Room-Temperature Creep Behavior and Activation Volume of Dislocation Nucleation in a LiTaO3 Single Crystal by Nanoindentation
Abstract
1. Introduction
2. Materials and Methods
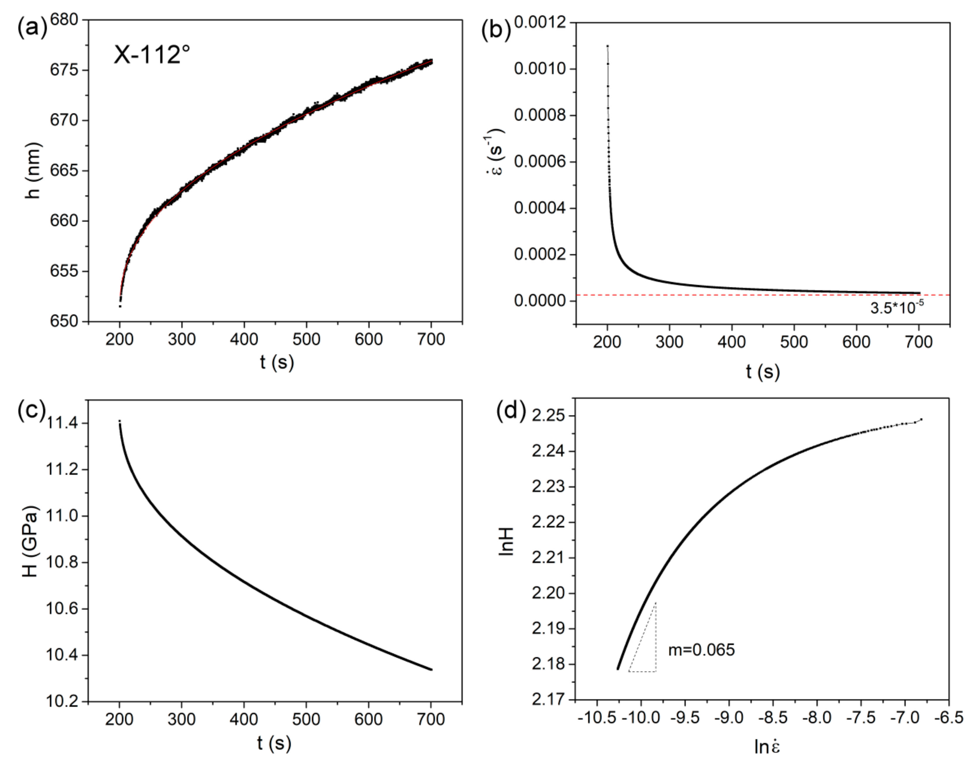
3. Results and Discussion
4. Conclusions
Author Contributions
Funding
Conflicts of Interest
References
- Smith, R.T.; Welsh, F.S. Temperature Dependence of the Elastic, Piezoelectric, and Dielectric Constants of Lithium Tantalate and Lithium Niobate. J. Appl. Phys. 1971, 42, 2219–2230. [Google Scholar] [CrossRef]
- Zu, H.; Wu, H.; Wang, Q.M. High-temperature piezoelectric crystals for acoustic wave sensor applications. IEEE T. Ultrason. Ferr. 2016, 63, 486–505. [Google Scholar] [CrossRef]
- Wu, Y.Q.; Huang, H.; Zou, J.; Dell, J.M. Nanoscratch-induced deformation of single crystal silicon. J. Vac. Sci. Tech. 2009, 27, 1374–1377. [Google Scholar] [CrossRef]
- önshoff, H.K.; Schmieden, W.V.; Inasaki, I.; König, W.; Spur, G. Abrasive machining of silicon. CIRP Ann. 1990, 39, 621–635. [Google Scholar] [CrossRef]
- Gruber, M.; Leitner, A.; Kiener, D.; Supancic, P.; Bermejo, R. Incipient plasticity and surface damage in LiTaO3 and LiNbO3 single crystals. Mater. Design 2018, 153, 221–231. [Google Scholar] [CrossRef]
- Gruber, M.; Kraleva, I.; Supancic, P.; Bielen, J.; Kiener, D.; Bermejo, R. Strength distribution and fracture analyses of LiNbO3 and LiTaO3 single crystals under biaxial loading. J. Eur. Ceram. Soc. 2017, 37, 4397–4406. [Google Scholar] [CrossRef]
- Zhang, Z.; Yang, S.; Xu, C.; Wang, B.; Duan, N. Deformation and stress at pop-in of lithium niobate induced by nanoindentation. Scr. Mater. 2014, 77, 56–59. [Google Scholar] [CrossRef]
- Nabarro, F.R. Creep in commercially pure metals. Acta. Mater. 2006, 54, 263–295. [Google Scholar] [CrossRef]
- Choi, I.C.; Yoo, B.G.; Kim, Y.J.; Jang, J.I. Indentation creep revisited. J. Mater. Res. 2012, 27, 3–11. [Google Scholar] [CrossRef]
- Li, W.B.; Henshall, J.L.; Hooper, R.M.; Easterling, K.E. The mechanisms of indentation creep. Acta Mater. 1991, 39, 3099–3110. [Google Scholar] [CrossRef]
- Wang, Y.; Zhang, J.; Wu, K.; Liu, G.; Kiener, D.; Sun, J. Nanoindentation creep behavior of Cu–Zr metallic glass films. Mater. Res. Lett. 2018, 6, 22–28. [Google Scholar] [CrossRef]
- Ma, Y.; Ye, J.H.; Peng, G.J.; Zhang, T.H. Loading rate effect on the creep behavior of metallic glassy films and its correlation with the shear transformation zone. Mater. Sci. Eng. A 2015, 622, 76–81. [Google Scholar] [CrossRef]
- Ma, Y.; Peng, G.J.; Feng, Y.H.; Zhang, T.H. Nanoindentation investigation on the creep mechanism in metallic glassy films. Mater. Sci. Eng. A 2016, 651, 548–555. [Google Scholar] [CrossRef]
- Yoo, B.G.; Oh, J.H.; Kim, Y.J.; Park, K.W.; Lee, J.C.; Jang, J.I. Nanoindentation analysis of time-dependent deformation in as-cast and annealed Cu–Zr bulk metallic glass. Intermetallics 2010, 18, 1898–1901. [Google Scholar] [CrossRef]
- He, A.S.; Huang, H.; Zhou, L.B. Mechanical Properties and Deformation of LiTaO3 Single Crystals Characterised by Nanoindentation and Nanoscratch. Adv. Mater. Res. 2012, 565, 564–569. [Google Scholar] [CrossRef]
- Anasori, B.; Sickafus, K.E.; Usov, I.O.; Barsoum, M.W. Spherical nanoindentation study of the deformation micromechanisms of LiTaO3 single crystals. J. App. Phys. 2011, 110, 023516. [Google Scholar] [CrossRef]
- Durst, K.; Backes, B.; Göken, M. Indentation size effect in metallic materials: Correcting for the size of the plastic zone. Scr. Mater. 2005, 52, 1093–1097. [Google Scholar] [CrossRef]
- Li, F.; Xie, Y.; Gu, J.; Song, M.; Ni, S.; Guo, S.; Liao, X. Inhomogeneous creep deformation in metallic glasses. Mater. Sci. Eng. A 2015, 648, 57–60. [Google Scholar] [CrossRef]
- Zhang, T.H.; Ye, J.H.; Feng, Y.H.; Ma, Y. On the spherical nanoindentation creep of metallic glassy thin films at room temperature. Mater. Sci. Eng. A 2017, 685, 294–299. [Google Scholar] [CrossRef]
- Yoo, B.G.; Kim, J.Y.; Kim, Y.J.; Choi, I.C.; Shim, S.; Tsui, T.Y.; Jang, J.I. Increased time-dependent room temperature plasticity in metallic glass nanopillars and its size-dependency. Int. J. Plasticity 2012, 37, 108–118. [Google Scholar] [CrossRef]
- Chen, H.; Zhang, T.H.; Ma, Y. Effect of applied stress on the mechanical properties of a Zr-Cu-Ag-Al bulk metallic glass with two different structure states. Materials 2017, 10, 711. [Google Scholar] [CrossRef]
- Jakes, J.E.; Lakes, R.S.; Stone, D.S. Broadband nanoindentation of glassy polymers: Part ii. Viscoplasticity. J. Mater. Res. 2012, 27, 475–484. [Google Scholar] [CrossRef]
- Cao, Z.H.; Huang, Y.L.; Meng, X.K. Size-dependent rate sensitivity and plasticity of nanocrystalline Ru films. Scr. Mater. 2010, 63, 993–996. [Google Scholar] [CrossRef]
- Ma, Y.; Song, Y.X.; Huang, X.W.; Zhang, T.H. Testing Effects on Shear Transformation Zone Size of Metallic Glassy Films under Nanoindentation. Micromachines 2018, 9, 636. [Google Scholar] [CrossRef]
- Wang, F.; Li, J.M.; Huang, P.; Wang, W.L.; Lu, T.J.; Xu, K.W. Nanoscale creep deformation in Zr-based metallic glass. Intermetallics 2013, 38, 156–160. [Google Scholar] [CrossRef]
- Kassner, M.E. Fundamentals of Creep in Metals and Alloys; Butterworth-Heinemann: Oxford, UK, 2015. [Google Scholar]
- Ma, Z.S.; Long, S.G.; Zhou, Y.C.; Pan, Y. Indentation scale dependence of tip-in creep behavior in Ni thin films. Scr. Mater. 2008, 59, 195–198. [Google Scholar] [CrossRef]
- Wei, Q.; Cheng, S.; Ramesh, K.T.; Ma, E. Effect of nanocrystalline and ultrafine grain sizes on the strain rate sensitivity and activation volume: FCC versus bcc metals. Mater. Sci. Eng. A 2004, 381, 71–79. [Google Scholar] [CrossRef]
- Mason, J.K.; Lund, A.C.; Schuh, C.A. Determining the activation energy and volume for the onset of plasticity during nanoindentation. Phy. Rev. B 2006, 73, 054102. [Google Scholar] [CrossRef]
- Zhu, C.; Lu, Z.P.; Nieh, T.G. Incipient plasticity and dislocation nucleation of FeCoCrNiMn high-entropy alloy. Acta. Mater. 2003, 61, 2993–3001. [Google Scholar] [CrossRef]
- Somekawa, H.; Schuh, C.A. Effect of solid solution elements on nanoindentation hardness, rate dependence, and incipient plasticity in fine grained magnesium alloys. Acta. Mater. 2011, 59, 7554–7563. [Google Scholar] [CrossRef]
- Tönnies, D.; Maaß, R.; Volkert, C.A. Room Temperature Homogeneous Ductility of Micrometer-Sized Metallic Glass. Adv. Mater. 2014, 26, 5715–5721. [Google Scholar] [CrossRef]
- Pan, D.; Inoue, A.; Sakurai, T.; Chen, M.W. Experimental characterization of shear transformation zones for plastic flow of bulk metallic glasses. Proc. Natl. Acad. Sci. USA 2008, 105, 14769–14772. [Google Scholar] [CrossRef] [PubMed]
- Guo, H.; Yan, P.F.; Wang, Y.B.; Tan, J.; Zhang, Z.F.; Sui, M.L.; Ma, E. Tensile Ductility and Necking of Metallic Glass. Nat. Mater. 2007, 10, 735–739. [Google Scholar] [CrossRef]
- Jang, D.; Greer, J.R. Transition from a strong-yet-brittle to a stronger-and-ductile state by size reduction of metallic glasses. Nat. Mater. 2010, 3, 215–219. [Google Scholar] [CrossRef] [PubMed]
- Ma, Y.; Cao, Q.P.; Qu, S.X.; Jiang, J.Z. Stress-state-dependent deformation behavior in Ni–Nb metallic glassy film. Acta. Mater. 2012, 60, 4136–4143. [Google Scholar] [CrossRef]
- Ma, Y.; Peng, G.J.; Jiang, W.F.; Chen, H.; Zhang, T.H. Nanoindentation study on shear transformation zone in a Cu-Zr-Al metallic glassy film with different thickness. J. Non-Cryst. Solids 2016, 442, 67–72. [Google Scholar] [CrossRef]
- Ma, Y.; Ye, J.H.; Peng, G.J.; Zhang, T.H. Nanoindentation study of size effect on shear transformation zone size in a Ni–Nb metallic glass. Mater. Sci. Eng. A 2015, 627, 153–160. [Google Scholar] [CrossRef]







| 5 mN | 20 mN | 50 mN | 100 mN | 250 mN | ||||||
|---|---|---|---|---|---|---|---|---|---|---|
| Orientation | m | v* | m | v* | m | v* | m | v* | m | v* |
| X-112° | 0.22 | 6 Å3 | 0.085 | 18 Å3 | 0.067 | 26 Å3 | 0.062 | 31 Å3 | 0.024 | 83 Å3 |
| Y-36° | 0.33 | 5 Å3 | 0.25 | 7 Å3 | 0.16 | 12 Å3 | 0.14 | 14 Å3 | 0.089 | 22 Å3 |
| Y-42° | 0.32 | 5 Å3 | 0.27 | 7 Å3 | 0.22 | 9 Å3 | 0.15 | 14 Å3 | 0.091 | 23 Å3 |
© 2019 by the authors. Licensee MDPI, Basel, Switzerland. This article is an open access article distributed under the terms and conditions of the Creative Commons Attribution (CC BY) license (http://creativecommons.org/licenses/by/4.0/).
Share and Cite
Ma, Y.; Huang, X.; Song, Y.; Hang, W.; Zhang, T. Room-Temperature Creep Behavior and Activation Volume of Dislocation Nucleation in a LiTaO3 Single Crystal by Nanoindentation. Materials 2019, 12, 1683. https://doi.org/10.3390/ma12101683
Ma Y, Huang X, Song Y, Hang W, Zhang T. Room-Temperature Creep Behavior and Activation Volume of Dislocation Nucleation in a LiTaO3 Single Crystal by Nanoindentation. Materials. 2019; 12(10):1683. https://doi.org/10.3390/ma12101683
Chicago/Turabian StyleMa, Yi, Xianwei Huang, Yuxuan Song, Wei Hang, and Taihua Zhang. 2019. "Room-Temperature Creep Behavior and Activation Volume of Dislocation Nucleation in a LiTaO3 Single Crystal by Nanoindentation" Materials 12, no. 10: 1683. https://doi.org/10.3390/ma12101683
APA StyleMa, Y., Huang, X., Song, Y., Hang, W., & Zhang, T. (2019). Room-Temperature Creep Behavior and Activation Volume of Dislocation Nucleation in a LiTaO3 Single Crystal by Nanoindentation. Materials, 12(10), 1683. https://doi.org/10.3390/ma12101683

