Surface-Initiated Atom Transfer Radical Polymerization for the Preparation of Well-Defined Organic–Inorganic Hybrid Nanomaterials
Abstract
1. Introduction
2. Gold Nanoparticles
3. Silica Nanoparticles
3.1. Superhydrophobic Nanocomposite Material Based on Silica Nanoparticles
3.2. Stimuli-Responsive Hybrid Materials Based on Silica NPs
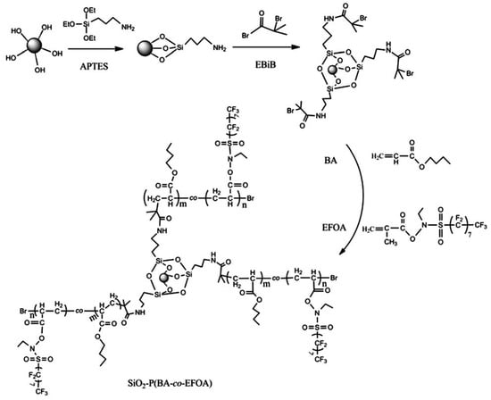
3.3. Amphiphilic Polymer Coatings in Preparation of Hybrid Nanocomposites via SI-ATRP
4. Magnetic Nanoparticles (MNPs)—Iron Oxide Modified via SI-ATRP
5. Other Nanoparticles Modified with SI-ATRP
6. Cellulose Nanocrystal Modified via SI-ATRP—Nature-Based Nanomaterials
7. Summary
Funding
Conflicts of Interest
References
- Wang, J.S.; Matyjaszewski, K. Controlled living radical polymerization—Atom-transfer radical polymerization in the presence of transition-metal complexes. J. Am. Chem. Soc. 1995, 117, 5614–5615. [Google Scholar] [CrossRef]
- Chmielarz, P.; Pacześniak, T.; Rydel-Ciszek, K.; Zaborniak, I.; Biedka, P.; Sobkowiak, A. Synthesis of naturally-derived macromolecules through simplified electrochemically mediated ATRP. Beilstein J. Org. Chem. 2017, 13, 2466–2472. [Google Scholar] [CrossRef] [PubMed]
- Yan, W.; Fantin, M.; Spencer, N.D.; Matyjaszewski, K.; Benetti, E.M. Translating surface-initiated atom transfer radical polymerization into technology: The mechanism of Cu0-mediated si-atrp under environmental conditions. ACS Macro Lett. 2019, 8, 865–870. [Google Scholar] [CrossRef]
- Zaborniak, I.; Chmielarz, P. Temporally controlled ultrasonication-mediated atom transfer radical polymerization in miniemulsion. Macromol. Chem. Phys. 2019, 220, 1900285. [Google Scholar] [CrossRef]
- Matyjaszewski, K. Atom transfer radical polymerization (ATRP): Current status and future perspectives. Macromolecules 2012, 45, 4015–4039. [Google Scholar] [CrossRef]
- Krys, P.; Matyjaszewski, K. Kinetics of atom transfer radical polymerization. Eur. Polym. J. 2017, 89, 482–523. [Google Scholar] [CrossRef]
- Chmielarz, P. Synthesis of naringin-based polymer brushes via seATRP. Polym. Adv. Technol. 2018, 29, 470–480. [Google Scholar] [CrossRef]
- Sun, Y.; Lathwal, S.; Wang, Y.; Fu, L.; Olszewski, M.; Fantin, M.; Enciso, A.E.; Szczepaniak, G.; Das, S.; Matyjaszewski, K. Preparation of well-defined polymers and DNA–polymer bioconjugates via small-volume eATRP in the presence of air. ACS Macro Lett. 2019, 8, 603–609. [Google Scholar] [CrossRef]
- Zaborniak, I.; Chmielarz, P.; Wolski, K.; Grzes’, G.; Isse, A.A.; Gennaro, A.; Zapotoczny, S.; Sobkowiak, A. Tannic acid-inspired star-like macromolecules via temporally controlled multi-step potential electrolysis. Macromol. Chem. Phys. 2019, 220, 1900073. [Google Scholar] [CrossRef]
- Fantin, M.; Lorandi, F.; Isse, A.A.; Gennaro, A. Sustainable electrochemically-mediated atom transfer radical polymerization with inexpensive non-platinum electrodes. Macromol. Rapid Commun. 2016, 37, 1318–1322. [Google Scholar] [CrossRef] [PubMed]
- Chmielarz, P.; Fantin, M.; Park, S.; Isse, A.A.; Gennaro, A.; Magenau, A.J.D.; Sobkowiak, A.; Matyjaszewski, K. Electrochemically mediated atom transfer radical polymerization (eATRP). Prog. Polym. Sci. 2017, 69, 47–78. [Google Scholar] [CrossRef]
- Chmielarz, P. Cellulose-based graft copolymers prepared by simplified electrochemically mediated ATRP. Express Polym. Lett. 2017, 11, 140–151. [Google Scholar] [CrossRef]
- Matyjaszewski, K. Advanced materials by atom transfer radical polymerization. Adv. Mater. 2018, 30, 1706441. [Google Scholar] [CrossRef] [PubMed]
- De Bon, F.; Isse, A.A.; Gennaro, A. Towards scale-up of electrochemically-mediated atom transfer radical polymerization: Use of a stainless-steel reactor as both cathode and reaction vessel. Electrochim. Acta 2019, 304, 505–512. [Google Scholar] [CrossRef]
- Dadashi-Silab, S.; Matyjaszewski, K. Iron-catalyzed atom transfer radical polymerization of semifluorinated methacrylates. ACS Macro Lett. 2019, 8, 1110–1114. [Google Scholar] [CrossRef]
- Sun, H.; Kabb, C.P.; Dai, Y.Q.; Hill, M.R.; Ghiviriga, I.; Bapat, A.P.; Sumerlin, B.S. Macromolecular metamorphosis via stimulus-induced transformations of polymer architecture. Nat. Chem. 2017, 9, 817–823. [Google Scholar] [CrossRef] [PubMed]
- Yang, L.; Sun, H.; Liu, Y.; Hou, W.J.; Yang, Y.; Cai, R.; Cui, C.; Zhang, P.H.; Pan, X.S.; Li, X.W.; et al. Self-assembled aptamer-grafted hyperbranched polymer nanocarrier for targeted and photoresponsive drug delivery. Angew. Chem. Int. Ed. 2018, 57, 17048–17052. [Google Scholar] [CrossRef] [PubMed]
- Chmielarz, P.; Krys, P.; Wang, Z.Y.; Wang, Y.; Matyjaszewski, K. Synthesis of well-defined polymer brushes from silicon wafers via surface-initiated seATRP. Macromol. Chem. Phys. 2017, 218, 13. [Google Scholar] [CrossRef]
- Zaborniak, I.; Chmielarz, P.; Matyjaszewski, K. Modification of wood-based materials by atom transfer radical polymerization methods. Eur. Polym. J. 2019, 109253, in press. [Google Scholar] [CrossRef]
- Park, S.; Chmielarz, P.; Gennaro, A.; Matyjaszewski, K. Simplified electrochemically mediated atom transfer radical polymerization using a sacrificial anode. Angew. Chem. Int. Ed. 2015, 54, 2388–2392. [Google Scholar] [CrossRef]
- Williams, V.A.; Ribelli, T.G.; Chmielarz, P.; Park, S.; Matyjaszewski, K. A silver bullet: Elemental silver as an efficient reducing agent for atom transfer radical polymerization of acrylates. J. Am. Chem. Soc. 2015, 137, 1428–1431. [Google Scholar] [CrossRef] [PubMed]
- Chmielarz, P.; Sobkowiak, A. Ultralow ppm seATRP synthesis of PEO-b-PBA copolymers. J. Polym. Res. 2017, 24, 77. [Google Scholar] [CrossRef]
- Kwak, Y.; Magenau, A.J.D.; Matyjaszewski, K. ARGET ATRP of methyl acrylate with inexpensive ligands and ppm concentrations of catalyst. Macromolecules 2011, 44, 811–819. [Google Scholar] [CrossRef]
- Saha, S.; Baker, G.L. Substituent effects in surface-initiated ATRP of substituted styrenes. Appl. Surf. Sci. 2015, 359, 911–916. [Google Scholar] [CrossRef] [PubMed]
- Chmielarz, P.; Park, S.; Simakova, A.; Matyjaszewski, K. Electrochemically mediated ATRP of acrylamides in water. Polymer 2015, 60, 302–307. [Google Scholar] [CrossRef]
- Chmielarz, P.; Krys, P.; Park, S.; Matyjaszewski, K. PEO-b-PNIPAM copolymers via SARA ATRP and eATRP in aqueous media. Polymer 2015, 71, 143–147. [Google Scholar] [CrossRef]
- Chmielarz, P. Synthesis of inositol-based star polymers through low ppm ATRP methods. Polym. Adv. Technol. 2017, 28, 1804–1812. [Google Scholar] [CrossRef]
- Wang, Z.; Yan, J.; Liu, T.; Wei, Q.; Li, S.; Olszewski, M.; Wu, J.; Sobieski, J.; Fantin, M.; Bockstaller, M.R.; et al. Control of dispersity and grafting density of particle brushes by variation of ATRP catalyst concentration. ACS Macro Lett. 2019, 8, 859–864. [Google Scholar] [CrossRef]
- Hui, C.M.; Pietrasik, J.; Schmitt, M.; Mahoney, C.; Choi, J.; Bockstaller, M.R.; Matyjaszewski, K. Surface-initiated polymerization as an enabling tool for multifunctional (nano-)engineered hybrid materials. Chem. Mater. 2014, 26, 745–762. [Google Scholar] [CrossRef]
- Khabibullin, A.; Mastan, E.; Matyjaszewski, K.; Zhu, S.P. Surface-initiated atom transfer radical polymerization. In Controlled Radical Polymerization at and from Solid Surfaces; Vana, P., Ed.; Springer: Berlin, Germany, 2016; Volume 270, pp. 29–76. [Google Scholar]
- Matyjaszewski, K.; Dong, H.C.; Jakubowski, W.; Pietrasik, J.; Kusumo, A. Grafting from surfaces for “Everyone”: ARGET ATRP in the presence of air. Langmuir 2007, 23, 4528–4531. [Google Scholar] [CrossRef]
- Zhou, D.P.; Gao, X.; Wang, W.J.; Zhu, S.P. Termination of surface radicals and kinetic modeling of ATRP grafting from flat surfaces by addition of deactivator. Macromolecules 2012, 45, 1198–1207. [Google Scholar] [CrossRef]
- Chmielarz, P. Synthesis of α-D-glucose-based star polymers through simplified electrochemically mediated ATRP. Polymer 2016, 102, 192–198. [Google Scholar] [CrossRef]
- Basti, H.; Ben Tahar, L.; Smiri, L.S.; Herbst, F.; Nowak, S.; Mangeney, C.; Ammar, S. Surface modification of gamma-Fe2O3 nanoparticles by grafting from poly-(hydroxyethylmethacrylate) and poly-(methacrylic acid): Qualitative and quantitative analysis of the polymeric coating. Colloid Surf. A Physicochem. Eng. Asp. 2016, 490, 222–231. [Google Scholar] [CrossRef]
- Chmielarz, P.; Yan, J.J.; Krys, P.; Wang, Y.; Wang, Z.Y.; Bockstaller, M.R.; Matyjaszewski, K. Synthesis of nanoparticle copolymer brushes via surface-initiated seATRP. Macromolecules 2017, 50, 4151–4159. [Google Scholar] [CrossRef]
- Johnson, J.A.; Lu, Y.Y.; Burts, A.O.; Xia, Y.; Durrell, A.C.; Tirrell, D.A.; Grubbs, R.H. Drug-Loaded, Bivalent-bottle-brush polymers by graft-through ROMP. Macromolecules 2010, 43, 10326–10335. [Google Scholar] [CrossRef] [PubMed]
- Roghani-Mamaqani, H.; Haddadi-Asl, V.; Khezri, K.; Salami-Kalajahi, M. Edge-functionalized graphene nanoplatelets with polystyrene by atom transfer radical polymerization: Grafting through carboxyl groups. Polym. Int. 2014, 63, 1912–1923. [Google Scholar] [CrossRef]
- Hobbs, C.E.; Vasireddy, M. Combining ATRP and ROMP with thio-bromo, copper-catalyzed, and strain-promoted click reactions for brush copolymer synthesis starting from a single initiator/monomer/click partner. Macromol. Chem. Phys. 2019, 220, 5. [Google Scholar] [CrossRef]
- Ding, H.J.; Yan, J.J.; Wang, Z.Y.; Xie, G.J.; Mahoney, C.; Ferebee, R.; Zhong, M.J.; Daniel, W.F.M.; Pietrasik, J.; Sheiko, S.S.; et al. Preparation of ZnO hybrid nanoparticles by ATRP. Polymer 2016, 107, 492–502. [Google Scholar] [CrossRef]
- Liu, X.; Li, S.R.; Wu, Y.X. Synthesis and characterization of poly(vinyl acetate)-g-polytetrahydrofuran graft copolymer with silver nanoparticles via combination of living cationic polymerization and grafting-onto approach. Acta Polym. Sin. 2017, 11, 1753–1761. [Google Scholar]
- Gadwal, I.; Wadgaonkar, P.P.; Ichake, A.B.; Mane, S.R. A New approach for the synthesis of miktoarm star polymers through a combination of thiol-epoxy “click” chemistry and ATRP/ring-opening polymerization techniques. J. Polym. Sci. Part A Polym. Chem. 2019, 57, 146–156. [Google Scholar] [CrossRef]
- Li, Q.; Imbrogno, J.; Belfort, G.; Wang, X.L. Making polymeric membranes antifouling via “grafting from” polymerization of zwitterions. J. Appl. Polym. Sci. 2015, 132, 14. [Google Scholar] [CrossRef]
- Patil, R.R.; Turgman-Cohen, S.; Srogl, J.; Kiserow, D.; Genzer, J. On-demand degrafting and the study of molecular weight and grafting density of poly(methyl methacrylate) brushes on flat silica substrates. Langmuir 2015, 31, 2372–2381. [Google Scholar] [CrossRef] [PubMed]
- Pan, X.C.; Lathwal, S.; Mack, S.; Yan, J.J.; Das, S.R.; Matyjaszewski, K. Automated synthesis of well-defined polymers and biohybrids by atom transfer radical polymerization using a DNA synthesizer. Angew. Chem. Int. Ed. 2017, 56, 2740–2743. [Google Scholar] [CrossRef] [PubMed]
- Cho, H.Y.; Krys, P.; Szczesniak, K.; Schroeder, H.; Park, S.; Jurga, S.; Buback, M.; Matyjaszewski, K. Synthesis of poly(OEOMA) using macromonomers via “grafting-through” ATRP. Macromolecules 2015, 48, 6385–6395. [Google Scholar] [CrossRef]
- Fazli, Y.; Kulani, E.; Khezri, K.; Alijani, H. PMMA-grafted silica aerogel nanoparticles via in situ SR&NI ATRP: Grafting through approach. Microporous Mesoporous Mater. 2015, 214, 70–79. [Google Scholar]
- Kolb, H.C.; Finn, M.G.; Sharpless, K.B. Click chemistry: Diverse chemical function from a few good reactions. Angew. Chem. Int. Ed. 2001, 40, 2004–2021. [Google Scholar] [CrossRef]
- Golas, P.L.; Matyjaszewski, K. Marrying click chemistry with polymerization: Expanding the scope of polymeric materials. Chem. Soc. Rev. 2010, 39, 1338–1354. [Google Scholar] [CrossRef] [PubMed]
- Zhou, T.; Qi, H.; Han, L.; Barbash, D.; Li, C.Y. Towards controlled polymer brushes via a self-assembly-assisted-grafting-to approach. Nat. Commun. 2016, 7, 8. [Google Scholar] [CrossRef]
- Mao, L.C.; Liu, X.H.; Liu, M.Y.; Huang, L.; Xu, D.Z.; Jiang, R.M.; Huang, Q.; Wen, Y.Q.; Zhang, X.Y.; Wei, Y. Surface grafting of zwitterionic polymers onto dye doped AIE-active luminescent silica nanoparticles through surface-initiated ATRP for biological imaging applications. Appl. Surf. Sci. 2017, 419, 188–196. [Google Scholar] [CrossRef]
- Pamies, R.; Zhu, K.Z.; Kjoniksen, A.L.; Nystrom, B. Temperature effects on the stability of gold nanoparticles in the presence of a cationic thermoresponsive copolymer. J. Nanopart. Res. 2016, 18, 12. [Google Scholar] [CrossRef]
- Kim, H.S.; Son, Y.J.; Mao, W.; Leong, K.W.; Yoo, H.S. Atom transfer radical polymerization of multishelled cationic corona for the systemic delivery of siRNA. Nano Lett. 2018, 18, 314–325. [Google Scholar] [CrossRef] [PubMed]
- Quinsaat, J.E.Q.; Nusch, F.A.; Hofmann, H.; Opris, D.M. Hydrophobization of silver nanoparticles through surface-initiated atom transfer radical polymerization. RSC Adv. 2016, 6, 44254–44260. [Google Scholar] [CrossRef]
- Yan, C.-N.; Xu, L.; Liu, Q.-D.; Zhang, W.; Jia, R.; Liu, C.-Z.; Wang, S.-S.; Wang, L.-P.; Li, G. Surface-induced ARGET ATRP for silicon nanoparticles with fluorescent polymer brushes. Polymers 2019, 11, 1228. [Google Scholar] [CrossRef]
- Kopec, M.; Spanjers, J.; Scavo, E.; Ernens, D.; Duvigneau, J.; Vancso, G.J. Surface-initiated ATRP from polydopamine-modified TiO2 nanoparticles. Eur. Polym. J. 2018, 106, 291–296. [Google Scholar] [CrossRef]
- Tan, L.; Liu, B.; Siemensmeyer, K.; Glebe, U.; Boker, A. Synthesis of thermo-responsive nanocomposites of superparamagnetic cobalt nanoparticles/poly(N-isopropylacrylamide). J. Colloid Interface Sci. 2018, 526, 124–134. [Google Scholar] [CrossRef] [PubMed]
- Merlet, R.B.; Amirilargani, M.; de Smet, L.; Sudholter, E.J.R.; Nijmeijer, A.; Winnubst, L. Growing to shrink: Nano-tunable polystyrene brushes inside 5 nm mesopores. J. Membr. Sci. 2019, 572, 632–640. [Google Scholar] [CrossRef]
- Strozyk, M.S.; Chanana, M.; Pastoriza-Santos, I.; Perez-Juste, J.; Liz-Marzan, L.M. Protein/polymer-based dual-responsive gold nanoparticles with pH-dependent thermal sensitivity. Adv. Funct. Mater. 2012, 22, 1436–1444. [Google Scholar] [CrossRef]
- Boyer, C.; Corrigan, N.A.; Jung, K.; Nguyen, D.; Nguyen, T.K.; Adnan, N.N.M.; Oliver, S.; Shanmugam, S.; Yeow, J. Copper-mediated living radical polymerization (atom transfer radical polymerization and copper(0) mediated polymerization): From fundamentals to bioapplications. Chem. Rev. 2016, 116, 1803–1949. [Google Scholar] [CrossRef] [PubMed]
- Zhou, T.; Zhu, Y.Z.; Li, X.; Liu, X.M.; Yeung, K.W.K.; Wu, S.L.; Wang, X.B.; Cui, Z.D.; Yang, X.J.; Chu, P.K. Surface functionalization of biomaterials by radical polymerization. Prog. Mater. Sci. 2016, 83, 191–235. [Google Scholar] [CrossRef]
- Kang, M.K.; Mao, W.; Yoo, H.S. Surface-initiated atom transfer radical polymerization of cationic corona on iron oxide nanoparticles for magnetic sorting of macrophages. Biomater. Sci. 2018, 6, 2248–2260. [Google Scholar] [CrossRef] [PubMed]
- Fristrup, C.J.; Jankova, K.; Hvilsted, S. Surface-initiated atom transfer radical polymerization—A technique to develop biofunctional coatings. Soft Matter 2009, 5, 4623–4634. [Google Scholar] [CrossRef]
- Chakraborty, S.; Bishnoi, S.W.; Perez-Luna, V.H. Gold nanoparticles with poly(N-isopropylacrylamide) formed via surface initiated atom transfer free radical polymerization exhibit unusually slow aggregation kinetics. J. Phys. Chem. C 2010, 114, 5947–5955. [Google Scholar] [CrossRef]
- Song, L.L.; Qiao, Y.S.; Du, Y.X.; Li, Y.B. Shape control synthesis of polymeric hybrid nanoparticles via surface-initiated atom-transfer radical polymerization. J. Appl. Polym. Sci. 2016, 133, 5. [Google Scholar] [CrossRef]
- Mu, B.; Shen, R.P.; Liu, P. Crosslinked polymeric nanocapsules from polymer brushes grafted silica nanoparticles via surface-initiated atom transfer radical polymerization. Colloid Surf. B Biointerfaces 2009, 74, 511–515. [Google Scholar] [CrossRef]
- Huang, C.L.; Tassone, T.; Woodberry, K.; Sunday, D.; Green, D.L. Impact of ATRP initiator spacer length on grafting poly(methyl methacrylate) from silica nanoparticles. Langmuir 2009, 25, 13351–13360. [Google Scholar] [CrossRef]
- Du, P.C.; Liu, P. Crosslinked polymeric nanocapsules via surface-initiated atom transfer radical polymerization from SiO2 nano-templates. J. Macromol. Sci. Part A Pure Appl. Chem. 2010, 47, 1080–1083. [Google Scholar] [CrossRef]
- Yu, H.J.; Luo, Z.H. Silica/polystyrene and silica/polystyrene-b-polymethacryloxypropyltrimethoxysilane hybrid nanoparticles via surface-initiated ATRP and comparison of their wettabilities. Polym. Eng. Sci. 2011, 51, 218–224. [Google Scholar] [CrossRef]
- Kirakosyan, A.; Kim, D.; Choi, J. Self-assembled polymer-grafted nanoparticles for photonic coating applications. Macromol. Res. 2016, 24, 1030–1035. [Google Scholar] [CrossRef]
- Wang, W.P.; Tang, J.Y.; Jia, Z.Q.; Li, X.X.; Xiao, Z.H. Grafting of amphiphilic polymers containing quaternary ammonium group on SiO2 surface via surface-initiated ATRP. J. Polym. Res. 2012, 19, 8. [Google Scholar] [CrossRef]
- Wu, J.R.; Lai, G.Q.; Yu, H.J.; Luo, Z.H. Synthesis and characterization of poly(γ-methacryloxypropyltrimethoxysilane)-grafted silica hybrid nanoparticles prepared by surface-initiated atom transfer radical polymerization. J. Appl. Polym. Sci. 2012, 124, 3821–3830. [Google Scholar] [CrossRef]
- Yu, F.Q.; Tang, X.D.; Pei, M.S. Facile synthesis of PDMAEMA-coated hollow mesoporous silica nanoparticles and their pH-responsive controlled release. Microporous Mesoporous Mater. 2013, 173, 64–69. [Google Scholar] [CrossRef]
- Liu, H.; Chen, S.; Cui, H.Q.; Hu, J.; Cai, H.Y.; Deng, W.K. Fabrication of triple responsive polymer brushes and their catalytic performance after loading palladium. RSC Adv. 2015, 5, 72444–72452. [Google Scholar] [CrossRef]
- Yin, J.; Zhou, J.C. Novel polyethersulfone hybrid ultrafiltration membrane prepared with SiO2-g-(PDMAEMA-co-PDMAPS) and its antifouling performances in oil-in-water emulsion application. Desalination 2015, 365, 46–56. [Google Scholar] [CrossRef]
- Falireas, P.G.; Vamvakaki, M. pH-Responsive polyampholytic hybrid Janus nanoparticles. Polymer 2017, 130, 50–60. [Google Scholar] [CrossRef]
- Ataman, N.C.; Klok, H.A. Degrafting of poly(poly(ethylene glycol) methacrylate) brushes from planar and spherical silicon substrates. Macromolecules 2016, 49, 9035–9047. [Google Scholar] [CrossRef]
- Huang, H.P.; Qu, J.; He, L. Amphiphilic silica/fluoropolymer nanoparticles: Synthesis, tem-responsive and surface properties as protein-resistance coatings. J. Polym. Sci. Polym. Chem. 2016, 54, 381–393. [Google Scholar] [CrossRef]
- Zhou, T.; Wang, B.B.; Dong, B.; Li, C.Y. Thermoresponsive amphiphilic janus silica nanoparticles via combining “polymer single-crystal templating” and “grafting-from” methods. Macromolecules 2012, 45, 8780–8789. [Google Scholar] [CrossRef]
- Manivannan, K.; Huang, Y.S.; Huang, B.R.; Huang, C.F.; Chen, J.K. Real-time packing behavior of core-shell silica@poly(N-isopropylacrylamide) microspheres as photonic crystals for visualizing in thermal sensing. Polymers 2016, 8, 12. [Google Scholar] [CrossRef] [PubMed]
- Wu, L.; Glebe, U.; Boker, A. Synthesis of hybrid silica nanoparticles densely grafted with thermo and pH dual-responsive brushes via surface-initiated ATRP. Macromolecules 2016, 49, 9586–9596. [Google Scholar] [CrossRef]
- Xu, J.; Zhou, T.; Jia, L.; Shen, X.K.; Li, X.H.; Li, H.J.; Xu, Z.Q.; Cao, J.L. Generation and thermally adjustable catalysis of silver nanoparticle immobilized temperature-sensitive nanocomposite. J. Nanopart. Res. 2017, 19, 9. [Google Scholar] [CrossRef]
- Khabibullin, A.; Kopec, M.; Matyjaszewski, K. Modification of silica nanoparticles with miktoarm polymer brushes via ATRP. J. Inorg. Organomet. Polym. Mater. 2016, 26, 1292–1300. [Google Scholar] [CrossRef]
- Penelas, M.J.; Contreras, C.B.; Giussi, J.M.; Wolosiuk, A.; Azzaroni, O.; Illia, G. Controlling dispersion, stability and polymer content on PDEGMA-functionalized core-brush silica colloids. Colloid Surf. A Physicochem. Eng. Asp. 2019, 574, 12–20. [Google Scholar] [CrossRef]
- Park, J.T.; Seo, J.A.; Ahn, S.H.; Kim, J.H.; Kang, S.W. Surface modification of silica nanoparticles with hydrophilic polymers. J. Ind. Eng. Chem. 2010, 16, 517–522. [Google Scholar] [CrossRef]
- Zhan, X.L.; Yan, Y.D.; Zhang, Q.H.; Chen, F.Q. A novel superhydrophobic hybrid nanocomposite material prepared by surface-initiated AGET ATRP and its anti-icing properties. J. Mater. Chem. A 2014, 2, 9390–9399. [Google Scholar] [CrossRef]
- Liu, Y.J.; Wang, X.P.; Song, W.G.; Wang, G.W. Synthesis and characterization of silica nanoparticles functionalized with multiple TEMPO groups and investigation on their oxidation activity. Polym. Chem. 2015, 6, 7514–7523. [Google Scholar] [CrossRef]
- Li, L.; Da, Y.M.; Ying, S.; Zheng, W.Q.; Zhang, X.Y.; Yu, X.H. Growth of silver nanoparticles on poly(acrylic acid) brushes and their properties. Polym. Bull. 2017, 74, 505–516. [Google Scholar] [CrossRef]
- Król, P.; Chmielarz, P. Recent advances in ATRP methods in relation to the synthesis of copolymer coating materials. Prog. Org. Coat. 2014, 77, 913–948. [Google Scholar] [CrossRef]
- Yao, X.; Song, Y.L.; Jiang, L. Applications of bio-inspired special wettable surfaces. Adv. Mater. 2011, 23, 719–734. [Google Scholar] [CrossRef]
- Deng, X.; Mammen, L.; Butt, H.J.; Vollmer, D. Candle soot as a template for a transparent robust superamphiphobic coating. Science 2012, 335, 67–70. [Google Scholar] [CrossRef]
- Zhou, H.; Wang, H.X.; Niu, H.T.; Gestos, A.; Lin, T. Robust, self-healing superamphiphobic fabrics prepared by two-step coating of fluoro-containing polymer, fluoroalkyl silane, and modified silica nanoparticles. Adv. Funct. Mater. 2013, 23, 1664–1670. [Google Scholar] [CrossRef]
- Sun, N.; Meng, X.J.; Xiao, Z.G. Functionalized Si3N4 nanoparticles modified with hydrophobic polymer chains by surface-initiated atom transfer radical polymerization (ATRP). Ceram. Int. 2015, 41, 13830–13835. [Google Scholar] [CrossRef]
- Pellegrino, T.; Manna, L.; Kudera, S.; Liedl, T.; Koktysh, D.; Rogach, A.L.; Keller, S.; Radler, J.; Natile, G.; Parak, W.J. Hydrophobic nanocrystals coated with an amphiphilic polymer shell: A general route to water soluble nanocrystals. Nano Lett. 2004, 4, 703–707. [Google Scholar] [CrossRef]
- Lin, C.A.J.; Sperling, R.A.; Li, J.K.; Yang, T.Y.; Li, P.Y.; Zanella, M.; Chang, W.H.; Parak, W.G.J. Design of an amphiphilic polymer for nanoparticle coating and functionalization. Small 2008, 4, 334–341. [Google Scholar] [CrossRef]
- Lai, H.; Lu, M.; Chen, F.; Lalevee, J.; Stenzel, M.H.; Xiao, P. Amphiphilic polymer coated nanodiamonds: A promising platform to deliver azonafide. Polym. Chem. 2019, 10, 1904–1911. [Google Scholar] [CrossRef]
- Schon, F.; Hartenstein, M.; Muller, A.H.E. New strategy for the synthesis of halogen-free acrylate macromonomers by atom transfer radical polymerization. Macromolecules 2001, 34, 5394–5397. [Google Scholar] [CrossRef]
- Cai, Y.L.; Armes, S.P. Synthesis of well-defined Y-shaped zwitterionic block copolymers via atom-transfer radical polymerization. Macromolecules 2005, 38, 271–279. [Google Scholar] [CrossRef]
- Wang, X.F.; Shi, Y.; Graff, R.W.; Lee, D.; Gao, H.F. Developing recyclable pH-responsive magnetic nanoparticles for oil-water separation. Polymer 2015, 72, 361–367. [Google Scholar] [CrossRef]
- Lattuada, M.; Hatton, T.A. Functionalization of monodisperse magnetic nanoparticles. Langmuir 2007, 23, 2158–2168. [Google Scholar] [CrossRef]
- Mao, X.D.; Sun, H.Y.; He, X.W.; Chen, L.X.; Zhang, Y.K. Well-defined sulfamethazine-imprinted magnetic nanoparticles via surface-initiated atom transfer radical polymerization for highly selective enrichment of sulfonamides in food samples. Anal. Methods 2015, 7, 4708–4716. [Google Scholar] [CrossRef]
- Yao, X.H.; Jing, J.Y.; Liang, F.X.; Yang, Z.Z. Polymer-Fe3O4 composite janus nanoparticles. Macromolecules 2016, 49, 9618–9625. [Google Scholar] [CrossRef]
- Al Dine, E.J.; Ferjaoui, Z.; Roques-Carmes, T.; Schjen, A.; Meftah, A.; Hamieh, T.; Toufaily, J.; Schneider, R.; Gaffet, E.; Alem, H. Efficient synthetic access to thermoresponsive core/shell nanoparticles. Nanotechnology 2017, 28, 8. [Google Scholar]
- Yan, J.J.; Li, S.P.; Cartieri, F.; Wang, Z.Y.; Hitchens, T.K.; Leonardo, J.; Averick, S.E.; Matyjaszewski, K. Iron oxide nanoparticles with grafted polymeric analogue of dimethyl sulfoxide as potential magnetic resonance imaging contrast agents. ACS Appl. Mater. Interfaces 2018, 10, 21901–21908. [Google Scholar] [CrossRef]
- Gorka, W.; Kuciel, T.; Nalepa, P.; Lachowicz, D.; Zapotoczny, S.; Szuwarzynski, M. Homogeneous embedding of magnetic nanoparticles into polymer brushes during simultaneous surface-initiated polymerization. Nanomaterials 2019, 9, 11. [Google Scholar] [CrossRef]
- Wang, Z.Y.; Mahoney, C.; Yan, J.J.; Lu, Z.; Ferebee, R.; Luo, D.L.; Bockstaller, M.R.; Matyjaszewski, K. Preparation of well-defined poly(styrene-co-acrylonitrile)/ZnO hybrid nanoparticles by an efficient ligand exchange strategy. Langmuir 2016, 32, 13207–13213. [Google Scholar] [CrossRef]
- Qiu, Y.; Rojas, E.; Murray, R.A.; Irigoyen, J.; Gregurec, D.; Castro-Hartmann, P.; Fledderman, J.; Estrela-Lopis, I.; Donath, E.; Moya, S.E. Cell uptake, intracellular distribution, fate and reactive oxygen species generation of polymer brush engineered CeO2−x NPs. Nanoscale 2015, 7, 6588–6598. [Google Scholar] [CrossRef]
- Sanchez, C.C.; Wahlander, M.; Taylor, N.; Fogelstrom, L.; Malmstrom, E. Novel Nanocomposites of poly(lauryl methacrylate)-grafted Al2O3 nanoparticles in LDPE. ACS Appl. Mater. Interfaces 2015, 7, 25669–25678. [Google Scholar] [CrossRef]
- Goncalves, G.; Marques, P.; Barros-Timmons, A.; Bdkin, I.; Singh, M.K.; Emami, N.; Gracio, J. Graphene oxide modified with PMMA via ATRP as a reinforcement filler. J. Mater. Chem. 2010, 20, 9927–9934. [Google Scholar] [CrossRef]
- Wu, Y.P.; Guo, M.L.; Liu, G.F.; Xue, S.S.; Xia, Y.M.; Liu, D.; Lei, W.W. Surface modification of boron nitride nanosheets by polyelectrolytes via atom transfer radical polymerization. Mater. Res. Express 2018, 5, 7. [Google Scholar] [CrossRef]
- Brinchi, L.; Cotana, F.; Fortunati, E.; Kenny, J.M. Production of nanocrystalline cellulose from lignocellulosic biomass: Technology and applications. Carbohydr. Polym. 2013, 94, 154–169. [Google Scholar] [CrossRef]
- Frone, A.N.; Berlioz, S.; Chailan, J.F.; Panaitescu, D.M. Morphology and thermal properties of PLA-cellulose nanofibers composites. Carbohydr. Polym. 2013, 91, 377–384. [Google Scholar] [CrossRef]
- Hemraz, U.D.; Lu, A.; Sunasee, R.; Boluk, Y. Structure of poly(N-isopropylacrylamide) brushes and steric stability of their grafted cellulose nanocrystal dispersions. J. Colloid Interface Sci. 2014, 430, 157–165. [Google Scholar] [CrossRef]
- Grishkewich, N.; Akhlaghi, S.P.; Yao, Z.L.; Berry, R.; Tam, K.C. Cellulose nanocrystal-poly(oligo(ethylene glycol) methacrylate) brushes with tunable LCSTsNathan. Carbohydr. Polym. 2016, 144, 215–222. [Google Scholar] [CrossRef]
- Yin, Y.; Tian, X.; Jiang, X.; Wang, H.; Gao, W. Modification of cellulose nanocrystal via SI-ATRP of styrene and the mechanism of its reinforcement of polymethylmethacrylate. Carbohydr. Polym. 2016, 142, 206–212. [Google Scholar] [CrossRef]
- Malik, N.S.; Ahmad, M.; Minhas, M.U. Cross-linked beta-cyclodextrin and carboxymethyl cellulose hydrogels for controlled drug delivery of acyclovir. PLoS ONE 2017, 12, e0172727. [Google Scholar] [CrossRef]
- Morits, M.; McKee, J.R.; Majoinen, J.; Malho, J.M.; Houbenov, N.; Seitsonen, J.; Laine, J.; Groschel, A.H.; Ikkala, O. Polymer brushes on cellulose nanofibers: Modification, SI-ATRP, and unexpected degradation processes. ACS Sustain. Chem. Eng. 2017, 5, 7642–7650. [Google Scholar] [CrossRef]
- Zhang, Z.; Sebe, G.; Wang, X.S.; Tam, K.C. Gold nanoparticles stabilized by poly(4-vinylpyridine) grafted cellulose nanocrystals as efficient and recyclable catalysts. Carbohydr. Polym. 2018, 182, 61–68. [Google Scholar] [CrossRef]
- Zhang, Z.; Tam, K.C.; Sebe, G.; Wang, X.S. Convenient characterization of polymers grafted on cellulose nanocrystals via SI-ATRP without chain cleavage. Carbohydr. Polym. 2018, 199, 603–609. [Google Scholar] [CrossRef]
- Kedzior, S.A.; Zoppe, J.O.; Berry, R.M.; Cranston, E.D. Recent advances and an industrial perspective of cellulose nanocrystal functionalization through polymer grafting. Curr. Opin. Solid State Mater. Sci. 2019, 23, 74–91. [Google Scholar] [CrossRef]
- Zhang, Z.; Wang, X.S.; Tam, K.C.; Sebe, G. A comparative study on grafting polymers from cellulose nanocrystals via surface-initiated atom transfer radical polymerization (ATRP) and activator re-generated by electron transfer ATRP. Carbohydr. Polym. 2019, 205, 322–329. [Google Scholar] [CrossRef]



























© 2019 by the authors. Licensee MDPI, Basel, Switzerland. This article is an open access article distributed under the terms and conditions of the Creative Commons Attribution (CC BY) license (http://creativecommons.org/licenses/by/4.0/).
Share and Cite
Flejszar, M.; Chmielarz, P. Surface-Initiated Atom Transfer Radical Polymerization for the Preparation of Well-Defined Organic–Inorganic Hybrid Nanomaterials. Materials 2019, 12, 3030. https://doi.org/10.3390/ma12183030
Flejszar M, Chmielarz P. Surface-Initiated Atom Transfer Radical Polymerization for the Preparation of Well-Defined Organic–Inorganic Hybrid Nanomaterials. Materials. 2019; 12(18):3030. https://doi.org/10.3390/ma12183030
Chicago/Turabian StyleFlejszar, Monika, and Paweł Chmielarz. 2019. "Surface-Initiated Atom Transfer Radical Polymerization for the Preparation of Well-Defined Organic–Inorganic Hybrid Nanomaterials" Materials 12, no. 18: 3030. https://doi.org/10.3390/ma12183030
APA StyleFlejszar, M., & Chmielarz, P. (2019). Surface-Initiated Atom Transfer Radical Polymerization for the Preparation of Well-Defined Organic–Inorganic Hybrid Nanomaterials. Materials, 12(18), 3030. https://doi.org/10.3390/ma12183030

