Acoustic Anomalies and Phase Transition Behaviors of Lead-Free Piezoelectric (Na1/2Bi1/2)TiO3-xBaTiO3 Single Crystals as Revealed by Brillouin Light Scattering
Abstract
1. Introduction
2. Results
2.1. Brillouin Scattering Spectrum
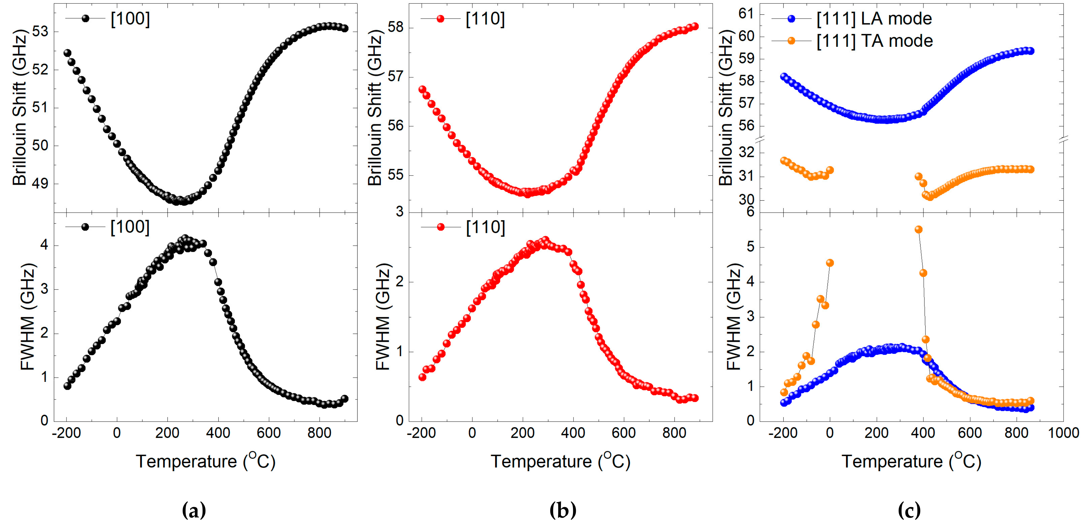
2.2. Acoustic Mode Behaviors
2.3. Quasielastic Central Peaks
2.4. Effect of BT Composition on Acoustic Anomalies
2.5. Effect of Electric Field on Acoustic Anomalies
3. Discussion
4. Materials and Methods
4.1. Materials
4.2. Methods
5. Conclusions
Author Contributions
Funding
Conflicts of Interest
References
- Jaffe, B.; Cook, W.R.; Jaffe, H. Piezoelectric Ceramics, 1st ed.; Academic Press Ltd.: London, UK, 1971; ISBN 0-12-379550-8. [Google Scholar]
- Park, S.E.; Shrout, T.R. Ultrahigh strain and piezoelectric behavior in relaxor based ferroelectric single crystals. J. Appl. Phys. 1997, 82, 1804–1811. [Google Scholar] [CrossRef]
- Saito, Y.; Takao, H.; Tani, T.; Nonoyama, T.; Takatori, K.; Homma, T.; Nagaya, T.; Nakamura, M. Lead-free piezoceramics. Nature 2004, 432, 84–87. [Google Scholar] [CrossRef] [PubMed]
- Takenaka, T.; Maruyama, K.I.; Sakata, K. (Na0.5Bi0.5)TiO3–BaTiO3 System for Lead-Free Piezoelectric Ceramics. Jpn. J. Appl. Phys. 1991, 30, 2236–2239. [Google Scholar] [CrossRef]
- Chen, C.; Jiang, X.; Li, Y.; Wang, F.; Zhang, Q.; Luo, H. Growth and electrical properties of (Na1/2Bi1/2)TiO3–BaTiO3 lead-free single crystal with morphotropic phase boundary composition. J. Appl. Phys. 2010, 108, 124106. [Google Scholar] [CrossRef]
- Jo, W.; Schaab, S.; Sapper, E.; Schmitt, L.A.; Kleebe, H.-J.; Bell, A.; Rödel, J. On the phase identity and its thermal evolution of lead free (Bi1/2Na1/2)TiO3–6 mol% BaTiO3. J. Appl. Phys. 2011, 110, 074106. [Google Scholar] [CrossRef]
- Jo, W.; Daniels, J.E.; Jones, J.L.; Tan, X.; Thomas, P.A.; Damjanovic, D.; Rödel, J. Evolving morphotropic phase boundary in lead-free (Bi1/2Na1/2)TiO3–BaTiO3 piezoceramics. J. Appl. Phys. 2011, 109, 014110. [Google Scholar] [CrossRef]
- Luo, L.; Ge, W.; Li, J.; Viehland, D.; Farley, C.; Bodnar, R.; Zhang, Q.; Luo, H. Raman spectroscopic study of (Na1/2Bi1/2)TiO3–x%BaTiO3 single crystals as a function of temperature and composition. J. Appl. Phys. 2011, 109, 113507. [Google Scholar] [CrossRef]
- Yao, J.; Monsegue, N.; Murayama, M.; Leng, W.; Reynolds, W.; Zhang, Q.; Luo, H.; Li, J.; Ge, W.; Viehland, D. Role of coexisting tetragonal regions in the rhombohedral phase of (Na1/2Bi1/2)TiO3–xat.%BaTiO3 crystals on enhanced piezoelectric properties on approaching the morphotropic phase boundary. Appl. Phys. Lett. 2012, 100, 012901. [Google Scholar] [CrossRef]
- Ma, C.; Guo, H.; Beckman, S.P.; Tan, X. Creation and Destruction of Morphotropic Phase Boundaries through Electrical Poling: A Case Study of Lead-Free (Bi1/2Na1/2)TiO3–BaTiO3 Piezoelectrics Phys. Rev. Lett. 2012, 109, 107602. [Google Scholar] [CrossRef] [PubMed]
- Ranjan, R.; Dviwedi, A. Structure and dielectric properties of (Na0.5Bi0.5)1-xBaxTiO3: 0 ≤ x ≤ 0.10. Solid State Commun. 2005, 135, 394–399. [Google Scholar] [CrossRef]
- Groszewicz, P.B.; Breitzke, H.; Dittmer, R.; Sapper, E.; Jo, W.; Buntkowsky, G.; Rödel, J. Nanoscale phase quantification in lead-free (Bi1/2Na1/2)TiO3–BaTiO3 relaxor ferroelectrics by means of 23Na NMR. Phys. Rev. B 2014, 90, 220104. [Google Scholar] [CrossRef]
- Ge, W.; Luo, C.; Devreugd, C.P.; Zhang, Q.; Ren, Y.; Li, J.; Luo, H.; Viehland, D. Direct evidence of correlations between relaxor behavior and polar nano-regions in relaxor ferroelectrics: A case study of lead-free piezoelectrics (Na0.5Bi0.5)TiO3–x%BaTiO3. Appl. Phys. Lett. 2013, 103, 241914. [Google Scholar] [CrossRef]
- Luo, C.; Bansal, D.; Li, J.; Viehland, D.; Winn, B.; Ren, Y.; Li, X.; Luo, H.; Delaire, O. Neutron and X-ray scattering study of phonon dispersion and diffuse scattering in (Na, Bi)TiO3–xBaTiO3 single crystals near the morphotropic phase boundary. Phys. Rev. B 2017, 96, 174108. [Google Scholar] [CrossRef]
- Pforr, F.; Meyer, K.-C.; Major, M.; Albe, K.; Donner, W.; Stuhr, U.; Ivanov, A. Relaxation of dynamically disordered tetragonal platelets in the relaxor ferroelectric 0.964Na1/2Bi1/2TiO3–0.036BaTiO3. Phys. Rev. B 2017, 96, 184107. [Google Scholar] [CrossRef]
- Groszewicz, P.B.; Gröting, M.; Breitzke, H.; Jo, W.; Albe, K.; Buntkowsky, B.; Rödel, J. Reconciling Local Structure Disorder and the Relaxor State in (Bi1/2Na1/2)TiO3–BaTiO3. Sci. Rep. 2016, 6, 31739. [Google Scholar] [CrossRef] [PubMed]
- Dainels, J.E.; Jo, W.; Rödel, J.; Rytz, D.; Donner, W. Structural origins of relaxor behavior in a 0.96(Bi1/2Na1/2)TiO3–0.04BaTiO3 single crystal under electric field. Appl. Phys. Lett. 2011, 98, 252904. [Google Scholar] [CrossRef]
- Jo, W.; Daniels, J.; Damjanovic, D.; Kleemann, W.; Rödel, J. Two-stage processes of electrically induced-ferroelectric to relaxor transition in 0.94(Bi1/2Na1/2)TiO3–0.06BaTiO3. Appl. Phys. Lett. 2013, 102, 192903. [Google Scholar] [CrossRef]
- Zhang, Q.; Zhang, Y.; Wang, F.; Wang, Y.; Lin, D.; Zhao, X.; Luo, H.; Ge, W.; Viehland, D. Enhanced piezoelectric and ferroelectric properties in Mn-doped Na1/2Bi1/2TiO3–BaTiO3 single crystals. Appl. Phys. Lett. 2009, 95, 102904. [Google Scholar] [CrossRef]
- Zhang, Q.; Zhang, Y.; Wang, F.; Lin, D.; Li, X.; Zhao, X.; Luo, H. Growth and electric properties of 0.96Na0.5Bi0.5TiO3–0.04BaTiO3 single crystal. J. Cryst. Growth 2010, 312, 457–460. [Google Scholar] [CrossRef]
- Rout, D.; Moon, K.S.; Rao, V.S.; Kang, S.J. Study of the morphotropic phase boundary in the lead-free Na1/2Bi1/2TiO3–BaTiO3 system by Raman spectroscopy. J. Ceram. Soc. Jpn. 2009, 117, 797–800. [Google Scholar] [CrossRef]
- Eerd, B.W.; Damjanovic, D.; Klein, N.; Setter, N.; Trodahl, J. Structural complexity of (Na0.5Bi0.5)TiO3–BaTiO3 as revealed by Raman spectroscopy. Phys. Rev. B 2010, 82, 104112. [Google Scholar] [CrossRef]
- De la Flor, G.; Malcherek, T.; Gorfman, S.; Mihailova, B. Structural transformations in (1 − x)Na0.5Bi0.5TiO3–xBaTiO3 single crystals studied by Raman spectroscopy. Phys. Rev. B 2017, 96, 214102. [Google Scholar] [CrossRef]
- Onda, Y.; Tsukada, S.; Hidaka, Y.; Kojima, S. Elastic Anomalies and Diffuse Phase Transitions of (1 − x)Na0.5Bi0.5TiO3–xBaTiO3 Single Crystals Studied by Brillouin Scattering Spectroscopy. Ferroelectrics 2010, 405, 62–66. [Google Scholar] [CrossRef]
- Lee, B.W.; Ko, J.-H.; Li, X.; Luo, H. Elastic Properties of Lead-Free (Na1/2Bi1/2)TiO3–BaTiO3 Single Crystals near the Morphotropic Phase Boundary Studied by Brillouin Spectroscopy. J. Korean Phys. Soc. 2015, 66, 1350–1354. [Google Scholar] [CrossRef]
- Lee, B.W.; Ko, J.-H.; Li, X.; Luo, H. Phase Transition Behaviors of Lead-Free (Na1/2Bi1/2)TiO3–BaTiO3 Single Crystals Studied by Inelastic Light Scattering Spectroscopy. Ferroelectrics 2016, 490, 43–50. [Google Scholar] [CrossRef]
- Lee, B.W.; Ko, J.-H.; Li, X.; Luo, H. Relaxation dynamics of lead-free (Na1/2Bi1/2)TiO3–BaTiO3 single crystals studied by Brillouin scattering. Physica B 2016, 498, 72–75. [Google Scholar] [CrossRef]
- Cordero, F. Elastic Properties and Enhanced Piezoelectric Response at Morphotropic Phase Boundaries. Materials 2015, 8, 8195. [Google Scholar] [CrossRef] [PubMed]
- Kim, T.H.; Yoo, H.; Ko, J.-H. Acoustic Anomalies and Fast Relaxation Dynamics of Amorphous Progesterone as Revealed by Brillouin Light Scattering. Materials 2017, 10, 1426. [Google Scholar] [CrossRef] [PubMed]
- Bokov, A.A.; Ye, Z.-G. Recent progress in relaxor ferroelectrics with perovskite structure. J. Mater. Sci. 2006, 41, 31–52. [Google Scholar] [CrossRef]
- Ko, J.-H.; Kojima, S.; Lushnikov, S.G. Different dynamic behaviors of Pb(Mg1/3Ta2/3)O3 and Ba(Mg1/3Ta2/3)O3 single crystals studied by micro-Brillouin scattering and dielectric spectroscopy. Appl. Phys. Lett. 2003, 82, 4128–4130. [Google Scholar] [CrossRef]
- Lushnikov, S.G.; Fedoseev, A.I.; Gvasaliya, S.N.; Kojima, S. Anomalous dispersion of the elastic constants at the phase transformation of the PbMg1/3Nb2/3O3 relaxor ferroelectric. Phys. Rev. B 2008, 77, 104122. [Google Scholar] [CrossRef]
- Ko, J.-H.; Kim, D.H.; Tsukada, S.; Kojima, S.; Bokov, A.A.; Ye, Z.-G. Crossover in the mechanism of ferroelectric phase transition of Pb[(Mg1/3Nb2/3)1-xTix]O3 single crystals studied by Brillouin light scattering. Phys. Rev. B 2010, 82, 104110. [Google Scholar] [CrossRef]
- Rehwald, W. The study of structural phase transitions by means of ultrasonic experiments. Adv. Phys. 1973, 22, 721–755. [Google Scholar] [CrossRef]
- Ko, J.-H.; Kim, D.H.; Kojima, S. Correlation between the dynamics of polar nanoregions and temperature evolution of central peaks in Pb[(Zn1/3Nb2/3)0.91Ti0.09]O3 ferroelectric relaxors. Appl. Phys. Lett. 2007, 90, 112904. [Google Scholar] [CrossRef]
- Petzelt, J.; Kamba, S.; Fábry, J.; Noujni, D.; Porokhonskyy, V.; Pashkin, A.; Franke, I.; Roleder, K.; Suchanicz, J.; Klein, R. Infrared, Raman and high-frequency dielectric spectroscopy and the phase transitions in Na1/2Bi1/2TiO3. J. Phys. Condens. Matter. 2004, 16, 2719. [Google Scholar] [CrossRef]
- Tsukada, S.; Kojima, S. Broadband light scattering of two relaxation processes in relaxor ferroelectric 0.93Pb(Zn1/3Nb2/3)O3-0.07PbTiO3 single crystals. Phys. Rev. B 2008, 78, 144106. [Google Scholar] [CrossRef]
- Ko, J.-H.; Kim, T.H.; Roleder, K.; Rytz, D.; Kojima, S. Precursor dynamics in the ferroelectric phase transition of barium titanate single crystals studied by Brillouin light scattering. Phys. Rev. B 2011, 84, 094123. [Google Scholar] [CrossRef]
- Ko, J.-H.; Jeong, M.-S.; Lee, B.W.; Kim, J.H.; Ko, Y.H.; Kim, K.J.; Kim, T.H.; Kojima, S.; Ahart, M. Pressure Dependence of Acoustic Properties of Liquid Ethanol by using High-pressure Brillouin Spectroscopy. Korean J. Opt. Photon. 2013, 24, 279–286. [Google Scholar] [CrossRef]
- Oh, S.H.; Cho, B.J.; Jeong, M.S.; Ko, J.-H. Evaluation of the isothermal curing process of UV-cured resin in terms of elasticity studied through micro-Brillouin light scattering. J. Inf. Disp. 2016, 17, 87–91. [Google Scholar] [CrossRef]






© 2018 by the authors. Licensee MDPI, Basel, Switzerland. This article is an open access article distributed under the terms and conditions of the Creative Commons Attribution (CC BY) license (http://creativecommons.org/licenses/by/4.0/).
Share and Cite
Lee, B.W.; Oh, S.H.; Ko, J.-H.; Li, X.; Luo, H. Acoustic Anomalies and Phase Transition Behaviors of Lead-Free Piezoelectric (Na1/2Bi1/2)TiO3-xBaTiO3 Single Crystals as Revealed by Brillouin Light Scattering. Materials 2018, 11, 1000. https://doi.org/10.3390/ma11061000
Lee BW, Oh SH, Ko J-H, Li X, Luo H. Acoustic Anomalies and Phase Transition Behaviors of Lead-Free Piezoelectric (Na1/2Bi1/2)TiO3-xBaTiO3 Single Crystals as Revealed by Brillouin Light Scattering. Materials. 2018; 11(6):1000. https://doi.org/10.3390/ma11061000
Chicago/Turabian StyleLee, Byoung Wan, Soo Han Oh, Jae-Hyeon Ko, Xiaobing Li, and Haosu Luo. 2018. "Acoustic Anomalies and Phase Transition Behaviors of Lead-Free Piezoelectric (Na1/2Bi1/2)TiO3-xBaTiO3 Single Crystals as Revealed by Brillouin Light Scattering" Materials 11, no. 6: 1000. https://doi.org/10.3390/ma11061000
APA StyleLee, B. W., Oh, S. H., Ko, J.-H., Li, X., & Luo, H. (2018). Acoustic Anomalies and Phase Transition Behaviors of Lead-Free Piezoelectric (Na1/2Bi1/2)TiO3-xBaTiO3 Single Crystals as Revealed by Brillouin Light Scattering. Materials, 11(6), 1000. https://doi.org/10.3390/ma11061000

