Thermomechanical and Morphological Studies of CFRP Tested in Different Environmental Conditions
Abstract
1. Introduction
2. Materials and Methods
2.1. Mechanical Tests
2.2. Thermogravimetric Analysis (TG)
2.3. SEM Analysis
2.4. Theoretical
2.4.1. Activation Energy
2.4.2. Pre-Exponential Factor
2.4.3. Optimum Working Temperature
3. Results and Discussions
3.1. Mechanical Tests
3.2. Thermogravimetric Analysis
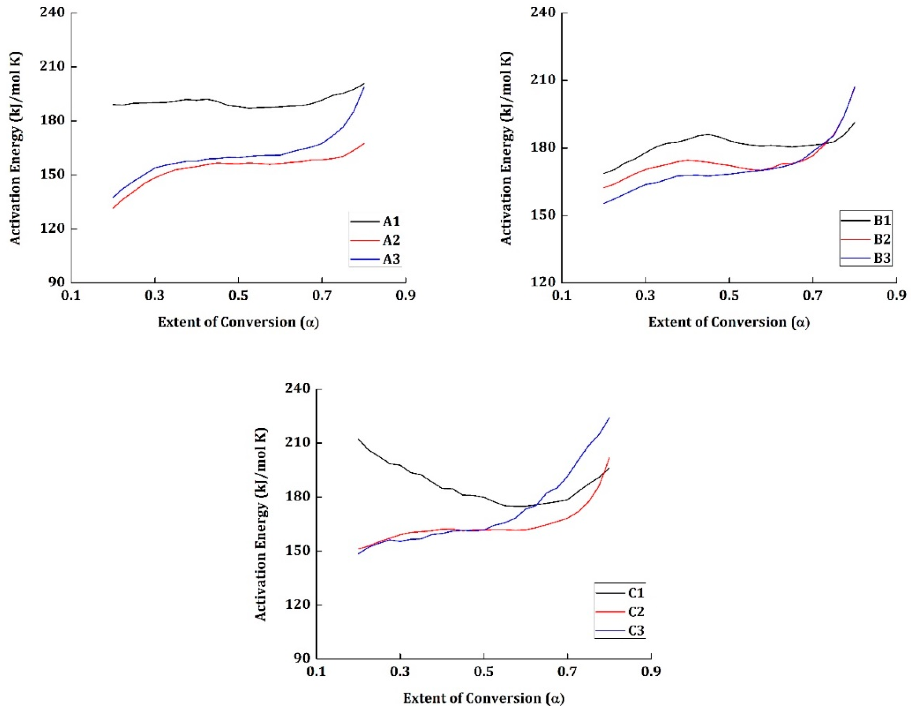
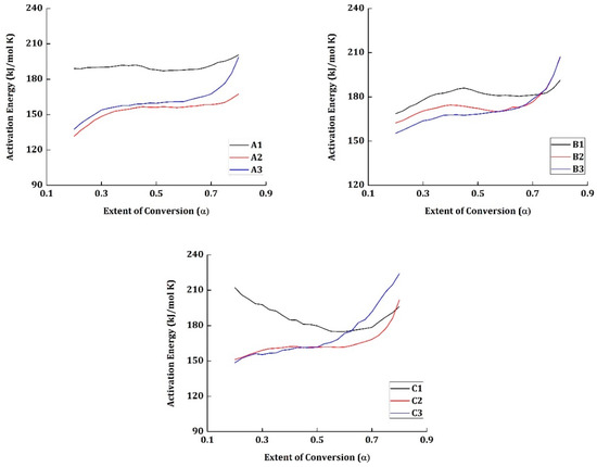
3.3. Activation Energy
3.4. Pre-Exponential Factor
3.5. Optimum Working Temperature
3.6. SEM Analysis Results
4. Conclusions
Author Contributions
Funding
Conflicts of Interest
References
- Meyer, L.O.; Schulte, K.; Grove-Nielsen, E. CFRP-Recycling following a pyrolysis route: Process Optimization and Potentials. J. Compos. Mater. 2009, 43, 1121–1132. [Google Scholar] [CrossRef]
- Pimenta, S.; Pinho, S.T. Recycling carbon fibre reinforced polymers for structural applications: Technology review and market outlook. Waste Manag. 2011, 31, 378–392. [Google Scholar] [CrossRef] [PubMed]
- Morin, C.; Loppinet-Serani, A.; Cansell, F.; Aymonier, C. Near- and supercritical solvolysis of carbon fibre reinforced polymers (CFRPs) for recycling carbon fibers as a valuable resource: State of the art. J. Supercrit. Fluids 2012, 66, 232–240. [Google Scholar] [CrossRef]
- Pickering, S.J. Recycling Technologies for Thermoset Composite Materials—Current Status. Compos. Part A Appl. Sci. Manuf. 2006, 37, 1206–1215. [Google Scholar] [CrossRef]
- Dong, P.A.V.; Azzaro-Pantel, C.; Cadene, A. Economic and environmental assessment of recovery and disposal pathways for CFRP waste management. Resour. Conserv. Recycl. 2018, 133, 63–75. [Google Scholar] [CrossRef]
- Verma, S.; Balasubramaniam, B.; Gupta, R.K. Recycling, reclamation and re-manufacturing of carbon fibres. Curr. Opin. Green Sustain. Chem. 2018, 13, 86–90. [Google Scholar] [CrossRef]
- Meyer, L.O.; Bartels, P.; Fiedler, B.; Ahlborn, H.; Schulte, K. A Practical Solution for Substancial Recycling of Carbon Fiber Reinforced Composites. In Proceedings of the 3rd EcoComp, Stockholm, Sweden, 20–21 June 2005. [Google Scholar]
- Kafodya, I.; Xian, G.; Li, H. Durability study of pultruded CFRP plates immersed in water and seawater under sustained bending: Water uptake and effects on the mechanical properties. Compos. Part B Eng. 2015, 70, 138–148. [Google Scholar] [CrossRef]
- Ou, Y.; Zhu, D.; Hang, H.; Yao, Y.; Mobasher, B.; Huang, L. Mechanical properties and failure characteristics of CFRP under intermediate strain rates and varying temperatures. Compos. Part B Eng. 2016, 95, 123–136. [Google Scholar] [CrossRef]
- Barile, C.; Casavola, C. Mechanical Characterization of Carbon Fiber Reinforced Plastics Specimens for Aerospace Applications. Polym. Compos. 2018. [Google Scholar] [CrossRef]
- Barile, C.; Casavola, C.; Pappalettere, C.; Tursi, F. RFI composite materials behaviour. Struct. Integr. Life 2010, 10, 209–213. [Google Scholar]
- Rose, N.; Bras, M.L.; Delobel, R.; Costes, B.; Henry, Y. Thermal oxidative degradation of an epoxy resin. Polym. Degrad. Stab. 1993, 42, 307–316. [Google Scholar] [CrossRef]
- Ogasawara, T.; Ishida, Y.; Kasai, T. Mechanical properties of carbon fiber/fullerene-dispersed epoxy composites. Compos. Sci. Technol. 2009, 69, 2002–2007. [Google Scholar] [CrossRef]
- Levchik, S.V.; Camino, G.; Luda, M.P.; Costa, L.; Costes, B.; Henry, Y.; Muller, G.; Morel, E. Mechanistic study of thermal behaviour and combustion performance of epoxy resins. II. TGDDM/DDS system. Polym. Degrad. Stab. 1995, 48, 359–370. [Google Scholar] [CrossRef]
- Standard Test Method for Tensile Properties of Polymer Matrix Composite Material; ASTM D 3039/D 3039M-17; ASTM International: West Conshohocken, PA, USA, 2017.
- Vyazovkin, S.; Burnham, A.K.; Craido, J.M.; Pérez-Maqueda, L.A.; Popescu, C.; Sbirrazzuoli, N. ICTAC Kinetics Committee recommendations for performing kinetic computations on thermal analysis data. Thermochim. Acta 2011, 520, 1–19. [Google Scholar] [CrossRef]
- Vyazovkin, S.; Wight, C.A. Isothermal and non-isothermal kinetics of thermally stimulated reactions of solids. Int. Rev. Phys. Chem. 1998, 17, 407–433. [Google Scholar] [CrossRef]
- Starink, M.J. The determination of activation energy from linear heating rate experiments: A comparison of the accuracy of isoconversion methods. Thermochim. Acta 2003, 404, 163–176. [Google Scholar] [CrossRef]
- Flynn, J.H. The ‘temperature integral’—Its use and abuse. Thermochim. Acta 1997, 300, 83–92. [Google Scholar] [CrossRef]
- Kissinger, H.E. Reaction kinetics in differential thermal analysis. Anal. Chem. 1957, 29, 1702–1706. [Google Scholar] [CrossRef]
- Coats, A.W.; Redfern, J.P. Kinetic parameters from thermogravimetric data. Nature 1964, 201, 68–69. [Google Scholar] [CrossRef]
- Farjas, J.; Roura, P. Isoconversional analysis of solid state transformations. A critical review. Part I. Single step transformations with constant activation energy. J. Therm. Anal. Calorim. 2011, 105, 757–766. [Google Scholar] [CrossRef]
- Vimalathithan, P.K.; Barile, C.; Vijayakumar, C.T. Investigation of kinetic triplets for thermal degradation of thermally cured vinyl ester resin systems and lifetime predictions. J. Therm. Anal. Calorim. 2018, 133, 881–891. [Google Scholar] [CrossRef]
- Vimalathithan, P.K.; Barile, C.; Casavola, C.; Vijayakumar, C.T.; Arunachalam, S.; Battisti, M.G.; Friesenbichler, W. Investigation on the Thermal Degradation Kinetics of Polypropylene/Organically Modified Montmorillonite Nanocomposites with Different Levels of Compatibilizer. Macromol. Mater. Eng. 2018. [Google Scholar] [CrossRef]
- Toop, D.J. Theory of life testing and use of thermogravimetric analysis to predict the thermal life of wire enamels. IEEE Trans. Electr. Insul. 1971, 6, 2–14. [Google Scholar] [CrossRef]
- Grassie, N.; Guy, M.I. Degradation of Epoxy Polymers: Part 4 Thermal Degradation of Bisphenol-A Diglycidyl Ether Cured with Ethylene Diamine. Polym. Degrad. Stab. 1986, 14, 125–137. [Google Scholar] [CrossRef]
- Macan, J.; Brnardić, I.; Orlić, S.; Ivanković, H.; Ivankovic, M. Thermal degradation of epoxy-silica organic-inorganic hybrid materials. Polym. Degrad. Stab. 2006, 91, 122–127. [Google Scholar] [CrossRef]
- Patterson-Jones, J.C.; Smith, D.A. The thermal degradation of an amine-cured epoxide resin at temperatures between 200 °C and 310 °C. J. Appl. Polym. Sci. 1968, 12, 1601–1620. [Google Scholar] [CrossRef]
- Zakordonskiy, V.P.; Hnatyshin, S.Y.; Soltys, M.M. Thermal degradation of epoxy polymers. Method of the evaluation of kinetic parameters on the base of thermogravimetric data. Pol. J. Chem. 1998, 72, 2610–2620. [Google Scholar]
- Patterson-Jones, J.C. The mechanism of the thermal degradation of aromatic amine-cured glycidyl ether-type epoxide resins. J. Appl. Polym. Sci. 1975, 19, 1539–1547. [Google Scholar] [CrossRef]
- Levchik, S.V.; Weil, E.D. Thermal decomposition, combustion and flame-retardancy of epoxy resins—A review of the recent literature. Polym. Int. 2004, 53, 1901–1929. [Google Scholar] [CrossRef]








| Specimen Name | Resin Content | % Fiber Orientation Along [0°/±45°/90°] | No. of Plies | Environmental Testing Conditions |
|---|---|---|---|---|
| A1 | 39% | 40(0°)/40(±45°)/20(90°) | 10 | RT |
| A2 | 39% | 40(0°)/40(±45°)/20(90°) | 10 | H/W |
| A3 | 39% | 40(0°)/40(±45°)/20(90°) | 10 | CT |
| B1 | 37.9% | 40(0°)/40(±45°)/20(90°) | 10 | RT |
| B2 | 37.9% | 40(0°)/40(±45°)/20(90°) | 10 | H/W |
| B3 | 37.9% | 40(0°)/40(±45°)/20(90°) | 10 | CT |
| C1 | 40% | 100(0°)/0(±45°)/0(90°) | 14 | RT |
| C2 | 40% | 100(0°)/0(±45°)/0(90°) | 14 | H/W |
| C3 | 40% | 100(0°)/0(±45°)/0(90°) | 14 | CT |
| Specimen Name | Environmental Condition | Ultimate Tensile Strength [MPa] | Young’s Modulus [GPa] |
|---|---|---|---|
| A1 | RT | 830 ± 98 | 71.13 ± 4.06 |
| A2 | H/W | 1016 ± 63 | 85.73 ± 3.10 |
| A3 | CT | 748 ± 31 | 137.60 ± 4.84 |
| B1 | RT | 555 ± 18 | 43.57 ± 0.99 |
| B2 | H/W | 605 ± 24 | 45.90 ± 0.99 |
| B3 | CT | 509 ± 20 | 84.33 ± 2.09 |
| C1 | RT | 1409 ± 95 | 277.90 ± 11.96 |
| C2 | H/W | 789 ± 81 | 155.20 ± 6.99 |
| C3 | CT | 767 ± 29 | 213.07 ± 9.59 |
| α | Pre-Exponential Factor (lnA) | ||||||||
|---|---|---|---|---|---|---|---|---|---|
| A1 | A2 | A3 | B1 | B2 | B3 | C1 | C2 | C3 | |
| 0.200 | 34.15 | 23.43 | 24.51 | 30.44 | 29.27 | 27.92 | 36.21 | 27.12 | 33.26 |
| 0.225 | 33.96 | 24.29 | 25.36 | 30.60 | 29.42 | 28.15 | 36.75 | 27.31 | 31.96 |
| 0.250 | 34.01 | 24.95 | 25.99 | 31.02 | 29.71 | 28.44 | 37.21 | 27.64 | 32.45 |
| 0.275 | 33.89 | 25.69 | 26.56 | 31.26 | 30.02 | 28.73 | 37.54 | 27.89 | 33.88 |
| 0.300 | 33.81 | 26.16 | 27.16 | 31.66 | 30.28 | 29.02 | 37.57 | 28.16 | 34.20 |
| 0.325 | 33.71 | 26.53 | 27.35 | 32.03 | 30.39 | 29.06 | 37.43 | 28.31 | 34.44 |
| 0.350 | 33.75 | 26.82 | 27.46 | 32.23 | 30.47 | 29.22 | 37.39 | 28.30 | 34.72 |
| 0.375 | 33.82 | 26.91 | 27.58 | 32.23 | 30.62 | 29.42 | 37.57 | 28.30 | 34.93 |
| 0.400 | 33.64 | 27.00 | 27.51 | 32.35 | 30.65 | 29.39 | 37.85 | 28.38 | 34.77 |
| 0.425 | 33.67 | 27.12 | 27.66 | 32.57 | 30.50 | 29.31 | 37.86 | 28.32 | 34.59 |
| 0.450 | 33.34 | 27.20 | 27.63 | 32.60 | 30.31 | 29.17 | 37.92 | 28.09 | 34.66 |
| 0.475 | 32.86 | 27.04 | 27.68 | 32.31 | 30.09 | 29.17 | 37.89 | 28.06 | 34.89 |
| 0.500 | 32.66 | 26.96 | 27.58 | 31.92 | 29.89 | 29.16 | 37.72 | 27.98 | 34.91 |
| 0.525 | 32.40 | 26.97 | 27.62 | 31.62 | 29.63 | 29.19 | 38.00 | 27.95 | 34.72 |
| 0.550 | 32.39 | 26.83 | 27.62 | 31.39 | 29.40 | 29.23 | 38.37 | 27.87 | 34.77 |
| 0.575 | 32.32 | 26.68 | 27.56 | 31.22 | 29.24 | 29.21 | 38.77 | 27.73 | 34.82 |
| 0.600 | 32.27 | 26.68 | 27.51 | 31.19 | 29.34 | 29.26 | 39.67 | 27.70 | 34.75 |
| 0.625 | 32.27 | 26.71 | 27.75 | 31.03 | 29.58 | 29.32 | 40.35 | 27.82 | 34.71 |
| 0.650 | 32.19 | 26.71 | 27.92 | 30.88 | 29.54 | 29.43 | 41.40 | 28.04 | 34.79 |
| 0.675 | 32.29 | 26.79 | 28.07 | 30.85 | 29.61 | 29.71 | 42.40 | 28.24 | 34.81 |
| 0.700 | 32.51 | 26.69 | 28.31 | 30.80 | 29.92 | 30.23 | 43.46 | 28.46 | 34.72 |
| 0.725 | 32.83 | 26.70 | 28.93 | 30.77 | 30.57 | 30.70 | 45.18 | 28.94 | 34.27 |
| 0.750 | 33.16 | 27.01 | 29.89 | 31.04 | 31.57 | 31.46 | 47.05 | 30.03 | 33.53 |
| 0.775 | 33.35 | 27.40 | 31.23 | 31.42 | 32.88 | 32.84 | 47.18 | 31.39 | 32.36 |
| 0.800 | 33.66 | 27.86 | 33.35 | 32.13 | 34.77 | 34.79 | 50.94 | 33.84 | 30.51 |
| Lifetime (h) | Optimum Working Temperature (°C) | ||||||||
|---|---|---|---|---|---|---|---|---|---|
| A1 | A2 | A3 | B1 | B2 | B3 | C1 | C2 | C3 | |
| 20,000 | 152 | 115 | 116 | 146 | 134 | 142 | 170 | 127 | 161 |
| 10,000 | 160 | 124 | 125 | 154 | 143 | 150 | 178 | 135 | 169 |
| 5000 | 168 | 133 | 134 | 162 | 152 | 159 | 186 | 144 | 177 |
| 1000 | 189 | 156 | 156 | 183 | 173 | 180 | 206 | 166 | 197 |
| 100 | 222 | 193 | 194 | 217 | 209 | 214 | 237 | 202 | 230 |
| 10 | 261 | 238 | 238 | 257 | 250 | 255 | 273 | 245 | 267 |
| 1 | 306 | 292 | 292 | 303 | 299 | 302 | 314 | 296 | 310 |
© 2018 by the authors. Licensee MDPI, Basel, Switzerland. This article is an open access article distributed under the terms and conditions of the Creative Commons Attribution (CC BY) license (http://creativecommons.org/licenses/by/4.0/).
Share and Cite
Barile, C.; Casavola, C.; Vimalathithan, P.K.; Pugliese, M.; Maiorano, V. Thermomechanical and Morphological Studies of CFRP Tested in Different Environmental Conditions. Materials 2019, 12, 63. https://doi.org/10.3390/ma12010063
Barile C, Casavola C, Vimalathithan PK, Pugliese M, Maiorano V. Thermomechanical and Morphological Studies of CFRP Tested in Different Environmental Conditions. Materials. 2019; 12(1):63. https://doi.org/10.3390/ma12010063
Chicago/Turabian StyleBarile, Claudia, Caterina Casavola, Paramsamy Kannan Vimalathithan, Marco Pugliese, and Vincenzo Maiorano. 2019. "Thermomechanical and Morphological Studies of CFRP Tested in Different Environmental Conditions" Materials 12, no. 1: 63. https://doi.org/10.3390/ma12010063
APA StyleBarile, C., Casavola, C., Vimalathithan, P. K., Pugliese, M., & Maiorano, V. (2019). Thermomechanical and Morphological Studies of CFRP Tested in Different Environmental Conditions. Materials, 12(1), 63. https://doi.org/10.3390/ma12010063

