Novel Composite Electrolytes of Zr0.92Y0.08O2-α(8YSZ)-Low Melting Point Glass Powder for Intermediate Temperature Solid Oxide Fuel Cells
Abstract
:1. Introduction
2. Experimental
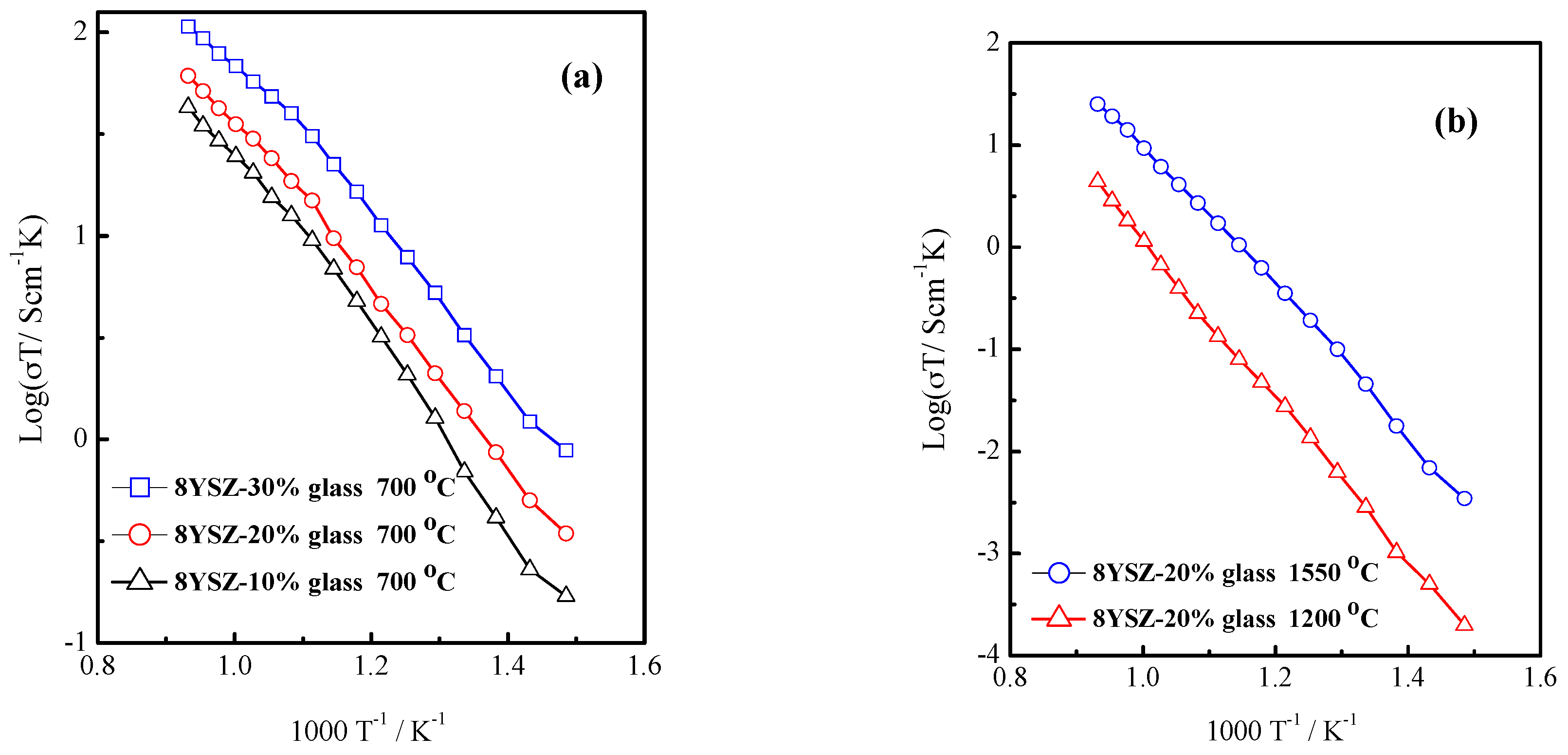
3. Results and Discussion
4. Conclusions
Author Contributions
Funding
Conflicts of Interest
References
- Chen, Y.; Orlovskaya, N.; Payzant, E.A.; Graule, T.; Kuebler, J. A search for temperature induced time-dependent structural transitions in 10 mol% Sc2O3-1 mol% CeO2-ZrO2 and 8 mol% Y2O3-ZrO2 electrolyte ceramics. J. Eur. Ceram. Soc. 2015, 35, 951–958. [Google Scholar] [CrossRef]
- Li, J.; Zhang, H.; Gao, M.; Li, Q.; Bian, W.; Tao, T.; Zhang, H. High-temperature wettability and interactions between Y-containing Ni-based alloys and various oxide ceramics. Materials 2018, 11, 749. [Google Scholar] [CrossRef] [PubMed]
- Fondard, J.; Bertrand, P.; Billard, A.; Fourcade, S.; Batocchi, P.; Mauvy, F.; Bertrand, G.; Briois, P. Manufacturing and testing of a metal supported Ni-YSZ/YSZ/La2NiO4 ITSOFC synthesized by physical surface deposition processes. Solid State Ion. 2017, 310, 10–23. [Google Scholar] [CrossRef]
- Xia, C.; Qiao, Z.; Feng, C.; Kim, J.; Wang, B.; Zhu, B. Study on zinc oxide-based electrolytes in low-temperature solid oxide fuel cells. Materials 2018, 11, 40. [Google Scholar] [CrossRef] [PubMed]
- Mamana, N.; Díaz-Parralejo, A.; Ortiz, A.L.; Sánchez-Bajo, F.; Caruso, R. Influence of the synthesis process on the features of Y2O3-stabilized ZrO2 powders obtained by the sol-gel method. Ceram. Int. 2014, 40, 6421–6426. [Google Scholar] [CrossRef]
- Liu, Z.; Zhao, Z.; Shang, L.; Ou, D.; Cui, D.; Tu, B.; Cheng, M. LSM-YSZ nano-composite cathode with YSZ interlayer for solid oxide fuel cells. J. Energy Chem. 2017, 26, 510–514. [Google Scholar] [CrossRef]
- Dankeaw, A.; Poungchan, G.; Panapoy, M.; Ksapabutr, B. In-situ one-step method for fabricating three-dimensional grass-like carbon-doped ZrO2 films for room temperature alcohol and acetone sensors. Sens. Actuators B Chem. 2017, 242, 202–214. [Google Scholar] [CrossRef]
- Liu, X.Y.; Xu, Z.H.; Liang, G.Y. Comparative study of the sintering behaviors between YSZ and LZ/YSZ composite. Mater. Lett. 2017, 191, 108–111. [Google Scholar] [CrossRef]
- Raghvendra; Singh, P. Electrical conductivity of YSZ-SDC composite solid electrolyte synthesized via glycine-nitrate method. Ceram. Int. 2017, 43, 11692–11698. [Google Scholar] [CrossRef]
- Bueta, F.R.; Imperial, J.F.; Cervera, R.B. Structure and conductivity of NiO/YSZ composite prepared via modified glycine-nitrate process at varying sintering temperatures. Ceram. Int. 2017, 43, 16174–16177. [Google Scholar] [CrossRef]
- Elmouwahidi, A.; Bailón-García, E.; Pérez-Cadenas, A.F.; Maldonado-Hódar, F.J.; Castelo-Quibén, J.; Carrasco-Marín, F. Electrochemical performances of supercapacitors from carbon-ZrO2 composites. Electrochim. Acta 2018, 259, 803–814. [Google Scholar] [CrossRef]
- Moon, H.; Kim, S.D.; Hyun, S.H.; Kim, H.S. Characteristics of SOFC single cells with anode active layer via tape casting and cofiring. Int. J. Hydrogen Energy 2008, 33, 2826–2833. [Google Scholar] [CrossRef]
- Song, J.H.; Park, S.I.; Lee, J.H. Fabrication characteristics of an anode-supported thin-film electrolyte fabricated by the tape casting method for IT-SOFC. J. Mater. Process. Technol. 2008, 198, 414–418. [Google Scholar] [CrossRef]
- Rath, M.K.; Jung, Y.M.; Park, J.H.; Joh, D.W.; Lee, K.T. Heterogeneous nanograin structured NiO-YSZ anodes via a water-in-oil microemulsion route for solid oxide fuel cells. J. Alloys Compd. 2017, 723, 681–688. [Google Scholar] [CrossRef]
- Habibnia, M.; Shakeri, M.; Nourouzi, S. Determination of the effective parameters on the fuel cell efficiency, based on sealing behavior of the system. Int. J. Hydrogen Energy 2016, 41, 18147–18156. [Google Scholar] [CrossRef]
- Gödekea, D.; Dahlmann, U. Study on the crystallization behaviour and thermal stability of glass-ceramics used as solid oxide fuel cell-sealing materials. J. Power Sources 2011, 196, 9046–9050. [Google Scholar] [CrossRef]
- Rautanen, M.; Pulkkinen, V.; Tallgren, J.; Himanen, O.; Kiviaho, J. Effects of the first heat up procedure on mechanical properties of solid oxide fuel cell sealing materials. J. Power Sources 2015, 284, 511–516. [Google Scholar] [CrossRef]
- Ertugrul, T.Y.; Celika, S.; Mat, M.D. Optimum processing parameters to improve sealing performance in solid oxide fuel cells. Ceram. Int. 2015, 41, 9834–9842. [Google Scholar] [CrossRef]
- Shi, R.; Liu, J.; Wang, H.; Wu, F.; Miao, H. Intermediate temperature fuel cell durability of Eu-doped SrCeO3-SrZrO3 solid solution/NaCl-KCl composite electrolyte. Ceram. Int. 2017, 43, 16931–16935. [Google Scholar] [CrossRef]
- Sun, L.; Wang, H.; Sheng, L.; Li, H. Gadolinium doped strontium cerate prepared by citric-nitrate auto-combustion process and intermediate temperature electrical properties of its composite electrolyte. Int. J. Electrochem. Sci. 2017, 12, 9689–9696. [Google Scholar] [CrossRef]
- Guan, Q.; Wang, H.; Miao, H.; Sheng, L.; Li, H. Synthesis and conductivity of strontium cerate doped by erbium oxide and its composite electrolyte for intermediate temperature fuel cell. Ceram. Int. 2017, 43, 9317–9321. [Google Scholar] [CrossRef]
- Shi, R.; Liu, J.; Wang, H.; Wu, F.; Miao, H.; Cui, Y. Low temperature synthesis of SrCe0.9Eu0.1O3−α by sol-gel method and SrCe0.9Eu0.1O3−α-NaCl-KCl composite electrolyte for intermediate temperature fuel cells. Int. J. Electrochem. Sci. 2017, 12, 11594–11601. [Google Scholar] [CrossRef]
- Zhang, W.; Yuan, M.; Wang, H.; Liu, J. High-performance intermediate temperature fuel cells of new SrCe0.9Yb0.1O3−α-inorganic salt composite electrolytes. J. Alloys Compd. 2016, 677, 38–41. [Google Scholar] [CrossRef]
- Matsuda, A.; Oh, S.; Nguyen, V.H.; Daiko, Y.; Kawamura, G.; Muto, H. Anhydrous proton conductivity of KHSO4-H3PW12O40 composites and the correlation with hydrogen bonding distance under ambient pressure. Electrochim. Acta 2011, 56, 9364–9369. [Google Scholar] [CrossRef]
- Soo, M.T.; Prastomo, N.; Matsuda, A.; Kawamura, G.; Muto, H.; Noor, A.F.M.; Lockman, Z.; Cheong, K.Y. Elaboration and characterization of sol-gel derived ZrO2 thin films treated with hot water. Appl. Surf. Sci. 2012, 258, 5250–5258. [Google Scholar] [CrossRef]
- Miranda, M.I.G.; Bica, C.I.D.; Nachtigall, S.M.B.; Rehman, N.; Rosa, S.M.L. Kinetical thermal degradation study of maize straw and soybean hull celluloses by simultaneous DSC–TGA and MDSC techniques. Thermochim. Acta 2013, 565, 65–71. [Google Scholar] [CrossRef]
- Huang, S.; Sheng, J.J. An innovative method to build a comprehensive kinetic model for air injection using TGA/DSC experiments. Fuel 2017, 210, 98–106. [Google Scholar] [CrossRef]
- Mori, M.; Hiei, Y.; Itoh, H.; Tompsett, G.A.; Sammes, N.M. Evaluation of Ni and Ti-doped Y2O3 stabilized ZrO2 cermet as an anode in high-temperature solid oxide fuel cells. Solid State Ion. 2003, 160, 1–14. [Google Scholar] [CrossRef]
- Yoon, S.; Noh, T.; Kim, W.; Choi, J.; Lee, H. Structural parameters and oxygen ion conductivity of Y2O3-ZrO2 and MgO-ZrO2 at high temperature. Ceram. Int. 2013, 39, 9247–9251. [Google Scholar] [CrossRef]
- Meng, X.; Gong, X.; Yang, N.; Tan, X.; Yin, Y.; Ma, Z. Fabrication of Y2O3-stabilized-ZrO2 (YSZ)/La0.8Sr0.2MnO3−δ-YSZ dual-layer hollow fibers for the cathode-supported micro-tubular solid oxide fuel cells by a co-spinning/co-sintering technique. J. Power Sources 2013, 237, 277–284. [Google Scholar] [CrossRef]
- Roehrens, D.; Packbier, U.; Fang, Q.; Blum, L.; Sebold, D.; Bram, M.; Menzler, N. Operation of thin-film electrolyte metal-supported solid oxide fuel cells in lightweight and stationary stacks: Material and microstructural aspects. Materials 2016, 9, 762. [Google Scholar] [CrossRef] [PubMed]
- Kusnezoff, M.; Trofimenko, N.; Müller, M.; Michaelis, A. Influence of electrode design and contacting layers on performance of electrolyte supported SOFC/SOEC single cells. Materials 2016, 9, 906. [Google Scholar] [CrossRef] [PubMed]









| Sample | Synthesis Temperature | Abbreviation |
|---|---|---|
| Zr0.92Y0.08O2−α-10 wt% low melting point glass | 700 °C | 8YSZ-10% glass 700 °C |
| Zr0.92Y0.08O2−α-20 wt% low melting point glass | 700 °C | 8YSZ-20% glass 700 °C |
| Zr0.92Y0.08O2−α-30 wt% low melting point glass | 700 °C | 8YSZ-30% glass 700 °C |
| Zr0.92Y0.08O2−α-20 wt% low melting point glass | 1200 °C | 8YSZ-20% glass 1200 °C |
| Zr0.92Y0.08O2−α-20 wt% low melting point glass | 1550 °C | 8YSZ-20% glass 1550 °C |
© 2018 by the authors. Licensee MDPI, Basel, Switzerland. This article is an open access article distributed under the terms and conditions of the Creative Commons Attribution (CC BY) license (http://creativecommons.org/licenses/by/4.0/).
Share and Cite
Wang, H.; Du, R.; Shi, R.; Liu, J. Novel Composite Electrolytes of Zr0.92Y0.08O2-α(8YSZ)-Low Melting Point Glass Powder for Intermediate Temperature Solid Oxide Fuel Cells. Materials 2018, 11, 1221. https://doi.org/10.3390/ma11071221
Wang H, Du R, Shi R, Liu J. Novel Composite Electrolytes of Zr0.92Y0.08O2-α(8YSZ)-Low Melting Point Glass Powder for Intermediate Temperature Solid Oxide Fuel Cells. Materials. 2018; 11(7):1221. https://doi.org/10.3390/ma11071221
Chicago/Turabian StyleWang, Hongtao, Ruifeng Du, Ruijuan Shi, and Junlong Liu. 2018. "Novel Composite Electrolytes of Zr0.92Y0.08O2-α(8YSZ)-Low Melting Point Glass Powder for Intermediate Temperature Solid Oxide Fuel Cells" Materials 11, no. 7: 1221. https://doi.org/10.3390/ma11071221
APA StyleWang, H., Du, R., Shi, R., & Liu, J. (2018). Novel Composite Electrolytes of Zr0.92Y0.08O2-α(8YSZ)-Low Melting Point Glass Powder for Intermediate Temperature Solid Oxide Fuel Cells. Materials, 11(7), 1221. https://doi.org/10.3390/ma11071221

