Composite Cationic Exchange Membranes Prepared from Polyvinyl Alcohol (PVA) and Boronic Acid Copolymers for Alkaline Diffusion Dialysis
Abstract
:1. Introduction
2. Experimental
2.1. Materials
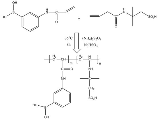
2.2. Synthesis of Boronic Acid Copolymers
2.3. Preparation of Composite Cationic Membranes
2.4. Characterization Methods and Diffusion Dialysis (DD) Testing
3. Results and Discussion
3.1. FT-IR Spectrum of Boronic Acid Copolymer
3.2. Water Uptake (WR) and Ion Exchange Capacities (IECs)
3.3. Alkali Resistance
3.4. Mechanical Properties of As-Prepared Membranes
3.5. Thermal Stability Results of As-Prepared Membranes
3.6. Microscopic Morphologies of As-Prepared Membranes
3.7. Diffusion Dialysis (DD) Results
4. Conclusions
Author Contributions
Funding
Acknowledgments
Conflicts of Interest
References
- Luo, J.; Wu, C.; Xu, T.; Wu, Y. Diffusion dialysis-concept, principle and applications. J. Membr. Sci. 2011, 366, 1–16. [Google Scholar] [CrossRef]
- Miao, J.; Yao, L.; Yang, Z.; Pan, J.; Qian, J.; Xu, T. Sulfonated poly (2,6-dimethyl-1,4-phenyleneoxide)/nano silica hybrid membranes for alkali recovery via diffusion dialysis. Sep. Purif. Technol. 2015, 141, 307–313. [Google Scholar] [CrossRef]
- Pan, J.; Ge, L.; Lin, X.; Wu, L.; Wu, B.; Xu, T. Cation exchange membranes from hot-pressed electrospun sulfonated poly (phenylene oxide) nanofibers for alkali recovery. J. Membr. Sci. 2014, 470, 479–485. [Google Scholar] [CrossRef]
- Li, X.; Miao, J.; Xia, R.; Yang, B.; Chen, P.; Cao, M.; Qian, J. Preparation and properties of sulfonated poly (2,6-dimethyl-1,4-phenyleneoxide)/mesoporous silica hybrid membranes for alkali recovery. Microporous Mesoporous Mater. 2016, 236, 48–53. [Google Scholar] [CrossRef]
- Xiao, X.; Wu, C.; Peng, C.; Luo, J.; Wu, Y.; Xu, T. Cation exchange hybrid membranes from SPPO and multi-alkoxy silicon copolymer: Preparation, properties and diffusion dialysis performances for sodium hydroxide recovery. J. Membr. Sci. 2011, 379, 112–120. [Google Scholar] [CrossRef]
- Mondal, A.N.; Zheng, C.; Cheng, C.; Miao, J.; Hossain, M.M.; Emmanuel, K.; Khan, M.I.; Afsar, N.U.; Ge, L.; Wu, L.; et al. Novel silica-functionalized aminoisophthalic acid-based membranes for base recovery via diffusion dialysis. J. Membr. Sci. 2016, 507, 90–98. [Google Scholar] [CrossRef]
- Afsar, N.U.; Miao, J.; Mondal, A.N.; Yang, Z.; Yu, D.; Wu, B.; Emmanuel, K.; Ge, L.; Xu, T. Development of PVA/MIDA based hybrid cation exchange membranes for alkali recovery via diffusion dialysis. Sep. Purif. Technol. 2016, 164, 63–69. [Google Scholar] [CrossRef]
- Hao, J.; Wu, Y.; Ran, J.; Wu, B.; Xu, T. A simple and green preparation of PVA-based cation exchange hybrid membranes for alkali recovery. J. Membr. Sci. 2013, 433, 10–16. [Google Scholar] [CrossRef]
- Liu, R.; Wu, L.; Pan, J.F.; Jiang, C.X.; Xu, T.W. Diffusion dialysis membranes with semi-interpenetrating network for alkali recovery. J. Membr. Sci. 2014, 451, 18–23. [Google Scholar] [CrossRef]
- Chong, F.; Wang, C.; Miao, J.; Xia, R.; Cao, M.; Chen, P.; Yang, B.; Zhou, W.; Qian, J. Preparation and properties of cation-exchange membranes based on commercial chlorosulfonated polyethylene (CSM) for diffusion dialysis. J. Taiwan Inst. Chem. Eng. 2017, 78, 561–565. [Google Scholar] [CrossRef]
- Hao, J.; Gong, M.; Wu, Y.; Wu, C.; Luo, J.; Xu, T. Alkali recovery using PVA/SiO2 cation exchange membranes with different -COOH contents. J. Hazard. Mater. 2013, 244–245, 348–356. [Google Scholar] [CrossRef] [PubMed]
- Wu, Y.; Hao, J.; Wu, C.; Mao, F.; Xu, T. Cation exchange PVA/SPPO/SiO2 membranes with double organic phases for alkali recovery. J. Membr. Sci. 2012, 423, 383–391. [Google Scholar] [CrossRef]
- Hao, J.; Wu, Y.; Xu, T. Cation exchange hybrid membranes prepared from PVA and multisilicon copolymer for application in alkali recovery. J. Membr. Sci. 2013, 425–426, 156–162. [Google Scholar] [CrossRef]
- Lee, E.J.; Kim, B.C. The effects of boric acid on the rheological behavior of time dependent structure formation in PVA/DMSO solutions. Fibers Polym. 2013, 14, 2097–2102. [Google Scholar] [CrossRef]
- Shin, E.J.; Lyoo, W.S.; Lee, Y.H. Effect of boric acid and heat treatment for the formation of poly (vinyl alcohol)/iodine complex films iodinated at solution before casting. J. Appl. Polym. Sci. 2011, 120, 1950–1956. [Google Scholar] [CrossRef]
- Vancoillie, G.; Pelz, S.; Holder, E.; Hoogenboom, R. Direct nitroxide mediated (co)polymerization of 4-vinylphenylboronic acid as route towards sugar sensors. Polym. Chem. 2012, 3, 1726–1729. [Google Scholar] [CrossRef]
- Maji, S.; Vancoillie, G.; Voorhaar, L.; Zhang, Q.; Hoogenboom, R. RAFT polymerization of 4-vinylphenylboronic acid as the basis for micellar sugar sensors. Macromol. Rapid Commun. 2014, 35, 214–220. [Google Scholar] [CrossRef] [PubMed]
- Miao, J.; Li, X.; Yang, Z.; Jiang, C.; Qian, J.; Xu, T. Hybrid membranes from sulphonated poly (2,6-dimethyl-1,4-phenylene oxide) and sulphonated nanosilica for alkali recovery. J. Membr. Sci. 2016, 498, 201–207. [Google Scholar] [CrossRef]
- Satilmis, B.; Lanč, M.; Fuoco, A.; Rizzuto, C.; Tocci, E.; Bernardo, P.; Clarizia, G.; Esposito, E.; Monteleone, M.; Dendisová, M.; et al. Temperature and pressure dependence of gas permeation in amine-modified PIM-1. J. Membr. Sci. 2018, 555, 483–496. [Google Scholar] [CrossRef]
- Marcus, Y. Thermodynamics of solvation of ions. J. Chem. Soc. Faraday Trans. 1991, 87, 2995–2999. [Google Scholar] [CrossRef]






| Dosage of Crosslinking Agent | WR (%) | IEC (mmol/g) |
|---|---|---|
| 0% | 136.0 ± 1.6 | / |
| 1% | 122.1 ± 2.2 | 0.79 ± 0.01 |
| 2% | 194.4 ± 0.5 | 1.07 ± 0.02 |
| 4% | 146.3 ± 0.9 | 1.17 ± 0.01 |
| 8% | 145.4 ± 1.3 | 1.05 ± 0.01 |
| Dosage of Crosslinking Agent | Swelling Degree (%) 100 °C/120 °C | Mass Loss (%) 100 °C/120 °C |
|---|---|---|
| 0% | 305 ± 3/265 ± 3 | 11.6 ± 0.3/9.1 ± 0.3 |
| 1% | 316 ± 5/301 ± 5 | 22.0 ± 1.1/22.0 ± 1.4 |
| 2% | 368 ± 7/324 ± 4 | 10.0 ± 1.1/26.0 ± 0.5 |
| 4% | 358 ± 4/312 ± 3 | 9.20 ± 0.4/6.8 ± 0.4 |
| 8% | 371 ± 3/331 ± 3 | 16.6 ± 2.1/18.0 ± 0.8 |
| Dosage of Boric Acid Copolymer | TS (MPa) 100 °C/120 °C | Eb (%) 100 °C/120 °C |
|---|---|---|
| 0% | 46.3 ± 3.2/19.2 ± 2.8 | 121.1 ± 7.4/153.1 ± 6.8 |
| 1% | 46.8 ± 4.2/20.8 ± 3.4 | 88.1 ± 5.5/172.6 ± 6.2 |
| 2% | 49.9 ± 4.3/16.4 ± 2.6 | 87.0 ± 8.4/121.7 ± 5.4 |
| 4% | 43.6 ± 2.1/14.3 ± 2.3 | 52.4 ± 5.2/105.4 ± 6.4 |
| 8% | 40.7 ± 4.2/15.1 ± 2.1 | 52.1 ± 3.7/98.4 ± 4.4 |
| Membrane Matrix | Separation System | UOH/m·h−1 (25 °C) | S (25 °C) | Reference |
|---|---|---|---|---|
| SPPO | NaOH/Na2WO4 | 0.002–0.0038 | 98–175 | [2] |
| SPPO | NaOH/Na2WO4 | 0.0035–0.0061 | 31.6–37.5 | [4] |
| PVA/SPPO | NaOH/Na2WO4 | 0.007–0.013 | 111 to 181 | [12] |
| PVA | NaOH/Na2WO4 | 0.011–0.022 | 11.6–20.6 | [8] |
| PVA | NaOH/Na2WO4 | 0.0065–0.0086 | 24.4–51.6 | [13] |
| PVA | NaOH/Na2WO4 | 0.006–0.032 | 12.2–36.2 | [11] |
| PVDF | NaOH/Na2WO4 | 0.0008–0.0061 | 12.0–90.3 | [9] |
| CSM | NaOH/Na2WO4 | 0.0018–0.009 | 9.0–32.3 | [10] |
| PVA | NaOH/Na2WO4 | 0.008–0.015 | 15–55 | This research |
© 2018 by the authors. Licensee MDPI, Basel, Switzerland. This article is an open access article distributed under the terms and conditions of the Creative Commons Attribution (CC BY) license (http://creativecommons.org/licenses/by/4.0/).
Share and Cite
Liu, D.; Wang, C.; Miao, J.; Xia, R.; Chen, P.; Cao, M.; Wu, B.; Qian, J. Composite Cationic Exchange Membranes Prepared from Polyvinyl Alcohol (PVA) and Boronic Acid Copolymers for Alkaline Diffusion Dialysis. Materials 2018, 11, 1354. https://doi.org/10.3390/ma11081354
Liu D, Wang C, Miao J, Xia R, Chen P, Cao M, Wu B, Qian J. Composite Cationic Exchange Membranes Prepared from Polyvinyl Alcohol (PVA) and Boronic Acid Copolymers for Alkaline Diffusion Dialysis. Materials. 2018; 11(8):1354. https://doi.org/10.3390/ma11081354
Chicago/Turabian StyleLiu, Dandan, Congwei Wang, Jibin Miao, Ru Xia, Peng Chen, Ming Cao, Bin Wu, and Jiasheng Qian. 2018. "Composite Cationic Exchange Membranes Prepared from Polyvinyl Alcohol (PVA) and Boronic Acid Copolymers for Alkaline Diffusion Dialysis" Materials 11, no. 8: 1354. https://doi.org/10.3390/ma11081354
APA StyleLiu, D., Wang, C., Miao, J., Xia, R., Chen, P., Cao, M., Wu, B., & Qian, J. (2018). Composite Cationic Exchange Membranes Prepared from Polyvinyl Alcohol (PVA) and Boronic Acid Copolymers for Alkaline Diffusion Dialysis. Materials, 11(8), 1354. https://doi.org/10.3390/ma11081354

