LuAG ceramics. J. Eur. Ceram. Soc. 2018, 38, 4252–4259. [Google Scholar] [CrossRef]
- Stanek, C.R.; Mc Clellan, K.J.; Patel, A.P.; Levy, M.R.; Grimes, R.W.; Gaume, R.M.; Feigelson, R.S. Mechanisms of nonstoichiometry in Y3Al5O12. Appl. Phys. Lett. 2008, 93, R19. [Google Scholar]
- Liu, J.; Cheng, X.; Li, J.; Xie, T.; Ivanov, M.; Ba, X.; Chen, H.; Liu, Q.; Pan, Y.; Guo, J. Influence of non-stoichiometry on solid-state reactive sintering of YAG transparent ceramics. J. Eur. Ceram. Soc. 2015, 35, 3127–3136. [Google Scholar] [CrossRef]
- Ikesue, A.; Aung, Y.L.; Makikawa, S.; Yahagi, A. Polycrystalline (TbxY1–x)2O3 Faraday rotator. Opt. Lett. 2017, 42, 4399–4401. [Google Scholar] [CrossRef]
- Burnham, D.A.; Eyring, L.R.; Kordis, J. High-temperature x-ray diffraction studies of the terbium oxide-oxygen and mixed cerium terbium oxide-oxygen systems. J. Phys. Chem. 1968, 72, 4424–4431. [Google Scholar] [CrossRef]
- Maıˆtre, A.; Sallé, C.; Boulesteix, R.; Baumard, J.F.; Rabinovitch, Y. Effect of Silica on the Reactive Sintering of Polycrystalline Nd: YAG Ceramics. J. Am. Ceram. Soc. 2008, 91, 406–413. [Google Scholar] [CrossRef]
- Lee, S.-H.; Kupp, E.R.; Stevenson, A.J.; Anderson, J.M.; Messing, G.L.; Li, X.; Dickey, E.C.; Dumm, J.Q.; Simonaitis-Castillo, V.K.; Quarles, G.J. Hot Isostatic Pressing of Transparent Nd: YAG Ceramics. J. Am. Ceram. Soc. 2009, 92, 8. [Google Scholar] [CrossRef]
- Boulesteix, R.; Maitre, A.; Baumard, J.; Sallé, C.; Rabinovitch, Y. Mechanism of the liquid phase sintering for Nd: YAG ceramics. Opt. Mater. 2009, 31, 711–715. [Google Scholar] [CrossRef]
- Kuklja, M.M. Defects in yttrium aluminum perovskite and garnet crystals: Atomistic study. J. Phys. Condens. Matter 2000, 12, 2953. [Google Scholar] [CrossRef]
- Liu, W.; Jiang, B.; Zhang, W.; Li, J.; Zhou, J.; Zhang, D.; Pan, Y.; Guo, J. Influence of heating rate on optical properties of Nd: YAG laser ceramic. Ceram. Int. 2010, 36, 2197–2201. [Google Scholar] [CrossRef]






© 2019 by the authors. Licensee MDPI, Basel, Switzerland. This article is an open access article distributed under the terms and conditions of the Creative Commons Attribution (CC BY) license (http://creativecommons.org/licenses/by/4.0/).
Share and Cite
Wan, Z.; Wang, Y.; Zhang, J.; Wang, S.; Han, D.; Wang, J.; Wang, D. Effect of (Tb+Y)/Al ratio on Microstructure Evolution and Densification Process of (Tb0.6Y0.4)3Al5O12 Transparent Ceramics. Materials 2019, 12, 300. https://doi.org/10.3390/ma12020300
Wan Z, Wang Y, Zhang J, Wang S, Han D, Wang J, Wang D. Effect of (Tb+Y)/Al ratio on Microstructure Evolution and Densification Process of (Tb0.6Y0.4)3Al5O12 Transparent Ceramics. Materials. 2019; 12(2):300. https://doi.org/10.3390/ma12020300
Chicago/Turabian StyleWan, Zhong, Yinzhen Wang, Jian Zhang, Shiwei Wang, Dan Han, Junping Wang, and Dewen Wang. 2019. "Effect of (Tb+Y)/Al ratio on Microstructure Evolution and Densification Process of (Tb0.6Y0.4)3Al5O12 Transparent Ceramics" Materials 12, no. 2: 300. https://doi.org/10.3390/ma12020300
APA StyleWan, Z., Wang, Y., Zhang, J., Wang, S., Han, D., Wang, J., & Wang, D. (2019). Effect of (Tb+Y)/Al ratio on Microstructure Evolution and Densification Process of (Tb0.6Y0.4)3Al5O12 Transparent Ceramics. Materials, 12(2), 300. https://doi.org/10.3390/ma12020300
