Structural and Thermoelectric Properties of Cu Substituted Type I Clathrates Ba8CuxSi~32−xGa~14
Abstract
1. Introduction
2. Materials and Methods
3. Results and Discussion
3.1. Chemical Properties
3.2. Structural Analysis of Single Crystals
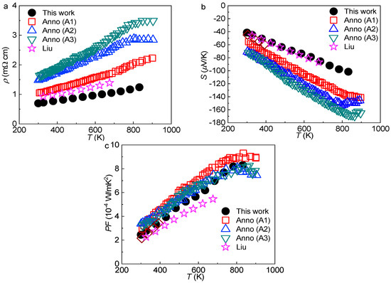
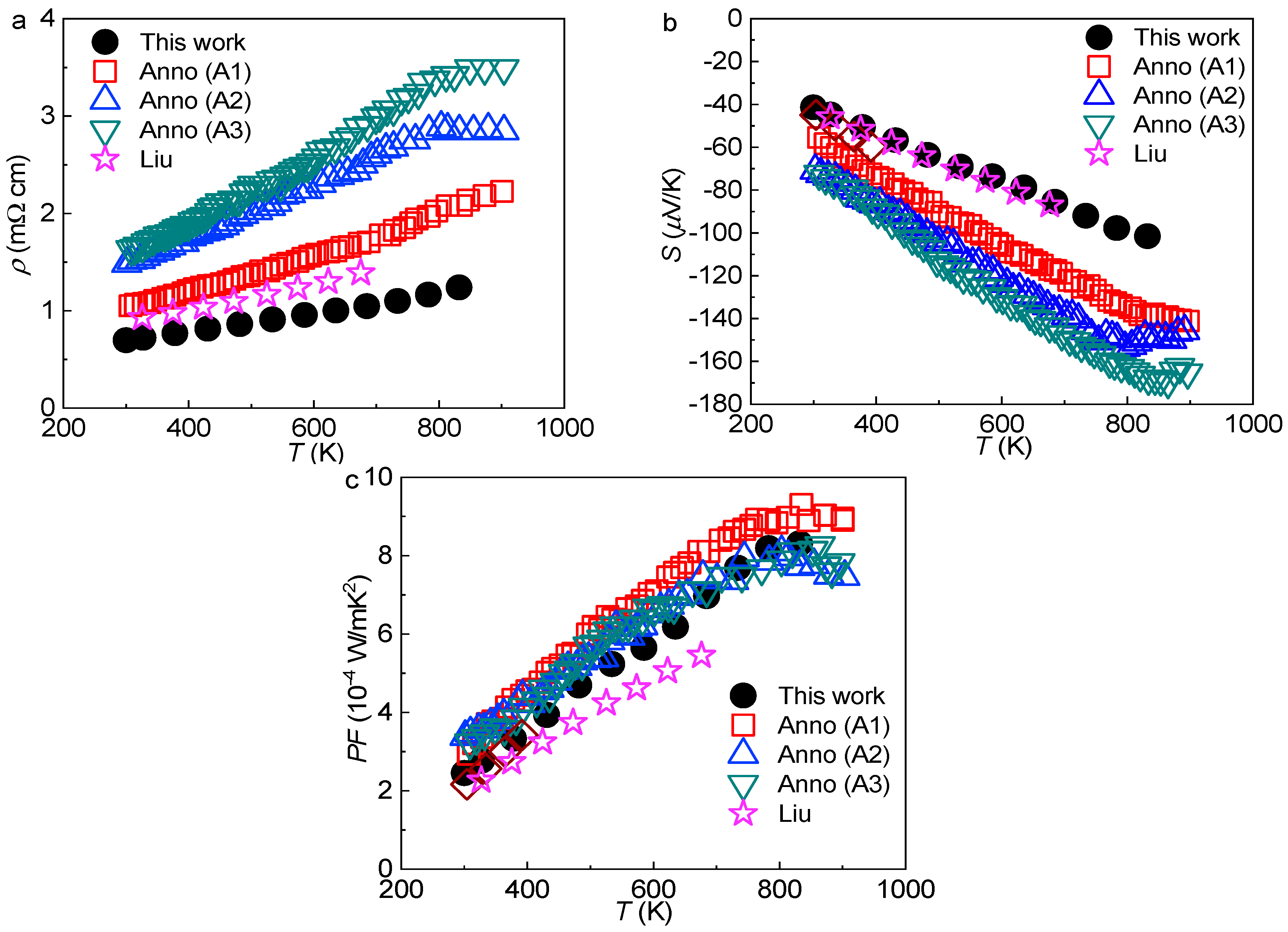
3.3. Thermoelectric Properties
4. Conclusions
Author Contributions
Funding
Conflicts of Interest
References
- Wood, C. Materials for thermoelectric energy conversion. Rep. Prog. Phys. 1988, 51, 459–539. [Google Scholar] [CrossRef]
- Nolas, G.S.; Cohn, J.L.; Slack, G.A.; Schujman, S.B. Semiconducting Ge clathrates: Promising candidates for thermoelectric applications. Appl. Phys. Lett. 1998, 73, 178–180. [Google Scholar] [CrossRef]
- Goldsmid, H.J. Conversion Efficiency and Figure-of-Merit. In CRC Handbook of Thermoelectrics; Rowe, D.M., Ed.; CRC Press: Boca Raton, FL, USA, 1995; p. 3. [Google Scholar]
- Slack, G.A. New Materials and Performance Limits for Thermoelectric Cooling. In CRC Handbook of Thermoelectrics; Rowe, D.M., Ed.; CRC Press: Boca Raton, FL, USA, 1995; p. 34. [Google Scholar]
- Dolyniuk, J.; Owens-Baird, B.; Wang, J.; Zaikina, J.V.; Kovnir, K. Clathrate thermoelectrics. Mater. Sci. Eng. R Rep. 2016, 108, 1–46. [Google Scholar] [CrossRef]
- Dong, J.; Sankey, O.F.; Ramachandran, G.K.; McMillan, P.F. Chemical trends of the rattling phonon modes in alloyed germanium clathrates. J. Appl. Phys. 2000, 87, 7726–7734. [Google Scholar] [CrossRef]
- Dong, J.; Sankey, O.F.; Myles, C.W. Theoretical study of the lattice thermal conductivity in Ge framework semiconductors. Phys. Rev. Lett. 2001, 86, 2361–2364. [Google Scholar] [CrossRef] [PubMed]
- Shevelkov, A.V.; Kovnir, K. Zintl clathrates. In Zintl Phases: Principles and Recent Developments; Fässler, T.F., Ed.; Springer: Berlin/Heidelberg, Germany, 2011; pp. 97–142. [Google Scholar]
- Shevelkov, A.V. Thermoelectric Power Generation by Clathrates. In Thermoelectrics for Power Generation—A Look at Trends in the Technology; Nikitin, M., Skipidarov, S., Eds.; IntechOpen: London, UK, 2016; pp. 239–262. [Google Scholar]
- Rogl, P. Formation and Crystal Chemistry of Clathrates. In Thermoelectrics Handbook: Macro to Nano; Rowe, D.M., Ed.; CRC Press: Boca Raton, FL, USA, 2006; p. 32. [Google Scholar]
- Yan, X.; Ikeda, M.; Zhang, L.; Bauer, E.; Rogl, P.; Giester, G.; Prokofiev, A.; Paschen, S. Suppression of vacancies boosts thermoelectric performance in type-I clathrates. J. Mater. Chem. A 2018, 6, 1727–1735. [Google Scholar] [CrossRef]
- Cordier, G.; Woll, P. Neue ternäre intermetallische Verbindungen mit Clathratstruktur: Ba8(T,Si)6Si40 und Ba6(T,Ge)6Ge40 mit T≡Ni,Pd,Pt,Cu,Ag,Au. J. Less-Common. Met. 1991, 169, 291–302. [Google Scholar] [CrossRef]
- Li, Y.; Chi, J.; Gou, W.; Khandekar, S.; Ross, J.H., Jr. Structure and stability of Ba–Cu–Ge type-I clathrates. J. Phys. Condens. Mater. 2003, 15, 5535–5542. [Google Scholar] [CrossRef]
- Anno, H.; Hokazono, M.; Kawamura, M.; Matsubara, K. Effect of transition element substitution on thermoelectric properties of semiconductor clathrate compounds. In Proceedings of the 22nd International Conference on Thermoelectrics, La Grande Motte, France, 17–21 August 2003; pp. 121–126. [Google Scholar]
- Anno, H.; Hokazono, M.; Takakura, H.; Matsubara, K. Thermoelectric Properties of Ba8AuxGe46−x Clathrate Compounds. In Proceedings of the 2005 International Conference on Thermoelectrics, Clemson, SC, USA, 19–23 June 2005; pp. 102–105. [Google Scholar]
- Hokazono, M.; Anno, H.; Matsubara, K. Effect of Cu Substitution on Thermoelectric Properties of Ge Clathrates. Mater. Trans. 2005, 46, 1485–1489. [Google Scholar] [CrossRef]
- Johnsen, S.; Bentien, A.; Madsen, G.K.H.; Iversen, B.B.; Nygren, M. Crystal Structure, Band Structure, and Physical Properties of Ba8Cu6−xGe40+x (0 ≤ x ≤ 0.7). Chem. Mater. 2006, 18, 4633–4642. [Google Scholar] [CrossRef]
- Johnsen, S.; Bentien, A.; Madsen, G.K.H.; Nygren, M.; Iversen, B.B. Copper containing germanium clathrates. In Proceedings of the 2005 International Conference on Thermoelecrics, Clemson, SC, USA, 19–23 June 2005; pp. 226–229. [Google Scholar]
- Johnsen, S.; Bentien, A.; Madsen, G.K.H.; Nygren, M.; Bo, B.I. Crystal structure and transport properties of nickel containing germanium clathrates. Phys. Rev. B 2007, 76, 4692. [Google Scholar] [CrossRef]
- Melnychenko-Koblyuk, N.; Grytsiv, A.; Rogl, P.; Rotter, M.; Bauer, E.; Durand, G.; Kaldarar, H.; Lackner, R.; Michor, H.; Royanian, E. Clathrate formation in the Ba-Pd-Ge system: Phase equilibria, crystal structure, and physical properties. Phys. Rev. B 2007, 76. [Google Scholar] [CrossRef]
- Melnychenko-Koblyuk, N.; Grytsiv, A.; Rogl, P.; Rotter, M.; Lackner, R.; Bauer, E.; Fornasari, L.; Marabelli, F.; Giester, G. Structure and physical properties of type-I clathrate solid-solution Ba8PtxGe46−x−y□y (□ = vacancy). Phys. Rev. B 2007, 76, 195124. [Google Scholar] [CrossRef]
- Melnychenko-Koblyuk, N.; Grytsiv, A.; Berger, S.; Kaldarar, H.; Michor, H.; Röhrbacher, F.; Royanian, E.; Bauer, E.; Rogl, P.; Schmid, H.; et al. Ternary clathrates Ba–Cd–Ge: Phase equilibria, crystal chemistry and physical properties. J. Phys. Condens. Mater. 2007, 19, 46203. [Google Scholar] [CrossRef]
- Melnychenko-Koblyuk, N.; Grytsiv, A.; Fornasari, L.; Kaldarar, H.; Michor, H.; Röhrbacher, F.; Koza, M.; Royanian, E.; Bauer, E.; Rogl, P.; et al. Ternary clathrates Ba–Zn–Ge: Phase equilibria, crystal chemistry and physical properties. J. Phys. Condens. Mater. 2007, 19, 216223. [Google Scholar] [CrossRef]
- Yan, X.; Giester, G.; Bauer, E.; Rogl, P.; Paschen, S. Ba-Cu-Si Clathrates: Phase Equilibria and Crystal Chemistry. J. Electron. Mater. 2010, 39, 1634–1639. [Google Scholar] [CrossRef]
- Nasir, N.; Grytsiv, A.; Melnychenko-Koblyuk, N.; Rogl, P.; Bednar, I.; Bauer, E. Crystal structure and physical properties of quaternary clathrates Ba8ZnxGe46−x−ySiy, Ba8(Zn,Cu)xGe46−x and Ba8(Zn,Pd)xGe46−x. J. Solid State Chem. 2010, 183, 2329–2342. [Google Scholar] [CrossRef]
- Xu, J.; Wu, J.; Shao, H.; Heguri, S.; Tanabe, Y.; Liu, Y.; Liu, G.; Jiang, J.; Jiang, H.; Tanigaki, K. Structure and thermoelectric properties of the n-type clathrate Ba8Cu5.1Ge40.2Sn0.7. J. Mater. Chem. A 2015, 3, 19100–19106. [Google Scholar] [CrossRef]
- Liang, Y.; Böhme, B.; Reibold, M.; Schnelle, W.; Schwarz, U.; Baitinger, M.; Lichte, H.; Grin, Y. Synthesis of the Clathrate-I Phase Ba8−xSi46 via Redox Reactions. Inorg. Chem. 2011, 50, 4523–4528. [Google Scholar] [CrossRef]
- Liang, Y.; Böhme, B.; Vasylechko, L.; Baitinger, M.; Grin, Y. In-situ investigation of the thermal decomposition of clathrate-I Ba6.2Si46. J. Phys. Chem. Solids 2013, 74, 225–228. [Google Scholar] [CrossRef]
- Castillo, R.; Schnelle, W.; Bobnar, M.; Burkhardt, U.; Böhme, B.; Baitinger, M.; Schwarz, U.; Grin, Y. The Clathrate Ba8−xSi46 Revisited: Preparation Routes, Electrical and Thermal Transport Properties. Z. Anorg. Allg. Chem. 2015, 641, 206–213. [Google Scholar] [CrossRef]
- Saramat, A.; Svensson, G.; Palmqvist, A.E.C.; Stiewe, C.; Mueller, E.; Platzek, D.; Williams, S.G.K.; Rowe, D.M.; Bryan, J.D.; Stucky, G.D. Large thermoelectric figure of merit at high temperature in Czochralski-grown clathrate Ba8Ga16Ge30. J. Appl. Phys. 2006, 99, 23708. [Google Scholar] [CrossRef]
- Eisenmann, B.; Schäfer, H.; Zagler, R. Die verbindungen AII8BIII16BIV30 (AII ≡ Sr, Ba; BIII ≡ Al, Ga; BIV ≡ Si, Ge, Sn) und ihre käfigstrukturen. J. Less-Common. Met. 1986, 118, 43–55. [Google Scholar] [CrossRef]
- Cohn, J.L.; Nolas, G.S.; Fessatidis, V.; Metcalf, T.H.; Slack, G.A. Glasslike Heat Conduction in High-Mobility Crystalline Semiconductors. Phys. Rev. Lett. 1999, 82, 779–782. [Google Scholar] [CrossRef]
- Kuznetsov, V.L.; Kuznetsova, L.A.; Kaliazin, A.E.; Rowe, D.M. Preparation and thermoelectric properties of AII8BIII16BIV30 clathrate compounds. J. Appl. Phys. 2000, 87, 7871–7875. [Google Scholar] [CrossRef]
- Blake, N.P.; Latturner, S.; Bryan, J.D.; Stucky, G.D.; Metiu, H. Band structures and thermoelectric properties of the clathrates Ba8Ga16Ge30, Sr8Ga16Ge30, Ba8Ga16Si30, and Ba8In16Sn30. J. Chem. Phys. 2001, 115, 8060–8073. [Google Scholar] [CrossRef]
- Blake, N.P.; Bryan, D.; Latturner, S.; Møllnitz, L.; Stucky, G.D.; Metiu, H. Structure and stability of the clathrates Ba8Ga16Ge30, Sr8Ga16Ge30, Ba8Ga16Si30, and Ba8In16Sn30. J. Chem. Phys. 2001, 114, 10063–10074. [Google Scholar] [CrossRef]
- Mudryk, Y.; Rogl, P.; Paul, C.; Berger, S.; Bauer, E.; Hilscher, G.; Godart, C.; Noël, H. Thermoelectricity of clathrate I Si and Ge phases. J. Phys. Conders. Mater. 2002, 14, 7991–8004. [Google Scholar] [CrossRef]
- Nataraj, D.; Nagao, J.; Ferhat, M.; Ebinuma, T. High temperature thermoelectric properties of Arc-melted Ba8M16Si30 (M = Al, Ga) clathrates. In Proceedings of the 21st International Conference on Thermoelectronics, Long Beach, CA, USA, 25–29 August 2002. [Google Scholar]
- Nataraj, D.; Nagao, J.; Ferhat, M.; Ebinuma, T. Structure, high temperature transport, and thermal properties of Ba8GaxSi46−x (x = 10 and 16) clathrates prepared by the arc melting method. J. Appl. Phys. 2003, 93, 2424–2428. [Google Scholar] [CrossRef]
- Nataraj, D.; Nagao, J. Structure and Raman scattering study on Ba8GaxSi46−x (x = 10 and 16) type I clathrates. J. Solid State Chem. 2004, 177, 1905–1911. [Google Scholar] [CrossRef]
- Qiu, L.; Swainson, I.P.; Nolas, G.S.; White, M.A. Structure, thermal, and transport properties of the clathrates Sr8Zn8Ge38, Sr8Ga16Ge30, and Ba8Ga16Si30. Phys. Rev. B 2004, 70, 35208. [Google Scholar] [CrossRef]
- Bentien, A.; Iversen, B.B.; Bryan, J.D.; Stucky, G.D.; Palmqvist, A.E.C.; Schultz, A.J.; Henning, R.W. Maximum entropy method analysis of thermal motion and disorder in thermoelectric clathrate Ba8Ga16Si30. J. Appl. Phys. 2002, 91, 5694–5699. [Google Scholar] [CrossRef]
- Bentien, A.; Nishibori, E.; Paschen, S.; Iversen, B.B. Crystal structures, atomic vibration, and disorder of the type-I thermoelectric clathrates Ba8Ga16Si30, Ba8Ga16Ge30, Ba8In16Ge30, and Sr8Ga16Ge30. Phys. Rev. B 2005, 71, 144107. [Google Scholar] [CrossRef]
- Deng, S.; Tang, X.; Tang, R. Synthesis and high temperature thermoelectric transport properties of Si-based type-I clathrates. Chin. Phys. B 2009, 18, 3084–3089. [Google Scholar]
- Anno, H.; Yamada, H.; Nakabayashi, T.; Hokazono, M.; Shirataki, R. Composition dependence of thermoelectric properties in polycrystalline type-I Ba8GaxSi46−x (nominal x = 14–18). AIP Conf. Proc. 2012, 1449, 259–262. [Google Scholar]
- Anno, H.; Yamada, H.; Nakabayashi, T.; Hokazono, M.; Shirataki, R. Influence of preparation conditions on thermoelectric properties of Ba8Ga16Si30 clathrate by combining arc melting and spark plasma sintering methods. J. Phys. Conf. Ser. 2012, 12007. [Google Scholar] [CrossRef]
- Anno, H.; Yamada, H.; Nakabayashi, T.; Hokazono, M.; Shirataki, R. Gallium composition dependence of crystallographic and thermoelectric properties in polycrystalline type-I Ba8GaxSi46−x (nominal x = 14–18) clathrates prepared by combining arc melting and spark plasma sintering methods. J. Solid State Chem. 2012, 379, 94–104. [Google Scholar] [CrossRef]
- Li, F.; Liu, L.; Qiu, H.; Cao, G.; Li, Y. Effect of Spark Plasma Sintering on the Crystal Structure and Thermoelectric Properties of Ba8Si30Ga16. Mater. Rev. B 2013, 12, 12–17. [Google Scholar]
- Deng, S.; Tang, X.; Xiong, C.; Zhang, Q. Synthesis and Electrical Transmission Characteristics of Type-I Ba8Ga16ZnxSi30−x Clathrates. Chin. J. Semicond. 2007, 4, 553–557. [Google Scholar]
- Bi, S.; Liu, L.; Li, F.; Wang, Z.; Pan, H.; Li, Y. Thermoelectric property of Ba8Ga14Cu2Si30. New Chem. Mater. 2015, 43, 123–125. [Google Scholar]
- Liu, L.; Song, B.; Li, F.; Wang, Z.; Pan, H.; Li, Y. Thermoelectric Properties of Ba8Ga15XSi30 (X = Ga, Zn, Cu). J. Inorg. Mater. 2015, 30, 261–266. [Google Scholar]
- Nonius Kappa CCD Program. Package: COLLECT, DEZO, SCALEPACK, SORTAV; Nonius: Delft, The Netherlands, 1998. [Google Scholar]
- Sheldrick, G.M. Program for Crystal Structure Refinement; University of Gottingen: Gottingen, Germany, 1997. [Google Scholar]
- Christensen, M.; Iversen, B.B. Host Structure Engineering in Thermoelectric Clathrates. Chem. Mater. 2007, 19, 4896–4905. [Google Scholar] [CrossRef]
- Saito, S.; Oshiyama, A. Electronic structure of Si46 and Na2Ba6Si46. Phys. Rev. B 1995, 51, 2628–2631. [Google Scholar] [CrossRef]
- Bentien, A.; Palmqvist, A.E.C.; Bryan, J.D.; Latturner, S.; Stucky, G.D.; Furenlid, L.; Iversen, B.B. Experimental Charge Densities of Semiconducting Cage Structures Containing Alkaline Earth Guest Atoms. Angew. Chem. Int. Ed. 2000, 39, 3613–3616. [Google Scholar] [CrossRef]
- Moriguchi, K.; Yonemura, M.; Shintani, A.; Yamanaka, S. Electronic structures of Na8Si46 and Ba8Si46. Phys. Rev. B 2000, 61, 9859–9862. [Google Scholar] [CrossRef]
- Kitano, A.; Moriguchi, K.; Shintani, A.; Fukuoka, H.; Yamanaka, S.; Nishibori, E.; Takata, M.; Sakata, M. Structural Properties and Thermodynamic Stability of Ba-Doped Silicon Type-I Clathrates Synthesized Under High Pressure. Phys. Rev. B 2001, 64, 314–319. [Google Scholar] [CrossRef]
- Nenghabi, E.N.; Myles, C.W. First-principles calculations of the vibrational and thermal properties of the type-I clathrates Ba8Ga16SixGe30−x and Sr8Ga16SixGe30−x. Phys. Rev. B 2008, 78, 195202. [Google Scholar] [CrossRef]








| Parameters/Notes | L | S |
|---|---|---|
| Formula from refinement | Ba8Si32.1Ga14.2(2) | Ba8Si32.1Ga14.2(2) |
| Composition (EDX, at/u.c.) | Ba8Cu0.2Si32Ga13.8 | Ba8Cu0.3Si32Ga13.7 |
| a (nm) | 1.05332(20) | 1.05317(20) |
| μabs (mm−1) | 16.32 | 15.25 |
| Reflections in refinement | 513(Fo) ≥ 4σ (Fo) | 497 (Fo) ≥ 4σ(Fo) |
| Number of variables | 22 | 22 |
| RF2 = ∑|Fo2 − Fc2|/∑Fo2 | 0.0097 | 0.0132 |
| Rint | 0.0351 | 0.0473 |
| wR2 | 0.0244 | 0.0270 |
| GOF | 1.618 | 1.338 |
| Extinction coefficient | 0.0078(2) | 0.0056(2) |
| Re (highest peak; deepest hole) (e−/Å3) | 0.61; −0.82 | 0.81; −0.94 |
| Ba at 2a (0,0,0) Ueq 102 (nm2) | 0.00948(6) | 0.00975(7) |
| Uii, i = 1; 2; 3 | 0.00948(6) | 0.00975(7) |
| Ba at 6d (1/4, 1/2, 0) Ueq | 0.02670(6) | 0.02690(7) |
| U11; Uii, i = 2; 3 | 0.01385(8); 0.03312(8) | 0.01407(10); 0.03331(9) |
| M1 at 6c (1/4, 0, 1/2), Occ. | 3.7(0)Ga+2.3(1)Si | 3.7(0)Ga+2.3(1)Si |
| Ueq | 0.00861(10) | 0.00863(12) |
| U11; Uii, i = 2; 3 | 0.00946(15); 0.00819(11) | 0.00935(19); 0.00827(14) |
| M2 at 16i (x, x, x), Occ. | 1.2(1)Ga+14.8(2)Si | 1.3(1)Ga+14.7(2)Si |
| Ueq | 0.00836(10) | 0.00839(12) |
| x | 0.18540(2) | 0.18540(2) |
| Uii, i = 1;2;3; U23 = U13 = U12 | 0.00836(10); −0.00097(7) | 0.00839(12); −0.00087(8) |
| M3 at 24k (0, y, z), Occ. | 9.3(1)Ga+15.0(3)Si | 9.2(1)Ga+15.1(4)Si |
| Ueq | 0.00822(6) | 0.00840(7) |
| y, z | 0.30621(2); 0.11932(2) | 0.30626(2); 0.11925(2) |
| U11; U22 | 0.00843(10); 0.00758(10) | 0.00862(12); 0.00777(12) |
| U33; U23 | 0.00865(10); −0.00033(6) | 0.00882(12); −0.00033(8) |
| Notes and References | L | S | Anno (A1) | Anno (A2) | P1 | P2 | |
|---|---|---|---|---|---|---|---|
| Formula from refinement | Ba8Si32.1(6)Ga14.2(2) | Ba8Si32.1(7)Ga14.2(2) | Ba8Si31.1Ga14.9 | Ba8Si30.9Ga15.1 | |||
| Composition (at/u.c.) | Ba8Cu0.2Si32Ga13.8 | Ba8Cu0.3Si32Ga13.7 | Ba7.71Si32.24Ga14.04 | Ba8Si31.84Ga14.51 | |||
| Ba(2a) | −8M2(16i) | 3.3824(2) | 3.3819(1) | 3.3813(1) | 3.3883(1) | 0.033 | 0.018 |
| −12M3(24k) | 3.4616(1) | 3.4613(1) | 3.4489(3) | 3.4594(3) | 0.369 | 0.360 | |
| Ba(6d) | −4M1(6c) | 3.7240(2) | 3.7235(4) | 3.7236(3) | 3.7280(2) | 0.011 | −0.002 |
| −8M3(24k) | 3.5610(2) | 3.5599(3) | 3.5665(2) | 3.5680(2) | −0.155 | −0.186 | |
| −8M2(16i) | 3.9062(3) | 3.9057(2) | 3.9058(2) | 3.9096(3) | 0.009 | −0.003 | |
| −4M3(24k) | 4.0533(4) | 4.0535(3) | 4.0537(4) | 4.0575(4) | −0.010 | −0.005 | |
| M1(6c) | −4M3(24k) | 2.4619(2) | 2.4617(2) | 2.4732(2) | 2.4700(1) | −0.459 | −0.467 |
| M2(16i) | −1M2(16i) | 2.3572(1) | 2.3570(1) | 2.3583(1) | 2.3553(1) | −0.047 | −0.055 |
| M3(24k) | −2M2(16i) | 2.4326(0) | 2.4326(1) | 2.4265(1) | 2.4330(1) | 0.251 | 0.251 |
| −1M3(24k) | 2.5136(2) | 2.5118(2) | 2.5079(1) | 2.5149(2) | 0.229 | 0.157 | |
| Sample Code | yGa | zCu | a | n1 | n2 |
|---|---|---|---|---|---|
| at./f.u. | at./f.u. | nm | 1/f.u. | 1/f.u. | |
| L | 13.8 | 0.2 | 1.05332(20) | 1.6 | 1.10 |
| A1 | 14.04 | - | 1.053189 | 1.96 | 0.69 |
| A2 | 14.51 | - | 1.054450 | 1.49 | 0.60 |
| A3 | 14.81 | - | 1.054540 | 1.19 | 0.51 |
| Liu | 14.7(6) | 0.7(9) | 1.05294(1) | −0.8 1 | 1.10 |
© 2019 by the authors. Licensee MDPI, Basel, Switzerland. This article is an open access article distributed under the terms and conditions of the Creative Commons Attribution (CC BY) license (http://creativecommons.org/licenses/by/4.0/).
Share and Cite
Dong, Y.; Ding, X.; Yan, X.; Zhang, L.; Ju, T.; Liu, C.; Rogl, P.; Paschen, S. Structural and Thermoelectric Properties of Cu Substituted Type I Clathrates Ba8CuxSi~32−xGa~14. Materials 2019, 12, 237. https://doi.org/10.3390/ma12020237
Dong Y, Ding X, Yan X, Zhang L, Ju T, Liu C, Rogl P, Paschen S. Structural and Thermoelectric Properties of Cu Substituted Type I Clathrates Ba8CuxSi~32−xGa~14. Materials. 2019; 12(2):237. https://doi.org/10.3390/ma12020237
Chicago/Turabian StyleDong, Yue, Xueyong Ding, Xinlin Yan, Long Zhang, Tianhua Ju, Chenghong Liu, Peter Rogl, and Silke Paschen. 2019. "Structural and Thermoelectric Properties of Cu Substituted Type I Clathrates Ba8CuxSi~32−xGa~14" Materials 12, no. 2: 237. https://doi.org/10.3390/ma12020237
APA StyleDong, Y., Ding, X., Yan, X., Zhang, L., Ju, T., Liu, C., Rogl, P., & Paschen, S. (2019). Structural and Thermoelectric Properties of Cu Substituted Type I Clathrates Ba8CuxSi~32−xGa~14. Materials, 12(2), 237. https://doi.org/10.3390/ma12020237

