Next Article in Journal
Improvement of the Physical Properties of Guided Bone Regeneration Membrane from Porcine Pericardium by Polyphenols-Rich Pomace Extract
Next Article in Special Issue
Exploring the Critical Thickness of Organic Semiconductor Layer for Enhanced Piezoresistive Sensitivity in Field-Effect Transistor Sensors
Previous Article in Journal
Viscosity and Structure of a CaO-SiO2-FeO-MgO System during a Modified Process from Nickel Slag by CaO
 
 
Font Type:
Arial Georgia Verdana
Font Size:
Aa Aa Aa
Line Spacing:
Column Width:
Background:
Article

One-Volt, Solution-Processed Organic Transistors with Self-Assembled Monolayer-Ta2O5 Gate Dielectrics

1
School of Electrical and Electronic Engineering, University of Manchester, Sackville Street, Manchester M13 9PL, UK
2
School of Chemistry, University of Manchester, Oxford Road, Manchester M13 9PL, UK
3
School of Physics, Indian Institute of Science Education and Research, Thiruvananthapuram, Kerala 695551, India
*
Author to whom correspondence should be addressed.
Materials 2019, 12(16), 2563; https://doi.org/10.3390/ma12162563
Submission received: 11 July 2019 / Revised: 7 August 2019 / Accepted: 8 August 2019 / Published: 12 August 2019
(This article belongs to the Special Issue Organic Transistors: Current Status and Opportunities)

Abstract

Low-voltage, solution-processed organic thin-film transistors (OTFTs) have tremendous potential to be key components in low-cost, flexible and large-area electronics. However, for these devices to operate at low voltage, robust and high capacitance gate dielectrics are urgently needed. Herein, the fabrication of OTFTs that operate at 1 V is reported. These devices comprise a solution-processed, self-assembled monolayer (SAM) modified tantalum pentoxide (Ta2O5) as the gate dielectric. The morphology and dielectric properties of the anodized Ta2O5 films with and without n-octadecyltrichlorosilane (OTS) SAM treatment have been studied. The thickness of the Ta2O5 film was optimized by varying the anodization voltage. The results show that organic TFTs gated with OTS-modified tantalum pentoxide anodized at 3 V (d ~7 nm) exhibit the best performance. The devices operate at 1 V with a saturation field-effect mobility larger than 0.2 cm2 V−1 s−1, threshold voltage −0.55 V, subthreshold swing 120 mV/dec, and current on/off ratio in excess of 5 × 103. As a result, the demonstrated OTFTs display a promising performance for applications in low-voltage, portable electronics.

1. Introduction

Organic thin-film transistors (OTFTs) have been attracting interest owing to their developing applications in low-cost, light-weight, and flexible electronic devices such as active-matrix displays [1], radio frequency identification tags [2], and bio and chemical sensors [3]. Over the years, progress in semiconducting materials and fabrication techniques has dramatically increased the charge mobility in these devices to well above 1 cm2 V−1 s−1 [4,5]. However, in general, these devices operate with relatively high gate voltages (VG ≥ 3 V) which hinders their integration in low-voltage, portable applications [6]. In order to enable organic TFTs that operate below 3 V and deliver high output current, the use of ultra-thin, high dielectric constant (high-κ) materials such as HfO2, Ta2O5, TiO2, ZrO2, Al2O3, Y2O3, CeO2 [7,8,9] is required. In particular, tantalum pentoxide (Ta2O5) is a very promising candidate due to the high dielectric constant in the bulk (κbulk ~27) and as a thin-film (κthin-film ~20). These values are at least two times larger than that of Al2O3bulk ~9) [10] and five times larger than that of SiO2bulk ~3.9). As a result, Ta2O5 has been abundantly used in electrolytic capacitors, DRAM devices, and recently in solution-processed inorganic semiconductor thin-film transistors as a promising gate dielectric for low-power electronics [11].
A common way to deposit a high-quality, pinhole-free film of tantalum oxide is by atomic layer deposition (ALD). However, ALD is a relatively slow process and requires a high vacuum which is not suitable for low-cost, large-area deposition [12]. Alternatively, magnetron sputtering deposition (MSD) has been used to form tantalum oxide films [13]. However, it is a time-consuming, high vacuum technique which suffers from the same drawbacks as ALD. Recently, anodic oxidation (so-called anodization) has attracted a lot of attention because it is a low-cost, solution-based deposition process that can be performed under ambient conditions [14]. Anodization is a self-limiting and self-healing process that gives pinhole-free, homogenous oxide layers that can be grown in an ambient atmosphere at room temperature. Previously, low voltage poly(3-hexylthiophene-2,5-diyl) (P3HT) TFTs operating at 3 V using thick (d > 100 nm), e-beam deposited tantalum oxide films have been reported [15]. However, the demonstrated p-channel transistors displayed relatively low mobility (~0.02 cm2 V−1 s−1), positive threshold voltage (+0.26 V), large subthreshold swing (> 1 V/dec), and their on/off current ratios were just above 10. This shows that the fabrication of high performance, organic semiconductor TFTs that can be operated at or below 1 V is not trivial.
To operate OTFTs with gate voltages (VG) ≤ 1 V, low values of threshold voltage (VTH) and subthreshold swing (SS) are essential. Ideally, VTH should be around 0 V and SS close to 60 mV/dec, which is the theoretical limit of subthreshold swing at room temperature [16]. This is a very challenging task, as it requires the gate dielectric thickness of high-κ materials to be reduced below 10 nm. Such thin insulator layers result in very high leakage currents, especially in Ta2O5 which has a comparatively small band gap (4.5 eV) when compared with other metal oxide dielectrics such as ZrO2, (7.8 eV) or Al2O3 (8.9 eV). In addition, as in the case of other dielectric metal oxides, the surface hydroxyl (–OH) groups on the surface of tantalum oxide tend to create a large number of insulator/semiconductor interfacial traps which consequently imposes detrimental effects on TFT performance [17]. An effective method to passivate thin layers of metal oxide dielectrics in thin-film transistors is by making the surface considerably less polar via salinization. In this process, organofunctional silane molecules react with surface hydroxyl end groups to form a self-assembled monolayer (SAM). n-octadecyltrichlorosilane (OTS) is a silane derived SAM that is conventionally used for metal oxide surface modification. It has been shown that OTS significantly improves dielectric/semiconductor interface in organic TFTs that leads to the reduction of charge carrier traps, and in consequence, to higher charge carrier mobility [18]. Although OTS improves the electrical performance of OTFTs, there is a trade-off as the OTS-modified dielectric is thicker, and hence has a smaller capacitance. Therefore, to optimise the performance of organic transistors, different dielectric thicknesses of Ta2O5 should be considered.
In this paper, we fabricate and study tantalum oxide capacitors to find the optimum thickness of Ta2O5 for thin-film transistor applications. Then, we fabricate organic TFTs using solution-processed, ultra-thin (~7 nm) OTS-treated Ta2O5 as the gate dielectric and DPPDTT-PMMA blend as the active layer, respectively. The optimized transistors exhibit highly reproducible characteristics with virtually no hysteresis, a saturation field-effect mobility μsat = 0.22 cm2 V−1 s−1, threshold voltage VTH = −0.55 V, subthreshold swing SS = 120 mV/dec, Ion/Ioff ratio > 5 × 103, and leakage current (IG) of approximately 1 nA at 1 V. The fabricated devices show typical p-channel transistor behaviour, demonstrating a high potential to use the developed process for practical organic TFT fabrication.

2. Experimental Section

To optimise the dielectric performance of Ta2O5 and Ta2O5/OTS films, metal-insulator-metal (MIM) capacitors were fabricated. First, a 100 nm of Ta layer was deposited through a shadow mask by radio frequency (r.f.) magnetron sputtering to serve as the gate electrode. Sputtering was achieved by using a 2-inch diameter Ta target (99.99%) in Ar with a total pressure of 0.5 Pa. Next, samples were anodized in 1 mM of citric acid (≥ 99.5%, Sigma-Aldrich, St. Louis, MO, USA) using 99.99% pure Au wire as the cathode electrode as shown in Figure 1a. To form tantalum oxide films of various thicknesses, anodization voltages (VA) of 40, 30, 20, 10, 5 and 3 V with constant current density (0.01 mA/cm2) were applied to the anode by Keithley 2400 Source Meter. The process was continued until the ionic current density dropped to 0.005 mA/cm2. The variation of anodization voltage and current vs. time is depicted in Figure 1b. Based on the anodization ratio of Ta reported in the literature [19] ([c]Ta = 2.2 nm/V), a 3 V anodized Ta should result in an approximately ~6.6 nm thick Ta2O5 layer. Some of the as-prepared Ta/Ta2O5 substrates were treated with O2 plasma for 2 minutes and then immersed in a freshly prepared 1 mM solution of OTS in anhydrous toluene at room temperature for 30 minutes. Afterwards, the substrates were removed from the solution and rinsed thoroughly and without interruption with pure toluene in order to get rid of the excess of unreacted OTS. The treated substrates were thereafter annealed on a hot plate at 120 °C for 1 h under a flow of dry N2. To obtain MIM capacitors, 50 nm thick Au electrodes were deposited onto the prepared Ta/Ta2O5 and Ta/Ta2O5/OTS films. The electrical characterization of the fabricated capacitors was carried out using an Agilent E4980A LCR meter. For the duration of the measurements, 1 V bias was applied to the bottom Ta electrode and the top Au electrode was grounded. Organic TFTs were fabricated in the bottom gate, top contact structure on an ultra-flat, quartz-coated glass substrate (S151, Ossila, Sheffield, UK). Poly(3,6-di(2-thien-5-yl)-2,5-di (2-octyldodecyl)-pyrrolo [3,4-c] pyrrole-1,4-dione) thieno [3,2-b] thiophene) (DPPDTT) and poly(methyl methacrylate) (PMMA) and their blend solutions were prepared according to the procedures reported elsewhere [20]. In short, the DPPDTT-PMMA blend solution was prepared by separately dissolving 0.5 wt% DPPDTT and 0.5 wt% of PMMA in 1,2-dichlorobenzene (DCB) and subsequently mixed in a 7:3 ratio. Afterwards, the blend was stirred until completely mixed. The blend was then spin-coated at 2000 rpm for 2 min on substrates pre-heated at 100 °C. Subsequently, the deposited films were annealed at 100 °C for 30 min to 1 h under N2 flow. Finally, a 100 nm thick layer of 99.99% Au was thermally evaporated through shadow masks to serve as a source and drain electrodes.
The channel width (W) and length (L) were 1 mm and 30 μm, respectively. The electrical characterization of the fabricated OTFTs was carried out using an Agilent E5270B semiconductor analyser (Santa Clara, CA, USA) and E4980A LCR meter (Keysight, Santa Rosa, CA, USA) at room temperature. The field-effect mobility is calculated by applying a linear fit to ID1/2 vs VG in the saturation regime using Equation (1):
I D = ( C i W μ SAT 2 L ) ( V G V T ) 2
where VG is the gate voltage, VT is the threshold voltage, Ci is the gate capacitance density, μ S A T is saturation field-effect mobility, and W and L are channel width and length, respectively. All electrical measurements were done in ambient conditions in an electrically shielded, dark box.

3. Results and Discussions

The presence of anodized tantalum oxide films was confirmed by X-ray photoelectron spectroscopy (XPS, Axis Ultra Hybrid, Kratos Analytical, Manchester, UK). A thick, i.e., thicker than the sampling depth of XPS, oxide was observed on the anodized region of the samples (see Figure 2a and Figures S1–S3 in the Supplementary Materials). By analysing the area of the Ta 4f and O 1s peaks, the Ta and O ratio was found to be nearly 2:5 confirming that tantalum pentoxide (Ta2O5) was successfully prepared through anodization. Also, as shown in Figure 2a, the normalized O 1s peak fit indicates that the oxide formation on the anodized regions is consistent with the peak fitting analysis of the Ta 4f regions. To investigate the surface morphology of the anodized Ta2O5, atomic force microscope (AFM, Multimode, Bruker UK, Coventry, UK) images of the fabricated films have been taken. Figure 2b,c show surface topography of both untreated and OTS-treated Ta2O5 films, respectively. The RMS roughness of untreated Ta2O5 film is 2.5 nm and the OTS-treated Ta2O5 1.3 nm. The tantalum oxide grown by anodization appears to be homogenous, uniform and fairly smooth. However, a more detailed AFM topographical analysis shows that OTS surface modification has made the oxide surface somewhat smoother when compared with as-prepared Ta2O5 films.
Figure 3 illustrates capacitance density, dielectric loss, leakage current and capacitance-voltage curves of anodized Ta2O5 films that were obtained at different anodization voltages, i.e., 40, 30, 20, 10, 5 and 3 V. In order to verify the measured values and test the devices’ fabrication reproducibility, all measurements were carried out on 20 randomly chosen devices out of the 100 different capacitors with Ta/Ta2O5/Au structure (cf. inset of Figure 3a). Figure 3 shows the response of one typical device out of the 20 studied devices. Figure 3a depicts the capacitance density vs. frequency from 100 Hz to 100 kHz for the corresponding anodization voltages. As can be seen, for the dielectric thicknesses greater than ~22 nm (VA = 10 V), capacitance density is relatively constant across the studied frequency range. As the Ta2O5 thickness decreases, it appears that the capacitors become unstable at both ends of the chosen frequency spectrum. Capacitors fabricated with Ta2O5 anodized at 40, 30, and 20 V exhibited an average capacitance density of 380, 450, and 700 nF/cm2 at 1 kHz, respectively. The maximum standard deviation of the measured capacitance values for these capacitors was ±20 nF/cm2.
On the other hand, the capacitors with anodic Ta2O5 prepared at 10, 5 and 3 V show much higher capacitances but also significantly higher leakage currents and dielectric losses, especially for VA ≤ 5 V. As a result, we conclude that the pristine Ta2O5 films anodized at or below 10 V (d ~ 22 nm) are unsuitable for practical applications. Correspondingly, the dissipation factor (DF) measured on capacitors using Ta2O5 anodized at various voltages is depicted in Figure 3b. For the simplest actual model, i.e., equivalent series resistance in series with the capacitance that neglects equivalent series inductance and insulation resistance, DF is the ratio of equivalent series resistance (ESR) and capacitive reactance (Xc), as written in Equation (2) [21]:
DF = ESR X c
Ideally, for a given capacitor DF should be zero, but practically it consists of a negligible loss due to resistive characteristics. As shown in Figure 3b, the capacitors with 40, 30, and 20 V anodized Ta2O5 display a minimal DF that is close to zero. However, as the anodization voltage decreases below 20 V, DF becomes larger and the leakage currents through the anodic dielectric layer start to be appreciable (cf. Figure 3b,c). Accordingly, as the Ta2O5 dielectric thickness decreases even further (VA = 5 and 3 V) the leakage current through the dielectric becomes very large. In particular, capacitors with the thinnest anodic Ta2O5, i.e., anodized at 3 V, exhibit the largest leakage current density (JL) 10−3 A/cm2 at 1 V. The same electronic behaviour of the anodized Ta2O5 can also be seen in the C–V characteristics of the corresponding capacitors shown in Figure 3d, where high leakage currents reduce the voltage across the capacitors resulting in a lower electric field and lower capacitance at the positive end of the C–V curves. This is in contradiction with an ideal case, where a capacitor shows a flat capacitance-voltage characteristic which guarantees reliable and stable device performance. Nevertheless, thicker layers of Ta2O5 show flat and stable electrical behaviour across the chosen voltage characterization range. Based on the abovementioned dielectric characteristics, it appears that the minimum anodization voltage of tantalum for capacitor and TFT applications is 20 V, which corresponds to approximately 45 nm of Ta2O5. Indeed, the JL for capacitors with 45 nm Ta2O5 layers is well below the maximum allowable value for TFT leakage current density (i.e., 10−6 A/cm2) and is measured to be 10−7 A/cm2 at 1 V.
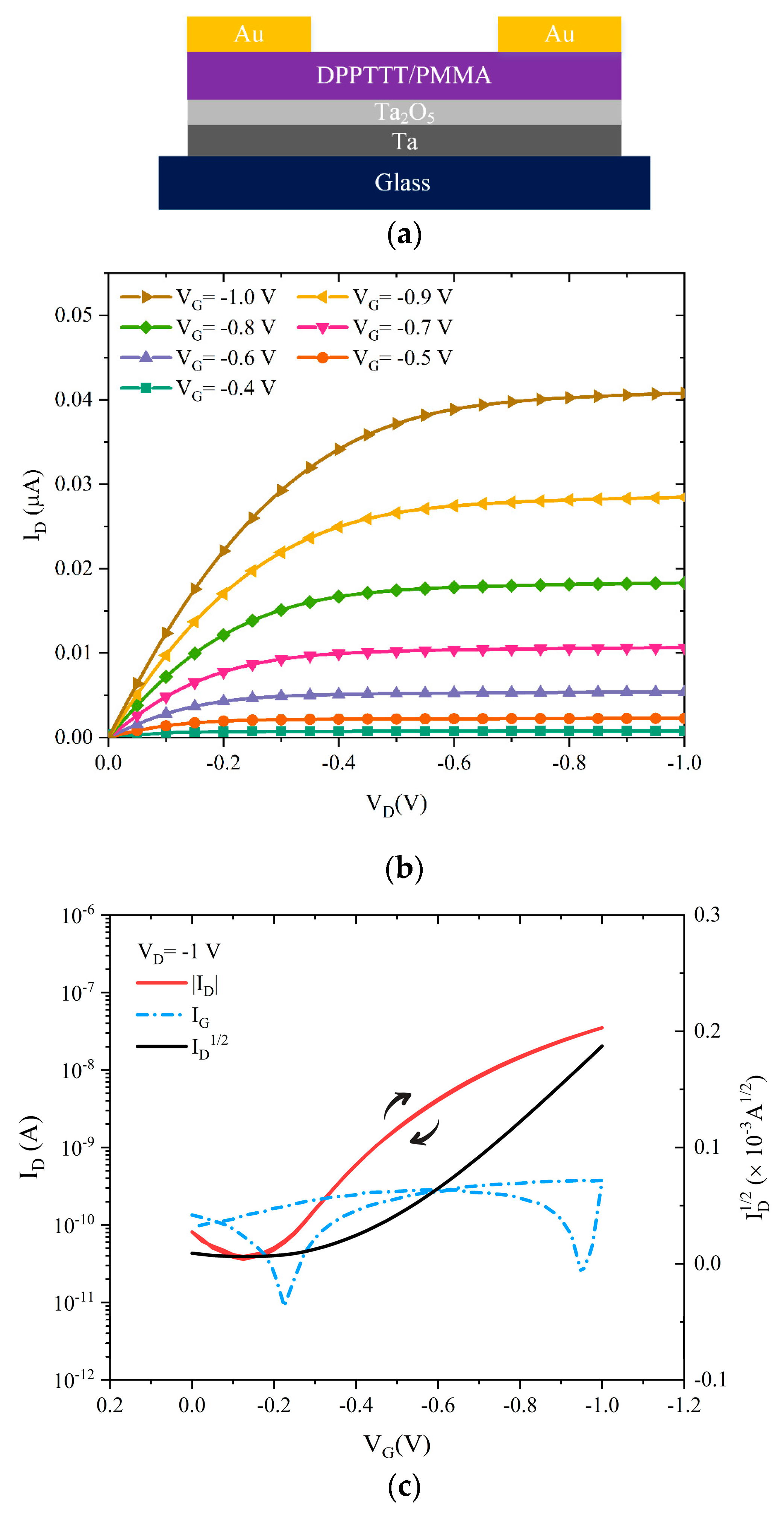
Figure 4a shows the structure of the fabricated bottom-gate, top-contact Ta/(45 nm Ta2O5)/DPPDTT-PMMA/Au TFTs on a glass substrate (VA = 20 V). Typical output and transfer characteristics of the fabricated transistors are shown in Figure 4b, c, respectively. As can be seen in Figure 4b, the drain current displays clear linear, pinch-off and saturation regions for all applied gate voltages.
The devices operate at 1 V with a saturation field-effect mobility of 0.02 cm2 V−1 s−1, threshold voltage −0.35 V, subthreshold swing 210 mV/dec, and current on/off ratio ~103. This transistor performance is comparable to the previously reported organic TFTs that used SAM-modified, anodized Al2O3 [22].
To see if the dielectric SAM modification strategy also results in improved transistor characteristics of the TFTs with anodized Ta2O5, DPPDTT-PMMA TFTs with OTS-modified tantalum pentoxide have been fabricated. OTS is one of the most used SAMs in organic transistors. It has been shown that OTS significantly improves dielectric/semiconductor interface by passivating the gate insulator surface that leads to the reduction of charge carrier traps, and as result, to higher charge carrier mobility [23,24]. During silanization, OTS molecules are attached to the dielectric surface through the chemical reaction of –SiCl with –OH groups on the metal oxide surface. This results in –Si–O–M structures. The other two –SiCl bonds of the OTS molecule react with proximate OTS molecules which forms a cross-linked monolayer. The OTS-treatment of the Ta2O5 layer inevitably results in a thicker overall dielectric layer, and hence decreases the overall areal capacitance of the dielectric film. The anodized Ta2O5 layer should be thin enough to provide the minimum required capacitance and leakage to operate the OTFTs at low voltage. Taking into account that the Ta native oxide thickness is about 3.5 nm [25], it is believed that to suppress the effect of the native oxide on the dielectric properties of Ta2O5 the thickness of the anodized Ta should be at least 3.5 nm thick. As shown in Figure 3a,c, an untreated Ta2O5 layer anodized at 3 V (d ~7 nm) exhibits a large enough areal capacitance to be able to operate DPPDTT-PMMA TFTs at 1 V. However, the very high leakage current density of these thin layers would lead to poor field-effect transistor characteristics if used as prepared.
Figure 5a–d compare the dielectric properties of 3 V anodized untreated Ta2O5 and OTS-treated Ta2O5 films. As can be observed in Figure 5a, the capacitance density of OTS-treated Ta2O5 is notably reduced from 2700 nF/cm2 for bare Ta2O5 film to approximately 680 nF/cm2. This is due to the addition of the OTS layer which leads to a thicker dielectric film and correspondingly smaller overall capacitance density because of two dielectric layers in series. Nonetheless, capacitance density curves for OTS-treated Ta2O5 are highly stable over a wide range of frequencies. The dielectric loss (Figure 5b) for OTS-treated Ta2O5 shows negligible variation (less than 0.1) confirming a low defect density in the OTS-treated Ta2O5 films. As shown in Figure 5c, leakage current density for OTS-treated Ta2O5 is approximately 2 × 10−7A/cm2 at ±1 V; this is reduced by circa five orders of magnitude at −1 V and circa one order of magnitude at +1 V when compared to films of untreated Ta2O5 of comparable thickness. The leakage current of the OTS-treated Ta2O5 is somewhat asymmetric and slightly lower for negative voltages. This is very likely caused by the use of electrodes with different work functions and differences in the roughness of the Ta/Ta2O5 and Ta2O5/OTS interfaces [26]. In addition, as illustrated in Figure 5d, in contrast to untreated Ta2O5, OTS surface modification has improved the stability of the capacitance density over the studied voltage range (−1 V to 1 V) and led to almost ideally flat C–V curves.
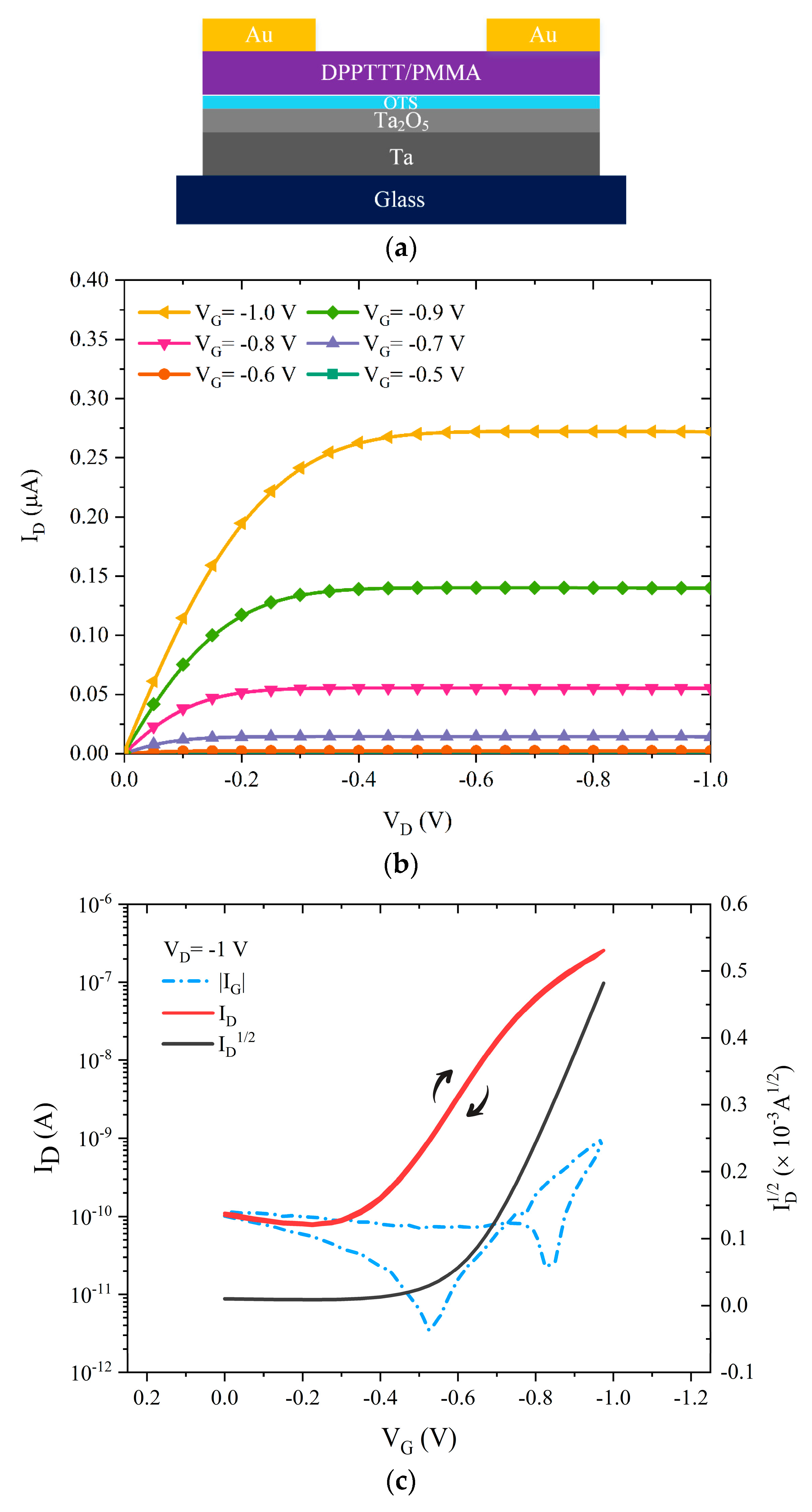
To test if the optimized, OTS-modified Ta2O5 layers result in well-working 1 V devices, glass/Ta/(7 nm Ta2O5)/OTS/DPPDTT-PMMA/Au OTFTs have been fabricated (VA = 3 V). Typical output and transfer characteristics of the fabricated transistors are shown in Figure 6b,c, respectively. The optimized devices operate at 1 V with virtually no hysteresis, the saturation field-effect mobility is 0.22 cm2 V−1 s−1, the threshold voltage −0.55 V, subthreshold swing 120 mV/dec, and the current on/off ratio is in excess of 5 × 103. Additionally, the leakage current at −1 V is measured to be less than 1 nA at all applied biases. The calculated field-effect mobility for these devices is > 0.2 cm2 V−1 s−1, ten times larger than the analogous DPPDTT-PMMA TFTs fabricated on bare Ta2O5. It is believed that charge carrier mobility in TFTs is directly affected by the interfacial trap density [27]. Trap density in thin-film transistors can be calculated using Equation (3):
N i t = ( S S log ( e ) k T / q ) C G q
where CG is the gate capacitance density, q is the electron charge, k is the Boltzmann’s constant, T is the temperature, and SS is subthreshold swing. Nit is calculated to be 1.09 × 1013 cm−2 and 4.2 × 1012 cm−2 for OTFTs using 20 V, untreated Ta2O5 and 3 V, OTS-treated Ta2O5, respectively. The reduction of trap density confirms that the OTS layers shield the active layer from traps at the anodic Ta2O5/DPPDTT-PMMA interface. Table 1 compares the key figures-of-merit of the 1 V OTFTs fabricated in this work in comparison with one-volt organic TFTs we reported previously [22,28,29]. As can be seen, the gate capacitance density of the developed OTS-treated Ta2O5 dielectric layer used here is significantly higher. Importantly, other transistor parameters are comparable or indeed better than the parameters of the state-of-the-art organic TFTs reported to date [30,31,32]. As a result, the demonstrated organic transistors are promising candidates for use in low-voltage, portable electronics.

4. Conclusions

In conclusion, solution-processed, low threshold voltage organic thin-film transistors that can be operated at 1 V have been demonstrated. The low operational voltage was achieved by using extremely thin (7 nm), anodized Ta2O5 films that were modified by the application of an OTS SAM. The optimized DPPDTT-PMMA TFTs display threshold voltages around −0.55 V, low subthreshold slopes 120 mV/dec, operate with negligible hysteresis and possess average saturated field-effect mobility in excess of 0.2 cm2 V−1 s−1 at 1 V. This approach has a high potential to enable the design of stable, ultra-low voltage organic semiconductor circuitry in a highly reproducible manner.

Supplementary Materials

The following are available online at https://www.mdpi.com/1996-1944/12/16/2563/s1, Figure S1: Normalized peak fitted Ta 4d spectra for both control and anodized regions of the sample showing only Ta oxide in the anodized region relative to a metal/oxide mixture in the control region. Figure S2: Normalized O 1s spectra for both control and anodized regions. Figure S3: Normalized Ta 4f spectra for both control and anodized regions.

Author Contributions

conceptualization, N.M., S.S., B.C.D. and L.A.M.; methodology, N.M., S.S., B.C.D. and L.A.M.; validation, N.M. and S.F.; formal analysis, N.M., S.F. and L.A.M.; resources, M.L.T. and L.A.M.; writing—original draft preparation, N.M. and S.F.; writing—review and editing, N.M., S.F., S.S., B.C.D., M.L.T. and L.A.M.; visualization, N.M.; supervision, S.F., M.L.T. and L.A.M.; funding acquisition, B.C.D., M.L.T. and L.A.M.

Funding

The authors thank the EPSRC (CIMLAE, EP/K03099X/1), the Newton Fund (GraphClean) and UGC-UKIERI (2017/18-015 and 184-15/2018(IC)) for financial support.

Acknowledgments

We would like to thank Alex Walton from the School of Chemistry at the University of Manchester who obtained and helped analyse the X-ray photoelectron spectra (XPS).

Conflicts of Interest

The authors declare no conflict of interest.

References

  1. Kunii, M.; Iino, H.; Hanna, J.I. Solution-processed, low-voltage polycrystalline organic field-effect transistor fabricated using highly ordered liquid crystal with low-k gate dielectric. IEEE Electron. Device Lett. 2016, 37, 486–488. [Google Scholar] [CrossRef]
  2. Tinivella, R.; Camarchia, V.; Pirola, M.; Shen, S.; Ghione, G. Simulation and design of OFET RFIDs through an analog/digital physics-based library. Org. Electron. Phys. Mater. Appl. 2011, 12, 1328–1335. [Google Scholar]
  3. Viola, F.A.; Spanu, A.; Ricci, P.C.; Bonfiglio, A.; Cosseddu, P. Ultrathin, flexible and multimodal tactile sensors based on organic field-effect transistors. Sci. Rep. 2018, 8, 1–8. [Google Scholar] [CrossRef] [PubMed]
  4. With, T.; Lu, H. High-Performance Amorphous InGaZnO Thin-Film. IEEE Trans. Electron. Devices 2015, 62, 1659–1662. [Google Scholar]
  5. Lee, J.S.; Chang, S.; Koo, S.; Lee, S.Y. High-Performance a-IGZO TFT with ZrO2 Gate Dielectric Fabricated at Room Temperature. IEEE Electron. Device Lett. 2010, 31, 225–227. [Google Scholar]
  6. Xu, W.; Rhee, S.W. Low-operating voltage organic field-effect transistors with high-k cross-linked cyanoethylated pullulan polymer gate dielectrics. J. Mater. Chem. 2009, 19, 5250–5257. [Google Scholar] [CrossRef]
  7. Chen, H.-W.; Lee, J.-H.; Lin, B.-Y.; Chen, S.; Wu, S.-T. Liquid crystal display and organic light-emitting diode display: Present status and future perspectives. Light Sci. Appl. 2018, 7, 17168. [Google Scholar] [CrossRef]
  8. Cai, W.; Park, S.; Zhang, J.; Wilson, J.; Li, Y.; Xin, Q. One-Volt IGZO Thin-Film Transistors with AlxOy Gate Dielectric. IEEE Electron. Device Lett. 2018, 39, 375–378. [Google Scholar] [CrossRef]
  9. Wedig, A.; Luebben, M.; Cho, D.Y.; Moors, M.; Skaja, K.; Rana, V.; Hasegawa, T.; Adepalli, K.K.; Yildiz, B.; Waser, R.; et al. Nanoscale cation motion in TaOx, HfOx and TiOx memristive systems. Nat. Nanotechnol. 2016, 11, 67–74. [Google Scholar] [CrossRef]
  10. Cai, W.; Wilson, J.; Zhang, J.; Park, S.; Majewski, L.; Song, A. Low-voltage, flexible InGaZnO thin-film transistors gated with solution-processed, ultra-thin AlxOy. IEEE Electron. Device Lett. 2019, 40, 36–39. [Google Scholar] [CrossRef]
  11. Heo, J.; Park, S.Y.; Kim, J.W.; Song, S.; Yoon, Y.J.; Jeong, J.; Jang, H.; Lee, K.T.; Seo, J.H.; Walker, B.; et al. Implementation of Low-Power Electronic Devices Using Solution-Processed Tantalum Pentoxide Dielectric. Adv. Funct. Mater. 2018, 28, 1–8. [Google Scholar] [CrossRef]
  12. Song, S.J.; Park, T.; Yoon, K.J.; Yoon, J.H.; Kwon, D.E.; Noh, W.; Lansalot-Matras, C.; Gatineau, S.; Lee, H.K.; Gautam, S.; et al. Comparison of the atomic layer deposition of tantalum oxide thin films using Ta(NtBu)(NEt2)3, Ta(NtBu)(NEt2)2Cp, and H2O. ACS Appl. Mater. Interfaces 2017, 9, 537–547. [Google Scholar] [CrossRef] [PubMed]
  13. Qian, L.X.; Liu, X.Z.; Han, C.Y.; Lai, P.T. IImproved performance of amorphous InGaZnO thin-film transistor with Ta2O5gate dielectric by using la incorporation. IEEE Trans. Device Mater. Reliab. 2014, 14, 1056–1060. [Google Scholar] [CrossRef]
  14. Momeni, M.M.; Mirhosseini, M.; Chavoshi, M. Fabrication of Ta2O5 nanostructure films via electrochemical anodisation of tantalum. Surf. Eng. 2015, 33, 83–89. [Google Scholar] [CrossRef]
  15. Bartic, C.; Jansen, H.; Campitelli, A.; Borghs, S. Ta2O5 as gate dielectric material for low-voltage organic thin-film transistors. Org. Electron. Phys. Mater. Appl. 2002, 3, 65–72. [Google Scholar] [CrossRef]
  16. Zhirnov, V.V.; Cavin, R.K. Negative capacitance to the rescue? Nat. Nanotechnol. 2008, 3, 77. [Google Scholar] [CrossRef]
  17. Bae, J.H.; Choi, Y. Engineered interface using a hydroxyl group-free polymeric buffer layer onto a TiO2 nanocomposite film for improving the electrical properties in a low-voltage operated organic transistor. Surf. Interface Anal. 2012, 44, 445–449. [Google Scholar] [CrossRef]
  18. Kang, S.J.; Yi, Y.; Kim, C.Y.; Whang, C.N. Analysis of octadecyltrichlorosilane treatment of organic thin-film transistors using soft x-ray fluorescence spectroscopy. Appl. Phys. Lett. 2005, 86, 232103. [Google Scholar] [CrossRef]
  19. Kim, Y.-H.; Uosaki, K. Preparation of Tantalum Anodic Oxide Film in Citric Acid Solution-Evidence and Effects of Citrate Anion Incorporation. J. Electrochem. Sci. Technol. 2014, 4, 163–170. [Google Scholar] [CrossRef]
  20. Li, J.; Zhao, Y.; Tan, H.S.; Guo, Y.; Di, C.A.; Yu, G.; Liu, Y.; Lin, M.; Lim, S.H.; Zhou, Y.; et al. A stable solution-processed polymer semiconductor with record high-mobility for printed transistors. Sci. Rep. 2012, 2, 1–9. [Google Scholar] [CrossRef]
  21. Williams, B.W. Power Electronics: Devices, Drivers, Applications and Passive Component, 2nd ed.; Palgrave: Basingstoke, UK, 1992. [Google Scholar]
  22. Urasinska-Wojcik, B.; Cocherel, N.; Wilson, R.; Burroughes, J.; Opoku, J.; Turner, M.L.; Majewski, L.A. 1 Volt organic transistors with mixed self-assembled monolayer-Al2O3 gate dielectrics. Org. Electron. 2015, 26, 20–24. [Google Scholar] [CrossRef]
  23. Ikawa, M.; Yamada, T.; Matsui, H.; Minemawari, H.; Tsutsumi, J.; Horii, Y.; Chikamatsu, M.; Azumi, R.; Kumai, R.; Hasegawa, T. Simple push coating of polymer thin-film transistors. Nat. Commun. 2012, 3, 1–8. [Google Scholar] [CrossRef] [PubMed]
  24. Kim, Y.; Lee, E.K.; Oh, J.H. Flexible Low-Power Operative Organic Source-Gated Transistors. Adv. Funct. Mater. 2019, 1900650, 1–12. [Google Scholar] [CrossRef]
  25. Randall, J.J. The effect of phosphorus incorporation on the dielectric constant and ionic conductivity of anodic tantalum oxide. Electrochim. Acta 1975, 20, 663–667. [Google Scholar] [CrossRef]
  26. Lau, W.S.; Yu, D.Q.; Wang, X.; Wong, H.; Xu, Y. Mechanism of I-V asymmetry of MIM capacitors based on high-k dielectric. In Proceedings of the 2015 China Semiconductor Technology International Conference, Shanghai, China, 18–19 March 2015. [Google Scholar]
  27. Wang, W.; Shi, X.; Li, X.; Zhang, Y. Improved Electrical Properties of Pentacene MIS Capacitor with OTS Modified Ta2O5 Dielectric. IEEE Electron. Device Lett. 2016, 37, 1332–1335. [Google Scholar] [CrossRef]
  28. Faraji, S.; Hashimoto, T.; Turner, M.L.; Majewski, L.A. Solution-processed nanocomposite dielectrics for low voltage operated OFETs. Org. Electron. 2015, 17, 178–183. [Google Scholar] [CrossRef]
  29. Faraji, S.; Danesh, E.; Tate, D.J.; Turner, M.L.; Majewski, L.A. Cyanoethyl cellulose-based nanocomposite dielectric for low-voltage, solution-processed organic field-effect transistors (OFETs). J. Phys. D Appl. Phys. 2016, 49, 185102. [Google Scholar] [CrossRef]
  30. Guo, X.; Feng, L.; Cui, Q.; Xu, X. Low Voltage Organic/Inorganic Hybrid Complementary Inverter with Low Temperature All Solution Processed Semiconductor and Dielectric Layers. IEEE Electron. Device Lett. 2014, 35, 542–544. [Google Scholar]
  31. Tang, W.; Li, J.; Zhao, J.; Zhang, W.; Yan, F.; Guo, X. High-performance solution-processed low-voltage polymer thin-film transistors with low-k/High-k bilayer gate dielectric. IEEE Electron. Device Lett. 2015, 36, 950–952. [Google Scholar] [CrossRef]
  32. Feng, L.; Cui, Q.; Zhao, J.; Tang, W.; Guo, X. Dual-Vth low-voltage solution processed organic thin-film transistors with a thick polymer dielectric layer. IEEE Trans. Electron. Devices 2014, 61, 2220–2223. [Google Scholar] [CrossRef]
Figure 1. (a) Schematic representation of the anodic oxidation process. (b) Anodization voltage (VA) and current (IA) vs. time (t) for the 3 V case study of Ta anodization.
Figure 1. (a) Schematic representation of the anodic oxidation process. (b) Anodization voltage (VA) and current (IA) vs. time (t) for the 3 V case study of Ta anodization.
Materials 12 02563 g001
Figure 2. (a) Ta 4f and O 1s XPS spectra of the fabricated Ta2O5 films. (b) AFM topography image of untreated Ta2O5 and (c) OTS-treated Ta2O5 films, respectively.
Figure 2. (a) Ta 4f and O 1s XPS spectra of the fabricated Ta2O5 films. (b) AFM topography image of untreated Ta2O5 and (c) OTS-treated Ta2O5 films, respectively.
Materials 12 02563 g002
Figure 3. (a) Capacitance density and (b) dissipation factor vs. frequency, as well as (c) leakage current density and (d) capacitance density vs. voltage characteristics of the studied Ta/Ta2O5/Au capacitors.
Figure 3. (a) Capacitance density and (b) dissipation factor vs. frequency, as well as (c) leakage current density and (d) capacitance density vs. voltage characteristics of the studied Ta/Ta2O5/Au capacitors.
Materials 12 02563 g003
Figure 4. (a) Schematic structure of the OTFTs using bare Ta2O5 anodized at VA = 20 V. (b) Output, and (c) transfer characteristics of the studied OTFTs including ID1/2 and IG vs. VG at VD = −1, respectively.
Figure 4. (a) Schematic structure of the OTFTs using bare Ta2O5 anodized at VA = 20 V. (b) Output, and (c) transfer characteristics of the studied OTFTs including ID1/2 and IG vs. VG at VD = −1, respectively.
Materials 12 02563 g004
Figure 5. (a) Capacitance density and (b) dissipation factor vs. frequency, as well as (c) leakage current density and (d) capacitance density vs. voltage characteristics of the 3 V anodized Ta/Ta2O5/Au capacitors with and without OTS treatment.
Figure 5. (a) Capacitance density and (b) dissipation factor vs. frequency, as well as (c) leakage current density and (d) capacitance density vs. voltage characteristics of the 3 V anodized Ta/Ta2O5/Au capacitors with and without OTS treatment.
Materials 12 02563 g005
Figure 6. (a) Schematic structure of the OTFTs using OTS-modified Ta2O5 anodized at VA = 3 V. (b) Output and (c) transfer characteristics of the fabricated OTFTs including ID, ID1/2 and IG vs. VG at VD = −1 V, respectively.
Figure 6. (a) Schematic structure of the OTFTs using OTS-modified Ta2O5 anodized at VA = 3 V. (b) Output and (c) transfer characteristics of the fabricated OTFTs including ID, ID1/2 and IG vs. VG at VD = −1 V, respectively.
Materials 12 02563 g006
Table 1. Comparison of the DPPDTT-PMMA OTFTs’ performance with their counterparts in the literature.
Table 1. Comparison of the DPPDTT-PMMA OTFTs’ performance with their counterparts in the literature.
Parameters20 V Untreated3 V OTS-Treated[22][28][29]
DielectricTa2O5Ta2O5ODTS/Al2O3BST-PBST-CEC/PVP
CG (nF/cm2)7006705509440
Mobility (cm2 V−1 s−1)0.020.220.10.140.3
VTH (V)−0.35−0.55−0.45−0.5−0.7
SS (V/dec)220120160221140
ON/OFF Ratio1035 × 103103103103
Operating voltage (V)−1−1−1−1−1.5

Share and Cite

MDPI and ACS Style

Mohammadian, N.; Faraji, S.; Sagar, S.; Das, B.C.; Turner, M.L.; Majewski, L.A. One-Volt, Solution-Processed Organic Transistors with Self-Assembled Monolayer-Ta2O5 Gate Dielectrics. Materials 2019, 12, 2563. https://doi.org/10.3390/ma12162563

AMA Style

Mohammadian N, Faraji S, Sagar S, Das BC, Turner ML, Majewski LA. One-Volt, Solution-Processed Organic Transistors with Self-Assembled Monolayer-Ta2O5 Gate Dielectrics. Materials. 2019; 12(16):2563. https://doi.org/10.3390/ma12162563

Chicago/Turabian Style

Mohammadian, Navid, Sheida Faraji, Srikrishna Sagar, Bikas C. Das, Michael L. Turner, and Leszek A. Majewski. 2019. "One-Volt, Solution-Processed Organic Transistors with Self-Assembled Monolayer-Ta2O5 Gate Dielectrics" Materials 12, no. 16: 2563. https://doi.org/10.3390/ma12162563

APA Style

Mohammadian, N., Faraji, S., Sagar, S., Das, B. C., Turner, M. L., & Majewski, L. A. (2019). One-Volt, Solution-Processed Organic Transistors with Self-Assembled Monolayer-Ta2O5 Gate Dielectrics. Materials, 12(16), 2563. https://doi.org/10.3390/ma12162563

Note that from the first issue of 2016, this journal uses article numbers instead of page numbers. See further details here.

Article Metrics

Back to TopTop