Molecular Dynamics Simulations of Atomic Diffusion during the Al–Cu Ultrasonic Welding Process
Abstract
1. Introduction
2. Simulation Methods
3. Results and Discussion
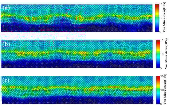
3.1. Diffusion Behavior at the Interface
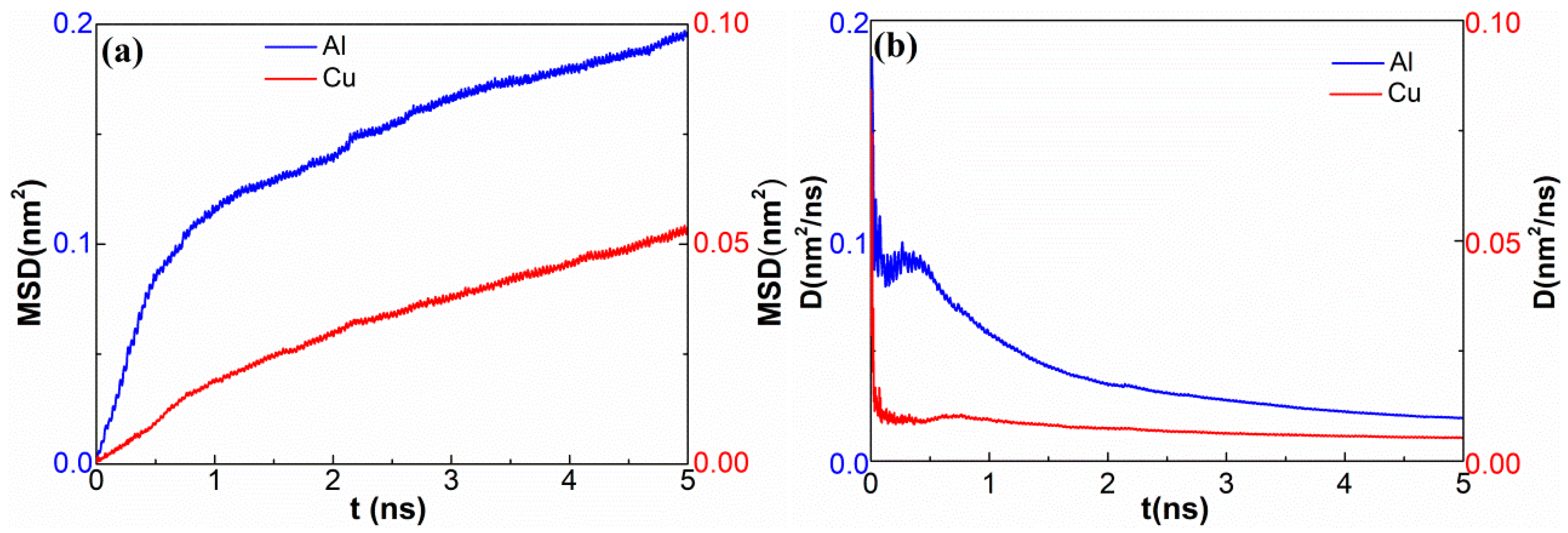
3.2. Concentration Profile and Diffusion Coefficients
4. Conclusions
- (1)
- The difference in diffusion coefficients between Al and Cu induced a much faster migration velocity of the Al front than the Cu front, and asymmetric diffusion occurred at the interface during UW.
- (2)
- During ultrasonic welding, the interface region was subjected to high and complex stress, transforming the perfect fcc structures into disordered arrangements with an increase in the number of non-fcc structures over time.
- (3)
- The RDF peak intensity decreased as welding time increased, but the magnitudes of the peaks in the Al–Al pair fluctuated slightly, indicating the occurrence of low-temperature recovery during the welding process.
- (4)
- The diffusion layer enhanced rapidly with welding time, and phase transitions occurred in the concentration profiles at a welding time of 1 ns.
- (5)
- The diffusion during ultrasonic welding was identified as a dynamic and unsteady process. The diffusion coefficient appeared to be much larger than that obtained during steady diffusion, mainly attributed to shear plastic deformation and elevated shear strain rate at the weld interface.
Author Contributions
Funding
Conflicts of Interest
References
- Bakavos, D.; Prangnell, P.B. Mechanisms of joint and microstructure formation in high power ultrasonic spot welding 6111 aluminium automotive sheet. Mater. Sci. Eng. 2010, 527, 6320–6334. [Google Scholar] [CrossRef]
- Allameh, S.M.; Mercer, C.; Popoola, D.; Soboyejo, W.O. Microstructural characterization of ultrasonically welded aluminum. J. Mater. Process. Technol. 2005, 127, 65–74. [Google Scholar] [CrossRef]
- Yang, J.W.; Cao, B.; Lu, Q.H. The effect of welding energy on the microstructural and mechanical properties of ultrasonic-welded copper joints. Materials 2017, 10, 193. [Google Scholar] [CrossRef] [PubMed]
- Patel, V.K.; Bhole, S.D.; Chen, D.L. Influence of ultrasonic spot welding on microstructure in a magnesium alloy. Scripta Mater. 2011, 65, 911–914. [Google Scholar] [CrossRef]
- Zhu, Y.Y.; Liao, G.L.; Shi, T.L.; Tang, Z.R.; Li, M. Interdiffusion cross crystal-amorphous interface: An atomistic simulation. Acta Mater. 2016, 112, 378–389. [Google Scholar] [CrossRef]
- Zhang, Y.; Jiang, S. Atomistic investigation on diffusion welding between stainless steel and pure Ni based on molecular dynamics simulation. Materials 2018, 11, 1957. [Google Scholar] [CrossRef] [PubMed]
- Chen, S.Y.; Wu, Z.W.; Liu, K.X.; Li, X.J.; Luo, N.; Lu, G.X. Atomic diffusion behavior in Cu-Al explosive welding process. J. App. Phys. 2013, 113, 044901. [Google Scholar] [CrossRef]
- Nikonov, A.Y.; Konovalenko, I.S.; Dmitriev, A.I. Molecular dynamics study of lattice rearrangement under mechanically activated diffusion. Phys. Mesomech. 2016, 19, 77–85. [Google Scholar] [CrossRef]
- Song, C.B.; Lin, T.S.; He, P.; Jiao, Z.; Tao, J.; Ji, Y.J. Molecular dynamics simulation of linear friction welding between dissimilar Ti-based alloys. Comput. Mater. Sci. 2014, 83, 35–38. [Google Scholar] [CrossRef]
- Yang, J.W.; Cao, B. Investigation of resistance heat assisted ultrasonic welding of 6061 aluminum alloys to pure copper. Mater. Des. 2015, 74, 19–24. [Google Scholar] [CrossRef]
- Yang, J.W.; Cao, B.; He, X.C.; Luo, H.S. Microstructure evolution and mechanical properties of Cu–Al joints by ultrasonic welding. Sci. Technol. Weld. Join. 2014, 19, 500–504. [Google Scholar] [CrossRef]
- Panteli, A.; Robson, J.D.; Brough, I.; Prangnell, P.B. The effect of high strain rate deformation on intermetallic reaction during ultrasonic welding aluminium to magnesium. Mater. Sci. Eng. 2012, 556, 31–42. [Google Scholar] [CrossRef]
- Macwan, A.; Patel, V.K.; Jiang, X.Q.; Li, C.; Bhole, S.D.; Chen, D.L. Ultrasonic spot welding of Al/Mg/Al tri-layered clad sheets. Mater. Des. 2014, 62, 344–351. [Google Scholar] [CrossRef]
- Ren, D.X.; Zhao, K.M.; Pan, M.; Chang, Y.; Song, G.; Zhao, D.W. Ultrasonic spot welding of magnesium alloy to titanium alloy. Scripta Mater. 2017, 126, 58–62. [Google Scholar] [CrossRef]
- Elangovan, S.; Semeer, S.; Prakasan, K. Temperature and stress distribution in ultrasonic metal welding—An FEA-based study. J. Mater. Process. Technol. 2009, 209, 1143–1150. [Google Scholar] [CrossRef]
- Wang, F.L.; Chen, Y. Modeling study of thermosonic flip chip bonding process. Microelectron. Reliab. 2012, 52, 2749–2755. [Google Scholar] [CrossRef]
- Plimpton, S. Fast parallel algorithms for short-range molecular dynamics. J. Comput. Phys. 1995, 117, 1–19. [Google Scholar] [CrossRef]
- Cai, J.; Ye, Y.Y. Simple analytical embedded-atom-potential model including a long-range force for fcc metals and their alloys. Phys. Rev. 1996, 54, 8398. [Google Scholar] [CrossRef]
- Chen, S.D.; Ke, F.J.; Zhou, M.; Bai, Y.L. Atomistic investigation of the effects of temperature and surface roughness on diffusion bonding between Cu and Al. Acta Mater. 2007, 55, 3169–3175. [Google Scholar] [CrossRef]
- Funamizu, Y.; Watanabe, K. Interdiffusion in the Al–Cu system. Trans. Jpn. Inst. Metal. 1971, 12, 147–152. [Google Scholar] [CrossRef]
- Li, C.; Li, D.X.; Tao, X.M.; Chen, H.M.; Ouyang, Y.F. Molecular dynamics simulation of diffusion bonding of Al–Cu interface. Modelling Simul. Mater. Sci. Eng. 2014, 22, 065013. [Google Scholar] [CrossRef]
- Vasil’ev, L.S. To the theory of the anomalously high diffusion rate in metals under shock action: II. Effect of shear stresses and structural and phase state of the diffusion zone on the rate of mass transfer. Phys. Metals Metallogr. 2009, 107, 427–434. [Google Scholar] [CrossRef]
- Spaepen, F. A microscopic mechanism for steady state inhomogeneous flow in metallic glasses. Acta Metall. 1977, 25, 407–415. [Google Scholar] [CrossRef]
- Gunduz, I.E.; Ando, T.; Shattuck, E.; Peter, Y.W.; Charalabos, C.D. Enhanced diffusion and phase transformations during ultrasonic welding of zinc and aluminum. Scripta Mater. 2005, 52, 939–943. [Google Scholar] [CrossRef]











© 2019 by the authors. Licensee MDPI, Basel, Switzerland. This article is an open access article distributed under the terms and conditions of the Creative Commons Attribution (CC BY) license (http://creativecommons.org/licenses/by/4.0/).
Share and Cite
Yang, J.; Zhang, J.; Qiao, J. Molecular Dynamics Simulations of Atomic Diffusion during the Al–Cu Ultrasonic Welding Process. Materials 2019, 12, 2306. https://doi.org/10.3390/ma12142306
Yang J, Zhang J, Qiao J. Molecular Dynamics Simulations of Atomic Diffusion during the Al–Cu Ultrasonic Welding Process. Materials. 2019; 12(14):2306. https://doi.org/10.3390/ma12142306
Chicago/Turabian StyleYang, Jingwei, Jie Zhang, and Jian Qiao. 2019. "Molecular Dynamics Simulations of Atomic Diffusion during the Al–Cu Ultrasonic Welding Process" Materials 12, no. 14: 2306. https://doi.org/10.3390/ma12142306
APA StyleYang, J., Zhang, J., & Qiao, J. (2019). Molecular Dynamics Simulations of Atomic Diffusion during the Al–Cu Ultrasonic Welding Process. Materials, 12(14), 2306. https://doi.org/10.3390/ma12142306
