A Terahertz (THz) Single-Polarization-Single-Mode (SPSM) Photonic Crystal Fiber (PCF)
Abstract
1. Introduction
2. THz PCF Configuration
3. Working Mechanisms
3.1. Passive PCF
3.2. Active PCF
4. Parameter Study
4.1. Gain Factor ξ
4.2. ENZ Ring Thickness t
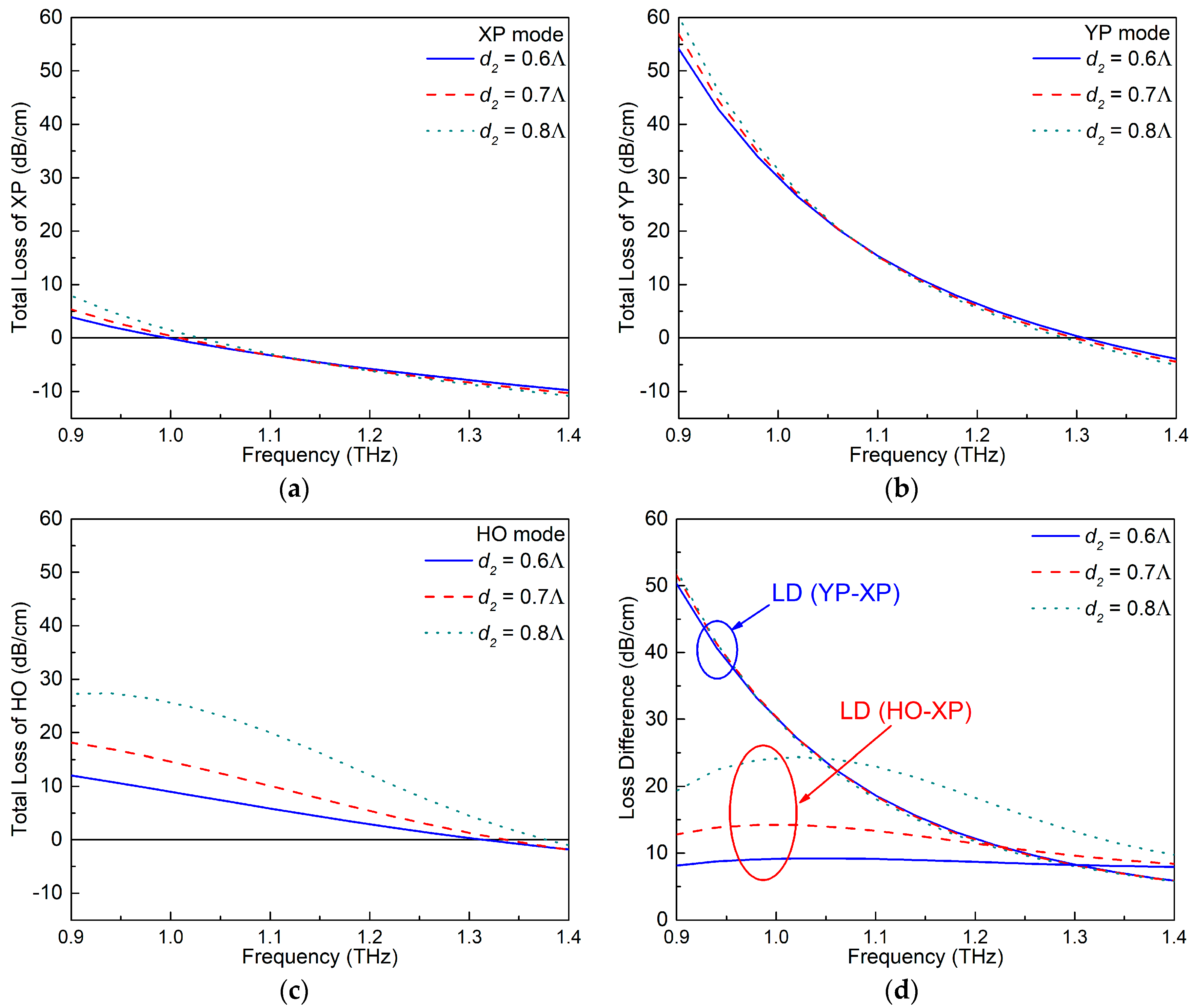
4.3. The Diameter d2 of the Air Holes Alongside the Gain Region
4.4. Optimized Results
4.5. Fabrication Issues
5. Conclusions
Author Contributions
Funding
Conflicts of Interest
References
- Russell, P. Photonic-crystal fibers. J. Light. Technol. 2006, 24, 4729–4749. [Google Scholar] [CrossRef]
- Hasanuzzaman, G.K.M.; Habib, M.S.; Razzak, S.M.A.; Hossain, M.A.; Namihira, Y. Low loss single-mode porous-core Kagome photonic crystal fiber for THz wave guidance. J. Light. Technol. 2015, 33, 4027–4031. [Google Scholar] [CrossRef]
- Aming, A.; Uthman, M.; Chitaree, R.; Mohammed, W.; Rahman, B.M.A. Design and characterization of porous core polarization maintaining photonic crystal fiber for THz guidance. J. Light. Technol. 2016, 34, 5583–5590. [Google Scholar] [CrossRef]
- Hassani, A.; Dupuis, A.; Skorobogatiy, M. Porous polymer fibers for low-loss terahertz guiding. Opt. Express 2008, 16, 6340–6351. [Google Scholar] [CrossRef] [PubMed]
- Atakaramians, S.; Vahid, S.A.; Ebendorff-Heidepriem, H.; Nagel, M.; Fischer, B.M.; Abbott, D.; Monro, T.M. THz porous fibers: Design, fabrication and experimental characterization. Opt. Express 2009, 17, 14053–14062. [Google Scholar] [CrossRef] [PubMed]
- Islam, R.; Habib, M.S.; Hasanuzzaman, G.K.M.; Rana, S.; Sadath, M.A. Novel porous fiber based on dual-asymmetry for low-loss polarization maintaining THz wave guidance. Opt. Lett. 2016, 41, 440–445. [Google Scholar] [CrossRef] [PubMed]
- Sharma, M.; Borogohain, N.; Konar, S. Index guiding photonic crystal fibers with large birefringence and walk-off. J. Light. Technol. 2013, 31, 3339–3344. [Google Scholar] [CrossRef]
- Huo, Y.; Wang, G.Z. Broadband tunable single-mode single-polarization fiber. Opt. Commun. 2015, 351, 91–95. [Google Scholar]
- Lu, D.; Liu, J. Broadband single-polarization single-mode operation in photonic crystal fibers with hexagonally latticed circular airholes. J. Light. Technol. 2016, 34, 2452–2458. [Google Scholar] [CrossRef]
- Lin, X.; Zheng, H.J.; Wu, C.Q.; Liu, S.L. A novel single-polarization single-mode photonic crystal fiber with circular and elliptical air-holes arrays. Opt. Lett. 2013, 9, 120–123. [Google Scholar]
- Zhong, Z.; Zhang, Z.; Tsuji, Y.; Eguchi, M. Study on crosstalk-free polarization splitter based on square lattice single-polarization photonic crystal fibers. J. Quantum Electron. 2016, 52, 7000107. [Google Scholar] [CrossRef]
- Shen, Y.; Wang, L.; Liao, M.; Liu, Y.; Yu, F.; Wu, D.; Bi, W.; Fang, Y.; Gao, W. A double-cladding single polarization photonic crystal fiber and its structure deviation tolerance. IEEE Photonics J. 2018, 10, 7204310. [Google Scholar] [CrossRef]
- Huo, Y.; Fan, F.; Zhang, H.; Wang, X.; Chang, S. Terahertz single-polarization single-mode hollow-core fiber based on index-matching coupling. IEEE Photonics Technol. Lett. 2012, 24, 637–639. [Google Scholar]
- Chen, H.; Wang, H.; Hou, H.; Chen, D. A terahertz single-polarization single-mode photonic crystal fiber with a rectangular array of micro-holes in the core region. Opt. Commun. 2012, 285, 3726–3729. [Google Scholar] [CrossRef]
- Yang, T.Y.; Ding, C.; Ziolkowski, R.W.; Guo, Y.J. Circular hole ENZ photonic crystal fibers exhibit high birefringence. Opt. Express 2018, 26, 17264–17268. [Google Scholar] [CrossRef]
- Monfared, Y.E.; Liang, C.; Khosravi, R.; Kacerovska, B.; Yang, S. Selectively toluene-filled photonic crystal fiber Sagnac interferometer for temperature sensing applications. Results Phys. 2019, 13, 102297. [Google Scholar] [CrossRef]
- Reyes-Coronado, A.; Acosta, M.F.; Merino, R.I.; Orera, V.M.; Kenanakis, G.; Katsarakis, N.; Kafesaki, M.; Mavidis, C.; Garcia de Abajo, J.; Economou, E.N.; et al. Self-organization approach for THz polaritonic metamaterials. Opt. Express 2012, 20, 14663–14682. [Google Scholar] [CrossRef]
- Vinh, N.Q.; Ha, N.N.; Gregorkiewicz, T. Photonic properties of Er-doped crystalline silicon. Proc. IEEE 2009, 97, 1269–1283. [Google Scholar] [CrossRef]
- Schmidt, M.A.; Argyros, A.; Sorin, F. Hybrid optical fiber—An innovative platform for in-fiber photonic devices. Adv. Opt. Mater. 2016, 4, 13–36. [Google Scholar] [CrossRef]
- Dai, J.; Zhang, J.Q.; Zhang, W.L.; Grischkowsky, D. Terahertz time-domain spectroscopy characterization of the far-infrared absorption and index of refraction of high-resistivity, float-zone silicon. Opt. Soc. Am. B 2004, 21, 1379–1386. [Google Scholar] [CrossRef]
- Engheta, N.; Ziolkowski, R.W. Metamaterials: Physics and Engineering Explorations; John Wiley & Sons: Hoboken, NJ, USA, 2006. [Google Scholar]
- Naik, G.V.; Shalaev, V.M.; Boltasseva, A. Alternative plasmonic materials: Beyond gold and silver. Adv. Mater. 2013, 25, 3264–3294. [Google Scholar] [CrossRef] [PubMed]
- He, X.Y.; Wang, Q.J.; Yu, S.F. Investigation of multilayer subwavelength metallic-dielectric stratified structures. IEEE J. Quantum. Electron. 2012, 48, 1554–1559. [Google Scholar] [CrossRef]
- Sathi, Z.M.; Zhang, J.; Luo, Y.; Canning, J.; Peng, G.D. Improving broadband emission within Bi/Er doped silicate fibres with Yb co-doping. Opt. Mater. Express 2015, 5, 2095–2096. [Google Scholar] [CrossRef]
- Rana, F. Graphene terahertz plasmon oscillators. IEEE Trans. Nanotechnol. 2008, 7, 91–99. [Google Scholar] [CrossRef]
- COMSOL Multiphysics® v. 5.3; COMSOL AB: Stockholm, Sweden. Available online: www.comsol.com (accessed on 31 May 2019).
- Yang, T.Y.; Wang, E.; Jiang, H.; Hu, Z.; Xie, K. High birefringence photonic crystal fiber with high nonlinearity and low confinement loss. Opt. Express 2015, 23, 8329–8337. [Google Scholar] [CrossRef] [PubMed]
- Yang, T.Y.; Ding, C.; Ziolkowski, R.W.; Guo, Y.J. A scalable THz ultra-high birefringence and ultra-low loss partially-slotted photonic crystal fiber. IEEE J. Light. Technol. 2018, 36, 3408–3417. [Google Scholar] [CrossRef]
- Hou, J.; Bird, D.; George, A.; Maier, S.B.; Kuhlmey, T.; Knight, J.C. Metallic mode confinement in mircrostructured fibres. Opt. Express 2008, 16, 5983–5990. [Google Scholar] [CrossRef] [PubMed]
- Lee, H.W.; Schmidt, M.A.; Russell, R.F.; Joly, N.Y.; Tyagi, H.K.; Uebel, P.; Russell, P.S.J. Pressure-assisted melt-filling and optical characterization of Au nano-wires in microstructured fibers. Opt. Express 2011, 19, 12180–12189. [Google Scholar] [CrossRef] [PubMed]
- He, R.; Sazio, P.J.A.; Peacock, A.C.; Healy, N.; Sparks, J.R.; Krishnamurthi, M.; Gopalan, V.; Badding, J.V. Integration of gigahertz-bandwidth semiconductor devices inside microstructured optical fibres. Nat. Photonics 2012, 6, 174–179. [Google Scholar] [CrossRef]
- Pacheco-Pena, V.; Engheta, N.; Kuznetsov, S.; Gentselev, A.; Beruete, M. Experimental realization of an epsilon-near-zero graded-index metalens at terahertz frequencies. Phys. Rev. Appl. 2017, 8, 034036. [Google Scholar] [CrossRef]
- Liberal, I.; Engheta, N. Near-zero refractive index photonics. Nat. Photonics 2017, 11, 149–158. [Google Scholar] [CrossRef]
- Carnemolla, E.G.; Caspani, L.; DeVault, C.; Clerici, M.; Vezzoli, S.; Bruno, V.; Shalaev, V.M.; Faccio, D.; Boltasseva, A.; Ferrera, M. Degenerate optical nonlinear enhancement in epsilon-near-zero transparent conducting oxides. Opt. Mater. Express 2018, 8, 3392–3400. [Google Scholar] [CrossRef]









| Gain Factor | Crossover X (THz) | Crossover Y (THz) | Crossover HO (THz) | Interval 1 (THz) | Interval 2 (THz) | SPSM Bandwidth | MLD (dB/cm) |
|---|---|---|---|---|---|---|---|
| −0.006 | 1.065 | 1.388 | 1.394 | 0.323 | 0.329 | 0.323 | >6.4 |
| −0.008 | 0.996 | 1.308 | 1.315 | 0.313 | 0.32 | 0.312 | >8.0 |
| −0.01 | 0.948 | 1.252 | 1.257 | 0.304 | 0.309 | 0.304 | >9.8 |
| t | Crossover X (THz) | Crossover Y (THz) | Crossover HO (THz) | Interval 1 (THz) | Interval 2 (THz) | SPSM Bandwidth | MLD (dB/cm) |
|---|---|---|---|---|---|---|---|
| 0.1 | 1.062 | 1.404 | 1.349 | 0.342 | 0.287 | 0.287 | >8.1 |
| 0.15 | 0.996 | 1.308 | 1.315 | 0.313 | 0.319 | 0.312 | >8.0 |
| 0.2 | 0.954 | 1.253 | 1.292 | 0.299 | 0.338 | 0.299 | >7.5 |
| d2 | Crossover X (THz) | Crossover Y (THz) | Crossover HO (THz) | Interval 1 (THz) | Interval 2 (THz) | SPSM Bandwidth | MLD (dB/cm) |
|---|---|---|---|---|---|---|---|
| 0.6 Λ | 0.996 | 1.308 | 1.315 | 0.313 | 0.319 | 0.312 | >8.0 |
| 0.7 Λ | 1.01 | 1.297 | 1.337 | 0.287 | 0.327 | 0.287 | >8.2 |
| 0.8 Λ | 1.029 | 1.288 | 1.378 | 0.259 | 0.349 | 0.259 | >8.3 |
![]() | ![]() | ![]() | ![]() | ![]() | ![]() | ![]() | ![]() |
© 2019 by the authors. Licensee MDPI, Basel, Switzerland. This article is an open access article distributed under the terms and conditions of the Creative Commons Attribution (CC BY) license (http://creativecommons.org/licenses/by/4.0/).
Share and Cite
Yang, T.; Ding, C.; Ziolkowski, R.W.; Guo, Y.J. A Terahertz (THz) Single-Polarization-Single-Mode (SPSM) Photonic Crystal Fiber (PCF). Materials 2019, 12, 2442. https://doi.org/10.3390/ma12152442
Yang T, Ding C, Ziolkowski RW, Guo YJ. A Terahertz (THz) Single-Polarization-Single-Mode (SPSM) Photonic Crystal Fiber (PCF). Materials. 2019; 12(15):2442. https://doi.org/10.3390/ma12152442
Chicago/Turabian StyleYang, Tianyu, Can Ding, Richard W. Ziolkowski, and Y. Jay Guo. 2019. "A Terahertz (THz) Single-Polarization-Single-Mode (SPSM) Photonic Crystal Fiber (PCF)" Materials 12, no. 15: 2442. https://doi.org/10.3390/ma12152442
APA StyleYang, T., Ding, C., Ziolkowski, R. W., & Guo, Y. J. (2019). A Terahertz (THz) Single-Polarization-Single-Mode (SPSM) Photonic Crystal Fiber (PCF). Materials, 12(15), 2442. https://doi.org/10.3390/ma12152442



