Flexural Progressive Failure of Carbon/Glass Interlayer and Intralayer Hybrid Composites
Abstract
:1. Introduction
2. Materials and Methods
2.1. Experimental Materials
2.2. Layer Structures Schemes of Interlayer and Intralayer Hybrid Composites
2.3. Experiments
3. Results and Discussion
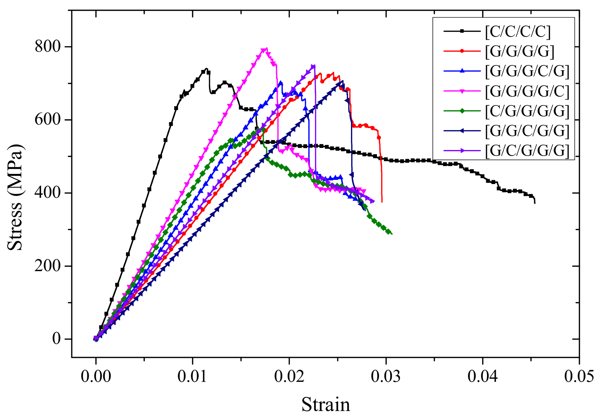
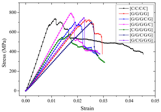
3.1. Flexural Failure Modes of Carbon and Glass Fiber Composites
3.2. Flexural Progressive Failure Modes of Interlayer Hybrid Composites
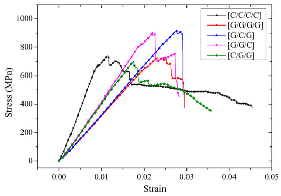
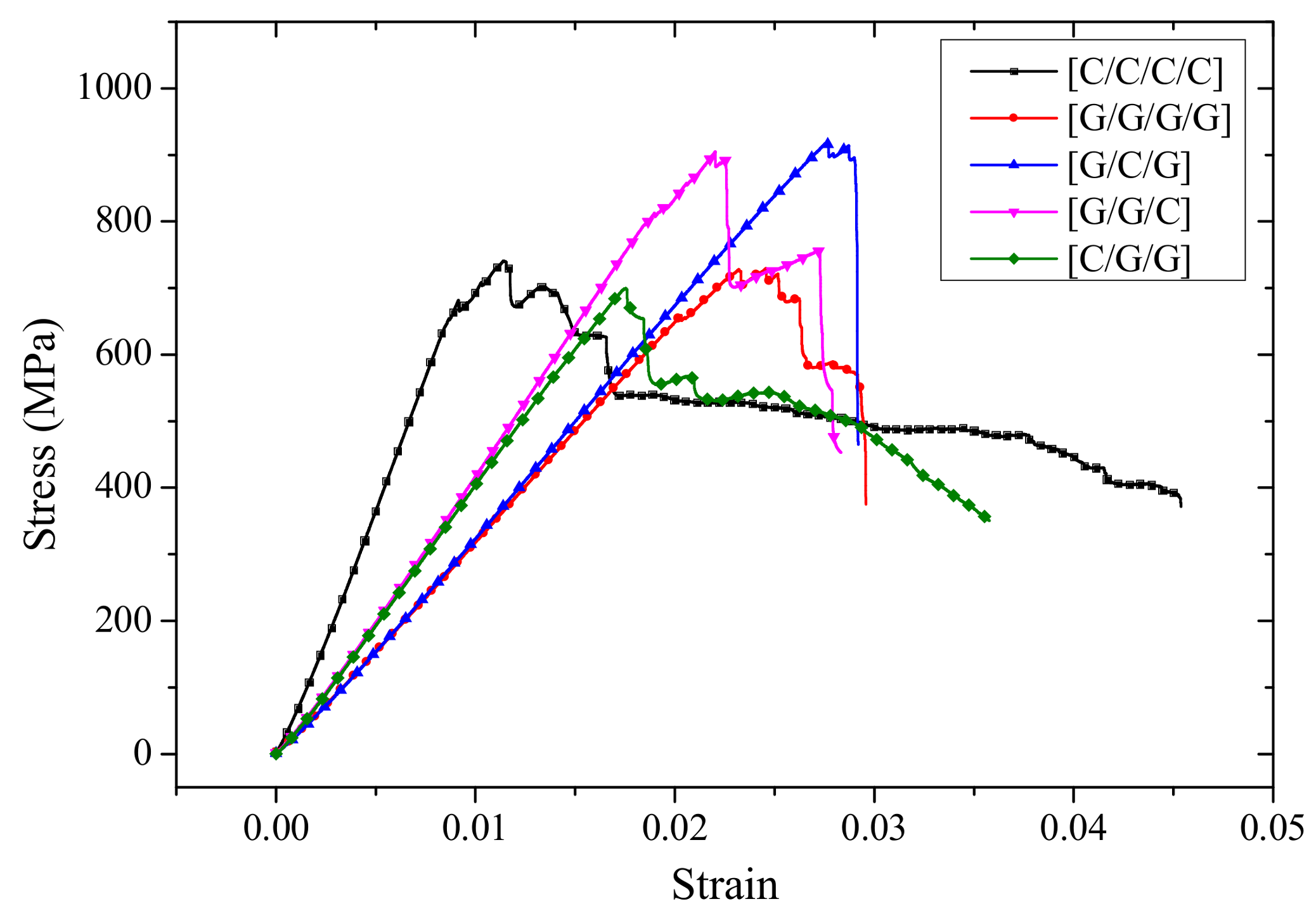
3.3. Flexural Progressivefailure Modes of Intralayer Hybrid Composites
4. Conclusions
- The bending force of pure carbon fiber composites shows a mild decline after the failure, and the failure fracture is featured with a low intensity and high frequency for a long time. The force decline of pure glass fiber composites appears more sharply, while the failure sound release is featured with a high intensity and low frequency for a short time. An inverted triangular failure zone appears for both carbon and glass fiber composites.
- The progressive failure modes of interlayer hybrid composites are determined by the layup structure. As carbon fiber locates at the top surface for four C/G hybrid ratios of interlayer hybrid composites, the failure start point is early and the force/stress shows a multi-stage slightly fluctuating decline, the failure area exhibits a diamond shape. As carbon fiber distributes in the middle or bottom layers, and the failure start time is late, and the failure process exhibits a one-stage sharp force/stress drop, the fracture zone of glass fiber above the carbon layers presents an inverted trapezoid shape, while the fracture of glass fiber below the carbon layers exhibits an inverted triangular shape.
- The mixed ratio plays a dominating role for intralayer hybrid composites in the bending failure, and intralayer hybrid composites could be considered as the mixed forms of four structures, including [C/C/C/C], [G/G/G/G], [C/G/C/G], [G/C/G/C]. As carbon fiber content increases, the failure time starts early and the fracture sound release is featured with a low intensity and high frequency for a long time, and the bending force shows a multi-stage fluctuating decline due to the different failure order of carbon and glass fiber. By contrast, as glass fiber content increases, the high strain of glass fiber delays the bending failure, and the fracture sound release exhibits a multi-stage sharp decline with a high amplitude and low frequency for a short time.
Acknowledgments
Author Contributions
Conflicts of Interest
References
- Leong, K.H. The potential of knitting for engineering composites—A review. Compos. Part A 2000, 31, 197–220. [Google Scholar] [CrossRef]
- Kamiya, R. Some recent advances in the fabrication and design of three-dimensional textile preforms: A review. Compos. Sci. Technol. 2000, 60, 33–47. [Google Scholar] [CrossRef]
- Oya, N.; Hamada, H. Effects of reinforcing fibre properties on various mechanical behaviors of unidirectional carbon/epoxy laminates. Sci. Eng. Compos. Mater. 1996, 5, 105–130. [Google Scholar] [CrossRef]
- Davies, I.J. Flexural failure of unidirectional hybrid fibre-reinforced polymer (FRP) composites containing different grades of glass fibre. Adv. Mater. Res. 2008, 41, 357–362. [Google Scholar]
- Zweben, C. Tensile strength of hybrid composites. J. Mater. Sci. 1977, 12, 1325–1337. [Google Scholar] [CrossRef]
- Manders, P.W.; Bader, M.G. The strength of hybrid glass/carbon fibre composites. J. Mater. Sci. 1981, 16, 2233–2245. [Google Scholar] [CrossRef]
- Sudarisman; Miguel, B.D.S.; Davies, I.J. The effect of partial substitution of E-glass fibre for carbon fibre on the mechanical properties of CFRP composites. In Proceedings of the International Conference on Materials and Metallurgical Technology, Surabaya, Indonesia, 24–25 June 2009. [Google Scholar]
- Dong, C.; Davies, I.J. Flexural and tensile strengths of unidirectional hybrid epoxy composites reinforced by S-2 glass and T700S carbon fibres. Mater. Des. 2014, 54, 955–966. [Google Scholar] [CrossRef]
- Kalantari, M.; Dong, C.; Davies, I.J. Numerical investigation of the hybridisation mechanism in fibre reinforced hybrid composites subjected to flexural load. Compos. Part B 2016, 102, 100–111. [Google Scholar] [CrossRef]
- Subagia, I.D.G.A.; Kim, Y. A study on flexural properties of carbon-basalt/epoxy hybrid composites. J. Mech. Sci. Technol. 2013, 27, 987–992. [Google Scholar] [CrossRef]
- Dorigato, A.; Pegoretti, A. Flexural and impact behaviour of carbon/basalt fibers hybrid laminates. J. Compos. Mater. 2013, 48, 1121–1130. [Google Scholar] [CrossRef]
- Subagia, I.D.G.A. Effect of stacking sequence on the flexural properties of hybrid composites reinforced with carbon and basalt fibers. Compos. Part B 2014, 58, 251–258. [Google Scholar] [CrossRef]
- Najafi, M.; Khalili, S.M.R.; Eslami-Farsani, R. Hybridization effect of basalt and carbon fibers on impact and flexural properties of phenolic composites. Iran. Polym. J. 2014, 23, 767–773. [Google Scholar] [CrossRef]
- Davies, I.J.; Hamada, H. Flexural properties of a hybrid polymer matrix composite containing carbon and silicon carbide fibres. Adv. Compos. Mater. 2001, 10, 77–96. [Google Scholar] [CrossRef]
- Davies, I.J.; Hamada, H.; Shibuya, M. Flexural and compressive properties of polymer matrix composites containing a mixture of carbon and silicon carbide fibres: Part 2—Compression. In Proceedings of the U.S.-Japan Conference on Composite Materials, Tokyo, Japan, 3–4 July 2000. [Google Scholar]
- Zhao, S. Investigation on the mechanical properties of SMA/GF/epoxy hybrid composite laminates: Flexural, impact, and interfacial shear performance. Materials 2018, 11, 246. [Google Scholar] [CrossRef] [PubMed]
- Wan, Y.Z. Characterization of three-dimensional braided carbon/Kevlar hybrid composites for orthopedic usage. Mater. Sci. Eng. A 2005, 398, 227–232. [Google Scholar] [CrossRef]
- Elbaky, M.A.A.; Attia, M.A.; Kamel, M. Flexural fatigue and failure probability analysis of polypropylene-glass hybrid fibres reinforced epoxy composite laminates. Plast. Rubber Compos. 2018, 47, 47–64. [Google Scholar]
- Park, R.; Jang, J. Stacking sequence effect of aramid–UHMPE hybrid composites by flexural test method: Material properties. Polym. Test. 1998, 16, 549–562. [Google Scholar] [CrossRef]
- Ramana, M.V.; Ramprasad, S. Experimental investigation on jute/carbon fibre reinforced epoxy based hybrid composites. Mater. Today Proc. 2017, 4, 8654–8664. [Google Scholar] [CrossRef]
- Bhoopathi, R. Physical properties of glass-hemp-banana hybrid fiber reinforced polymer composites. Indian J. Sci. Technol. 2017, 10. [Google Scholar] [CrossRef]
- Murdani, A.; Hadi, S.; Amrullah, U.S. Flexural properties and vibration behavior of jute/glass/carbon fiber reinforced unsaturated polyester hybrid composites for wind turbine blade. Key Eng. Mater. 2017, 748, 62–68. [Google Scholar] [CrossRef]
- Sreekala, M.S. The mechanical performance of hybrid phenol-formaldehyde-based composites reinforced with glass and oil palm fibres. Compos. Sci. Technol. 2002, 62, 339–353. [Google Scholar] [CrossRef]
- Jiang, H. Mechanical properties of poly(vinyl chloride)/wood flour/glass fiber hybrid composites. J. Vinyl Addit. Technol. 2003, 9, 138–145. [Google Scholar] [CrossRef]
- Haneefa, A. Studies on tensile and flexural properties of short banana/glass hybrid fiber reinforced polystyrene composites. J. Compos. Mater. 2008, 42, 1471–1489. [Google Scholar] [CrossRef]
- Kumar, K.P.; Sekaran, A.S.J.; Pitchandi, K. Investigation on mechanical properties of woven alovera/sisal/kenaf fibres and their hybrid composites. Bull. Mater. Sci. 2017, 40, 117–128. [Google Scholar] [CrossRef]
- Priya, S.P.; Rai, S.K. Mechanical performance of biofiber/glass-reinforced epoxy hybrid composites. J. Ind. Text. 2006, 35, 217–226. [Google Scholar] [CrossRef]
- Reddy, M.I.; Kumar, M.A.; Raju, C.R.B. Tensile and flexural properties of jute, pineapple leaf and glass fiber reinforced polymer matrix hybrid composites. Mater. Today Proc. 2018, 5, 458–462. [Google Scholar] [CrossRef]
- Ikbal, H.; Wang, Q.T.; Li, W. Effect of Glass/Carbon Ratios and Laminate Geometry on Flexural Properties of Glass/Carbon Fiber Hybrid Composites. In Proceedings of the International Conference on Materials Chemistry and Environmental Protection, Sanya, China, 19–21 December 2015. [Google Scholar]
- Dong, C.; Ranaweera-Jayawardena, H.A.; Davies, I.J. Flexural properties of hybrid composites reinforced by S-2 glass and T700S carbon fibres. Compos. Part B 2012, 43, 573–581. [Google Scholar] [CrossRef]
- Giancaspro, J.W.; Papakonstantinou, C.G.; Balaguru, P.N. Flexural response of inorganic hybrid composites with E-glass and carbon fibers. J. Eng. Mater. Technol. 2010, 132, 179–181. [Google Scholar] [CrossRef]
- Reis, P.N.B. Flexural behaviour of hybrid laminated composites. Compos. Part A 2007, 38, 1612–1620. [Google Scholar] [CrossRef]
- Selvam, R.; Arunkumar, N.; Karunamoorthy, L. Evaluation of flexural and interlaminar shear strength of laminated hybrid composites. Appl. Mech. Mater. 2014, 592, 276–281. [Google Scholar] [CrossRef]
- Almansour, F.A.; Dhakal, H.N.; Zhang, Z.Y. Investigation into Mode II interlaminar fracture toughness characteristics of flax/basalt reinforced vinyl ester hybrid composites. Compos. Sci. Technol. 2018, 154, 117–127. [Google Scholar] [CrossRef]
- Zhang, D.; Waas, A.M.; Yen, C.F. Progressive damage and failure response of hybrid 3D textile composites subjected to flexural loading, part I: Experimental studies. Int. J. Solids Struct. 2015, 75, 309–320. [Google Scholar] [CrossRef]
- Zhang, D.; Waas, A.M.; Yen, C.F. Progressive damage and failure response of hybrid 3D textile composites subjected to flexural loading, part II: Mechanics based multiscale computational modeling of progressive damage and failure. Int. J. Solids Struct. 2015, 75, 321–335. [Google Scholar] [CrossRef]
- Cerbu, C.; Botiș, M. Numerical modeling of the flax/glass/epoxy hybrid composite materials in bending. Procedia Eng. 2017, 181, 308–315. [Google Scholar] [CrossRef]
- Dong, C.; Sudarisman; Davies, I.J. Flexural properties of E glass and TR50S carbon fiber reinforced epoxy hybrid composites. J. Mater. Eng. Perform. 2013, 22, 41–49. [Google Scholar] [CrossRef]
- Li, H.; Xu, Y.; Hua, X.; Liu, C.; Tao, J. Bending failure mechanism and flexural properties of GLARE laminates with different stacking sequences. Compos. Struct. 2017, 187, 354–363. [Google Scholar] [CrossRef]
- Fajrin, J.; Zhuge, Y.; Wang, H.; Bullen, F. Experimental and theoretical deflections of hybrid composite sandwich panel under four-point bending load. J. Civ. Eng. Sci. Appl. 2017, 19, 29–35. [Google Scholar]
- Ahmed, K.S.; Vijayarangan, S. Tensile, flexural and interlaminar shear properties of woven jute and jute-glass fabric reinforced polyester composites. J. Mater. Process. Technol. 2008, 207, 330–335. [Google Scholar] [CrossRef]
- Wang, Q.; Wu, W.; Li, W. Compression properties of interlayer and intralayer carbon/glass hybrid composites. Polymers 2018, 10, 343. [Google Scholar] [CrossRef]
- Oya, N.; Johnson, D.J. Longitudinal compressive behaviour and microstructure of PAN-based carbon fibres. Carbon 2001, 39, 635–645. [Google Scholar] [CrossRef]

























| Material | Tensile Strength (MPa) | Tensile Modulus (GPa) |
|---|---|---|
| CPIC ECT469L-2400 Glass Fiber | 2366 | 78.7 |
| TORAY T620SC-24K-50C Carbon Fiber | 4175 | 234 |
| SWANCOR 2511-1A/BS Epoxy Resin | 73.5 | 3.1 |
| Fabric Type | Areal Density (g/m2) | Ratio of C/G | |
|---|---|---|---|
| Carbon Fiber | Glass Fiber | ||
| Carbon | 728.3 | 0 | 1:0 |
| Glass | 0 | 944.9 | 0:1 |
| C-C-G-G | 364.2 | 472.4 | 1:1 |
| C-G-G | 242.8 | 629.9 | 1:2 |
| C-G-G-G-G | 145.7 | 755.9 | 1:4 |
| C/G Hybrid Ratios | Stacking Sequences | |||||
|---|---|---|---|---|---|---|
| C:G = 1:1 | ![]() | ![]() | ![]() | ![]() | ![]() | ![]() |
| [G/G/C/C] | [C/C/G/G] | [G/C/C/G] | [C/G/G/C] | [C/G/C/G] | [G/C/G/C] | |
| C:G = 1:2 | ![]() | ![]() | ![]() | |||
| [G/G/C] | [C/G/G] | [G/C/G] | ||||
| C:G = 1:3 | ![]() | ![]() | ![]() | ![]() | ||
| [G/G/G/C] | [G/G/C/G] | [G/C/G/G] | [C/G/G/G] | |||
| C:G = 1:4 | ![]() | ![]() | ![]() | ![]() | ![]() | |
| [G/G/G/G/C] | [G/G/G/C/G] | [G/G/C/G/G] | [G/C/G/G/G] | [C/G/G/G/G] | ||
| C/G Hybrid Ratios | Ply Sequences | |||||
|---|---|---|---|---|---|---|
| [C-C-G-G] C:G = 1:1 | ![]() | ![]() | ![]() | |||
| [C-C-G-G]-0 | [C-C-G-G]-1 | [C-C-G-G]-2 | ||||
| C-G-G C:G = 1:2 | ![]() | ![]() | ![]() | ![]() | ||
| [C-G-G]-0 | [C-G-G]-1 | [C-G-G]-0.5 | [C-G-G]-1.5 | |||
| C-G-G-G-G C:G = 1:4 | ![]() | ![]() | ![]() | |||
| [C-G-G-G-G]-0 | [C-G-G-G-G]-1 | [C-G-G-G-G]-2 | ||||
![]() | ![]() | ![]() | ||||
| [C-G-G-G-G]-0.5 | [C-G-G-G-G]-1.5 | [C-G-G-G-G]-2.5 | ||||
© 2018 by the authors. Licensee MDPI, Basel, Switzerland. This article is an open access article distributed under the terms and conditions of the Creative Commons Attribution (CC BY) license (http://creativecommons.org/licenses/by/4.0/).
Share and Cite
Wang, Q.; Wu, W.; Gong, Z.; Li, W. Flexural Progressive Failure of Carbon/Glass Interlayer and Intralayer Hybrid Composites. Materials 2018, 11, 619. https://doi.org/10.3390/ma11040619
Wang Q, Wu W, Gong Z, Li W. Flexural Progressive Failure of Carbon/Glass Interlayer and Intralayer Hybrid Composites. Materials. 2018; 11(4):619. https://doi.org/10.3390/ma11040619
Chicago/Turabian StyleWang, Qingtao, Weili Wu, Zhili Gong, and Wei Li. 2018. "Flexural Progressive Failure of Carbon/Glass Interlayer and Intralayer Hybrid Composites" Materials 11, no. 4: 619. https://doi.org/10.3390/ma11040619
APA StyleWang, Q., Wu, W., Gong, Z., & Li, W. (2018). Flexural Progressive Failure of Carbon/Glass Interlayer and Intralayer Hybrid Composites. Materials, 11(4), 619. https://doi.org/10.3390/ma11040619
































