Tunable Magnetocaloric Properties of Gd-Based Alloys by Adding Tb and Doping Fe Elements
Abstract
1. Introduction
2. Experimental Details
3. Results and Discussion
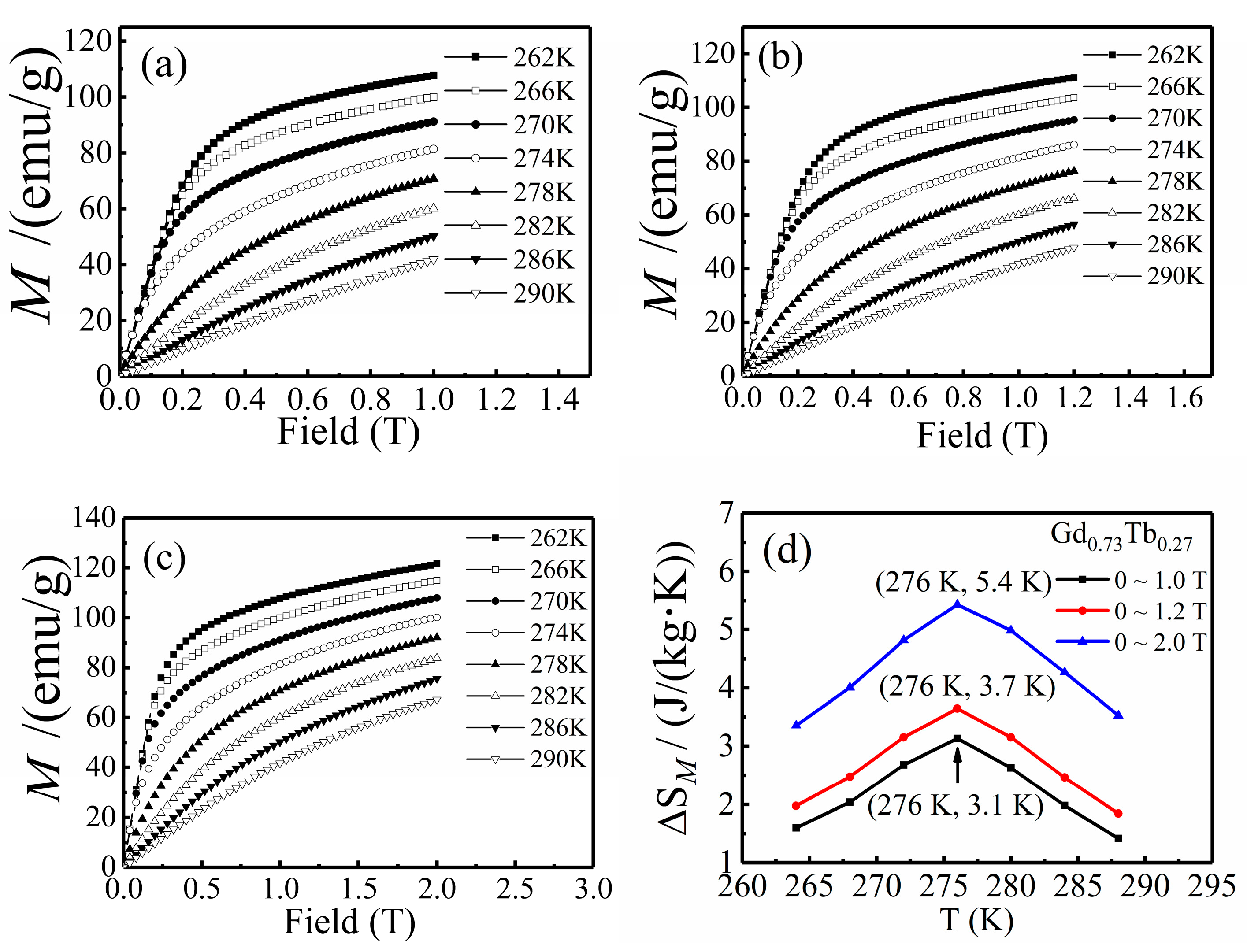
3.1. Gd–Tb Alloys
3.2. Gd–Tb–Fe Alloys
4. Conclusions
- In Gd1−xTbx, the Curie temperature decreased monotonously and linearly with the increase of Tb content, but the adiabatic temperature first rose and then decreased. Considering the magnetocaloric properties and the Curie temperature, x = 0.27 was the most suitable choice.
- In (Gd0.73Tb0.27)1−yFey, Fe doping reduced the adiabatic temperature change of the alloy while increasing the Curie temperature
- Heat treatment of (Gd0.73Tb0.27)1−yFey at 1073 K for 10 h resulted in an average increase in adiabatic temperature change of 0.3 K and a slight increase in the Curie temperature.
- The adiabatic temperature change obtained by the direct measurement method is widely used in the characterization of magnetocaloric effects. The results obtained by the direct measurement method had a good correlation with the results of the isothermal magnetic entropy change and the indirect measurement method, which just shows the accuracy of the direct measurement method.
Author Contributions
Funding
Conflicts of Interest
References
- Glanz, J. Making a bigger chill with magnets. Science 1998, 279, 2045. [Google Scholar] [CrossRef]
- Gschneidner, K.A.; Pecharsky, V.K.; Tsokol, A.O. Recent developments in magnetocaloric materials. Rep. Prog. Phys. 2005, 68, 1479–1539. [Google Scholar] [CrossRef]
- Von Ranke, P.J.; de Oliveira, N.A.; Alho, B.P.; de Sousa, V.S.R.; Plaza, E.J.R.; Carvalho, A.M.G. Magnetocaloric effect in ferromagnetic and ferrimagnetic systems under first and second order phase transition. J. Magn. Magn. Mater. 2010, 322, 84–87. [Google Scholar] [CrossRef]
- Tishin, A.M.; Spichkin, Y.I. The magnetocaloric effect and its application. Mater. Today 2003, 6, 51. [Google Scholar]
- Brown, G.V. Magnetic heat pumping near room temperature. J. Appl. Phys. 1976, 47, 3673–3680. [Google Scholar] [CrossRef]
- Pecharsky, V.K.; Gschneidner, K.A. Giant magnetocaloric effect in Gd5(Si2Ge2). Phys. Rev. Lett. 1997, 78, 4494–4497. [Google Scholar] [CrossRef]
- Hu, F.X.; Shen, B.G.; Sun, J.R.; Cheng, Z.H. Influence of negative lattice expansion and metamagnetic transition on magnetic entropy change in the compound LaFe11.4Si1.6. Appl. Phys. Lett. 2001, 78, 3675–3677. [Google Scholar] [CrossRef]
- De Campos, A.; Da Luz, M.S.; De Campos, A.; Coelho, A.A.; Cardoso, L.P.; Dos Santos, A.O.; Gama, S. Investigations in MnAs1−xSbx: Experimental validation of a new magnetocaloric composite. J. Magn. Magn. Mater. 2015, 374, 342–344. [Google Scholar] [CrossRef]
- Wada, H.; Matsuo, S.; Mitsuda, A. Pressure dependence of magnetic entropy change and magnetic transition in MnAs1−xSbx. Phys. Rev. B 2009, 79, 092407. [Google Scholar] [CrossRef]
- Krenke, T.; Duman, E.; Acet, M.; Moya, X.; Manosa, L. Effect of Co and Fe on the inverse magnetocaloric properties of Ni-Mn-Sn. J. Appl. Phys. 2007, 102, 033903. [Google Scholar] [CrossRef]
- Moya, X.; Manosa, L.; Planes, A.; Krenke, T.; Duman, E.; Acet, M.; Wassermann, E.F. Calorimetric study of the inverse magnetocaloric effect in ferromagnetic Ni–Mn–Sn. J. Magn. Magn. Mater. 2007, 316, 572–574. [Google Scholar] [CrossRef]
- Shamberger, P.J.; Ohuchi, F.S. Hysteresis of the martensitic phase transition in magnetocaloric-effect Ni-Mn-Sn alloys. Phys. Rev. B 2009, 79, 144407. [Google Scholar] [CrossRef]
- Hamad, M.A. Theoretical work on magnetocaloric effect in La0.75Ca0.25MnO3. J. Adv. Ceram. 2012, 1, 290–295. [Google Scholar] [CrossRef]
- Pavlukhina, O.; Buchelnikov, V.; Sokolovskiy, V.; Zagrebin, M. Monte Carlo study of the magnetic and magnetocaloric properties of La1−xCaxMnO3 (x = 0.33 and 0.5). Solid State Phenom. 2012, 190, 347–350. [Google Scholar] [CrossRef]
- Schiffer, P.; Ramirez, A.P.; Bao, W.; Cheong, S.W. Low temperature magnetoresistance and the magnetic phase diagram of La1−xCaxMnO3. Phys. Rev. Lett. 1995, 75, 3336–3339. [Google Scholar] [CrossRef] [PubMed]
- Liu, G.J.; Sun, J.R. Determination of the entropy changes in the compounds with a first-order magnetic transition. Appl. Phys. Lett. 2007, 90, 4494. [Google Scholar] [CrossRef]
- Chirkova, A.; Skokov, K.P.; Schultz, L.; Baranov, N.V.; Gutfleisch, O.; Woodcock, T.G. Giant adiabatic temperature change in FeRh alloys evidenced by direct measurements under cyclic conditions. Acta Mater. 2016, 106, 15–21. [Google Scholar] [CrossRef]
- Giguere, A.; Foldeaki, M.; Gopal, B.R.; Chahine, R.; Bose, T.K.; Frydman, A.; Barclay, J.A. Direct measurement of the “Giant” adiabatic temperature change in Gd5Si2Ge2. Phys. Rev. Lett. 1999, 83, 2262–2265. [Google Scholar] [CrossRef]
- Li, B.; Hu, W.J.; Liu, X.G.; Yang, F.; Ren, W.J.; Zhao, X.G.; Zhang, Z.D. Large reversible magnetocaloric effect in TbCoC2 in low magnetic field. Appl. Phys. Lett. 2008, 92, 1759. [Google Scholar] [CrossRef][Green Version]
- Sarkar, P.; Mandal, P.; Choudhury, P. Large magnetocaloric effect in Sm0.52Sr0.48MnO3 in low magnetic field. Appl. Phys. Lett. 2008, 92, 182506. [Google Scholar] [CrossRef]
- Law, J.Y.; Ramanujan, R.V.; Franco, V. Tunable Curie temperatures in Gd alloyed Fe–B–Cr magnetocaloric materials. J. Alloys Compd. 2010, 508, 14–19. [Google Scholar] [CrossRef]
- Li, J.; Huo, J.; Law, J.; Chang, C.; Du, J.; Man, Q.; Wang, X.; Li, R.W. Magnetocaloric effect in heavy rare-earth elements doped Fe-based bulk metallic glasses with tunable Curie temperature. J. Appl. Phys. 2014, 116, 821. [Google Scholar] [CrossRef]
- Wang, G.F.; Zhao, Z.R.; Wang, D.L.; Zhang, X.F. Tunable Curie Temperature and magnetocaloric effect in Mg-doped (La, Sr)MnO3 manganites. IEEE Trans. Magn. 2015, 51, 1–4. [Google Scholar]
- Zhao, Z.R.; Wang, X.; Wang, G.F.; Zhang, X.F. Tuning of Curie Temperature and magnetocaloric effect via annealing condition change in La0.8K0.2MnO3 manganites. J. Supercond. Novel Magn. 2015, 28, 3693–3700. [Google Scholar] [CrossRef]







© 2019 by the authors. Licensee MDPI, Basel, Switzerland. This article is an open access article distributed under the terms and conditions of the Creative Commons Attribution (CC BY) license (http://creativecommons.org/licenses/by/4.0/).
Share and Cite
Xu, L.; Qian, C.; Ai, Y.; Su, T.; Hou, X. Tunable Magnetocaloric Properties of Gd-Based Alloys by Adding Tb and Doping Fe Elements. Materials 2019, 12, 2877. https://doi.org/10.3390/ma12182877
Xu L, Qian C, Ai Y, Su T, Hou X. Tunable Magnetocaloric Properties of Gd-Based Alloys by Adding Tb and Doping Fe Elements. Materials. 2019; 12(18):2877. https://doi.org/10.3390/ma12182877
Chicago/Turabian StyleXu, Lingfeng, Chengyuan Qian, Yongchang Ai, Tong Su, and Xueling Hou. 2019. "Tunable Magnetocaloric Properties of Gd-Based Alloys by Adding Tb and Doping Fe Elements" Materials 12, no. 18: 2877. https://doi.org/10.3390/ma12182877
APA StyleXu, L., Qian, C., Ai, Y., Su, T., & Hou, X. (2019). Tunable Magnetocaloric Properties of Gd-Based Alloys by Adding Tb and Doping Fe Elements. Materials, 12(18), 2877. https://doi.org/10.3390/ma12182877
