PMMA-g-OEtOx Graft Copolymers: Influence of Grafting Degree and Side Chain Length on the Conformation in Aqueous Solution
Abstract
:1. Introduction
2. Materials and Methods
3. Results and Discussion
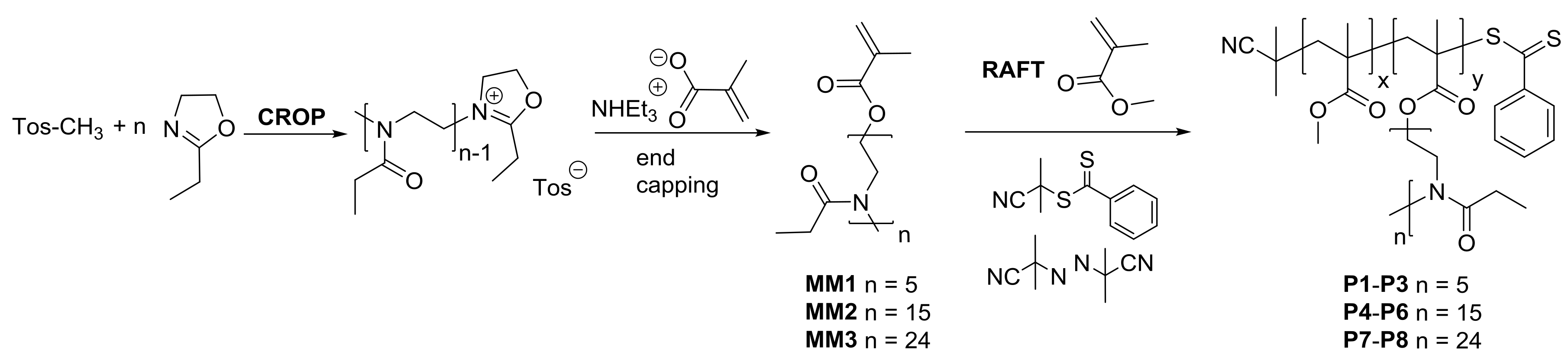
3.1. Macromonomer Synthesis
3.2. Graft Copolymer Synthesis
3.3. Thermo-Responsive Behavior
3.4. Aggregation Behavior
3.5. Dye Encapsulation
4. Conclusions
Supplementary Materials
Acknowledgments
Author Contributions
Conflicts of Interest
References
- Sedlacek, O.; Monnery, B.D.; Filippov, S.K.; Hoogenboom, R.; Hruby, M. Poly(2-oxazoline)s—Are they more advantageous for biomedical applications than other polymers? Macromol. Rapid Commun. 2012, 33, 1648–1662. [Google Scholar] [CrossRef] [PubMed]
- Knop, K.; Hoogenboom, R.; Fischer, D.; Schubert, U.S. Poly(ethylene glycol) in drug delivery: Pros and cons as well as potential alternatives. Angew. Chem. Int. Ed. 2010, 49, 6288–6308. [Google Scholar] [CrossRef] [PubMed]
- Luxenhofer, R.; Han, Y.; Schulz, A.; Tong, J.; He, Z.; Kabanov, A.V.; Jordan, R. Poly(2-oxazoline)s as polymer therapeutics. Macromol. Rapid Commun. 2012, 33, 1613–1631. [Google Scholar] [CrossRef] [PubMed]
- Guillerm, B.; Monge, S.; Lapinte, V.; Robin, J.-J. How to modulate the chemical structure of polyoxazolines by appropriate functionalization. Macromol. Rapid Commun. 2012, 33, 1600–1612. [Google Scholar] [CrossRef] [PubMed]
- Atanase, L.; Riess, G. Self-Assembly of block and graft copolymers in organic solvents: An overview of recent advances. Polymers 2018, 10, 62. [Google Scholar] [CrossRef]
- Atanase, L.I.; Desbrieres, J.; Riess, G. Micellization of synthetic and polysaccharides-based graft copolymers in aqueous media. Prog. Polym. Sci. 2017, 73, 32–60. [Google Scholar] [CrossRef]
- Maksym-Bębenek, P.; Neugebauer, D. Study on self-assembled well-defined PEG graft copolymers as efficient drug-loaded nanoparticles for anti-inflammatory therapy. Macromol. Biosci. 2015, 15, 1616–1624. [Google Scholar] [CrossRef] [PubMed]
- Bury, K.; Neugebauer, D. Novel self-assembly graft copolymers as carriers for anti-inflammatory drug delivery. Int. J. Pharm. 2014, 460, 150–157. [Google Scholar] [CrossRef] [PubMed]
- Sun, Y.; Yan, X.; Yuan, T.; Liang, J.; Fan, Y.; Gu, Z.; Zhang, X. Disassemblable micelles based on reduction-degradable amphiphilic graft copolymers for intracellular delivery of doxorubicin. Biomaterials 2010, 31, 7124–7131. [Google Scholar] [CrossRef] [PubMed]
- Zschoche, S.; Rueda, J.C.; Binner, M.; Komber, H.; Janke, A.; Arndt, K.-F.; Lehmann, S.; Voit, B. Reversibly switchable pH- and thermoresponsive core–shell nanogels based on poly(NiPAAm)-graft-poly(2-carboxyethyl-2-oxazoline)s. Macromol. Chem. Phys. 2012, 213, 215–226. [Google Scholar] [CrossRef]
- Kurlykin, M.P.; Bursian, A.E.; Golub, O.V.; Filippov, A.P.; Tenkovtsev, A.V. Multicenter polyester initiators for the synthesis of graft copolymers with oligo(2-ethyl-2-oxazoline) side chains. Polym. Sci. Ser. B 2016, 58, 421–427. [Google Scholar] [CrossRef]
- Pospisilova, A.; Filippov, S.K.; Bogomolova, A.; Turner, S.; Sedlacek, O.; Matushkin, N.; Cernochova, Z.; Stepanek, P.; Hruby, M. Glycogen-graft-poly(2-alkyl-2-oxazolines)—The new versatile biopolymer-based thermoresponsive macromolecular toolbox. RSC Adv. 2014, 4, 61580–61588. [Google Scholar] [CrossRef]
- Bose, A.; Jana, S.; Saha, A.; Mandal, T.K. Amphiphilic polypeptide-polyoxazoline graft copolymer conjugate with tunable thermoresponsiveness: Synthesis and self-assembly into various micellar structures in aqueous and nonaqueous media. Polymer 2017, 110, 12–24. [Google Scholar] [CrossRef]
- Weber, C.; Becer, C.R.; Hoogenboom, R.; Schubert, U.S. Lower critical solution temperature behavior of comb and graft shaped poly[oligo(2-ethyl-2-oxazoline)methacrylate]s. Macromolecules 2009, 42, 2965–2971. [Google Scholar] [CrossRef]
- Weber, C.; Becer, C.R.; Guenther, W.; Hoogenboom, R.; Schubert, U.S. Dual responsive methacrylic acid and oligo(2-ethyl-2-oxazoline) containing graft copolymers. Macromolecules 2010, 43, 160–167. [Google Scholar] [CrossRef]
- Korchia, L.; Lapinte, V.; Travelet, C.; Borsali, R.; Robin, J.-J.; Bouilhac, C. UV-responsive amphiphilic graft copolymers based on coumarin and polyoxazoline. Soft Matter 2017, 13, 4507–4519. [Google Scholar] [CrossRef] [PubMed]
- Weber, C.; Hoogenboom, R.; Schubert, U.S. Temperature responsive bio-compatible polymers based on poly(ethylene oxide) and poly(2-oxazoline)s. Prog. Polym. Sci. 2012, 37, 686–714. [Google Scholar] [CrossRef]
- Hoogenboom, R.; Schlaad, H. Thermoresponsive poly(2-oxazoline)s, polypeptoids, and polypeptides. Polym. Chem. 2017, 8, 24–40. [Google Scholar] [CrossRef]
- Košovan, P.; Kuldová, J.; Limpouchová, Z.; Procházka, K.; Zhulina, E.B.; Borisov, O.V. Amphiphilic graft copolymers in selective solvents: Molecular dynamics simulations and scaling theory. Macromolecules 2009, 42, 6748–6760. [Google Scholar] [CrossRef]
- Williams, R.J.; Pitto-Barry, A.; Kirby, N.; Dove, A.P.; O’Reilly, R.K. Cyclic graft copolymer unimolecular micelles: Effects of cyclization on particle morphology and thermoresponsive behavior. Macromolecules 2016, 49, 2802–2813. [Google Scholar] [CrossRef] [PubMed]
- Schuck, P. Size-distribution analysis of macromolecules by sedimentation velocity ultracentrifugation and Lamm equation modeling. Biophys. J. 2000, 78, 1606–1619. [Google Scholar] [CrossRef]
- Weber, C.; Becer, C.R.; Baumgaertel, A.; Hoogenboom, R.; Schubert, U.S. Preparation of methacrylate end-functionalized poly(2-ethyl-2-oxazoline) macromonomers. Des. Monomers Polym. 2009, 12, 149–165. [Google Scholar] [CrossRef]
- Luxenhofer, R.; Schulz, A.; Roques, C.; Li, S.; Bronich, T.K.; Batrakova, E.V.; Jordan, R.; Kabanov, A.V. Doubly amphiphilic poly(2-oxazoline)s as high-capacity delivery systems for hydrophobic drugs. Biomaterials 2010, 31, 4972–4979. [Google Scholar] [CrossRef] [PubMed]
- Zhang, Q.; Weber, C.; Schubert, U.S.; Hoogenboom, R. Thermoresponsive polymers with lower critical solution temperature: From fundamental aspects and measuring techniques to recommended turbidimetry conditions. Mater. Horiz. 2017, 4, 109–116. [Google Scholar] [CrossRef]
- Christova, D.; Velichkova, R.; Loos, W.; Goethals, E.J.; Prez, F.D. New thermo-responsive polymer materials based on poly(2-ethyl-2-oxazoline) segments. Polymer 2003, 44, 2255–2261. [Google Scholar] [CrossRef]
- Lambermont-Thijs, H.M.L.; Hoogenboom, R.; Fustin, C.-A.; Bomal-D’Haese, C.; Gohy, J.-F.; Schubert, U.S. Solubility behavior of amphiphilic block and random copolymers based on 2-ethyl-2-oxazoline and 2-nonyl-2-oxazoline in binary water-ethanol mixtures. J. Polym. Sci. Part A Polym. Chem. 2009, 47, 515–522. [Google Scholar] [CrossRef]
- Men, Y.; Schlaad, H.; Yuan, J. Cationic poly (ionic liquid) with tunable lower critical solution temperature-type phase transition. ACS Macro Lett. 2013, 2, 456–459. [Google Scholar] [CrossRef]
- Bloksma, M.M.; Bakker, D.J.; Weber, C.; Hoogenboom, R.; Schubert, U.S. The effect of Hofmeister salts on the LCST transition of poly(2-oxazoline)s with varying hydrophilicity. Macromol. Rapid Commun. 2010, 31, 724–728. [Google Scholar] [CrossRef] [PubMed]
- Cho, Y.; Sagle, L.B.; Iimura, S.; Zhang, Y.; Kherb, J.; Chilkoti, A.; Scholtz, J.M.; Cremer, P.S. Hydrogen bonding of β-turn structure is stabilized in D2O. J. Am. Chem. Soc. 2009, 131, 15188–15193. [Google Scholar] [CrossRef] [PubMed]
- Kujawa, P.; Winnik, F.M. Volumetric studies of aqueous polymer solutions using pressure perturbation calorimetry: A new look at the temperature-induced phase transition of poly(N-isopropylacrylamide) in water and D2O. Macromolecules 2001, 34, 4130–4135. [Google Scholar] [CrossRef]
- Spěváček, J. NMR investigations of phase transition in aqueous polymer solutions and gels. Curr. Opin. Colloid Interface Sci. 2009, 14, 184–191. [Google Scholar] [CrossRef]
- Aseyev, V.; Hietala, S.; Laukkanen, A.; Nuopponen, M.; Confortini, O.; Du Prez, F.E.; Tenhu, H. Mesoglobules of thermoresponsive polymers in dilute aqueous solutions above the LCST. Polymer 2005, 46, 7118–7131. [Google Scholar] [CrossRef]
- Trzebicka, B.; Haladjova, E.; Otulakowski, Ł.; Oleszko, N.; Wałach, W.; Libera, M.; Rangelov, S.; Dworak, A. Hybrid nanoparticles obtained from mixed mesoglobules. Polymer 2015, 68, 65–73. [Google Scholar] [CrossRef]
- Weber, C.; Rogers, S.; Vollrath, A.; Hoeppener, S.; Rudolph, T.; Fritz, N.; Hoogenboom, R.; Schubert, U.S. Aqueous solution behavior of comb-shaped poly(2-ethyl-2-oxazoline). J. Polym. Sci. Part A Polym. Chem. 2013, 51, 139–148. [Google Scholar] [CrossRef]
- Obeid, R.; Tanaka, F.; Winnik, F.M. Heat-induced phase transition and crystallization of hydrophobically end-capped poly(2-isopropyl-2-oxazoline)s in water. Macromolecules 2009, 42, 5818–5828. [Google Scholar] [CrossRef]
- Takahashi, R.; Sato, T.; Terao, K.; Qiu, X.-P.; Winnik, F.M. Self-association of a thermosensitive poly(alkyl-2-oxazoline) block copolymer in aqueous solution. Macromolecules 2012, 45, 6111–6119. [Google Scholar] [CrossRef]
- Grube, M.; Leiske, M.N.; Schubert, U.S.; Nischang, I. POx as an alternative to PEG? A hydrodynamic and light scattering study. Macromolecules 2018, 51, 1905–1916. [Google Scholar] [CrossRef]
- Nischang, I.; Perevyazko, I.; Majdanski, T.; Vitz, J.; Festag, G.; Schubert, U.S. Hydrodynamic analysis resolves the pharmaceutically-relevant absolute molar mass and solution properties of synthetic poly(ethylene glycol)s created by varying initiation sites. Anal. Chem. 2017, 89, 1185–1193. [Google Scholar] [CrossRef] [PubMed]






| MM 1 | M/I | DP 2 | Mn 2 (g·mol−1) | Mn 3 (g·mol−1) | Ð 3 |
|---|---|---|---|---|---|
| MM1 | 5 | 5 | 600 | 500 | 1.12 |
| MM2 | 15 | 15 | 1600 | 1300 | 1.11 |
| MM3 | 20 | 24 | 2500 | 1700 | 1.15 |
| P | MM | MM/MMA/CTA 1 | mol % MM/MMA (feed) | Conv. (%) 2 | Mn (g·mol−1) 3 | Ð 3 | mol % MM/MMA (NMR) 4 | DP MM/MMA 5 |
|---|---|---|---|---|---|---|---|---|
| P1 | MM1 | 30:80:1 | 27/73 | 63 | 12,900 | 1.32 | 17/83 | 12/57 |
| P2 | MM1 | 30:60:1 | 33/67 | 90 | 13,400 | 1.19 | 23/77 | 19/62 |
| P3 | MM1 | 30:60:1 | 33/67 | 88 | 14,000 | 1.09 | 34/66 | 27/52 |
| P4 | MM2 | 13:77:1 | 14/86 | 64 | 10,900 | 1.17 | 9/91 | 5/53 |
| P5 | MM2 | 18:72:1 | 20/80 | 88 | 14,800 | 1.13 | 11/89 | 9/70 |
| P6 | MM2 | 30:60:1 | 33/67 | 56 | 13,000 | 1.13 | 24/76 | 12/38 |
| P7 | MM3 | 18:72:1 | 20/80 | 86 | 13,600 | 1.11 | 9/91 | 7/71 |
| P8 | MM3 | 30:60:1 | 33/67 | 81 | 13,000 | 1.13 | 18/82 | 13/60 |
| Polymer | DP Side Chain | DG 1 | mol % MM/MMA 1 | mol % EtOx/MMA | Tcp (°C) 2 in H2O | DO3/P Uptake 3 (mol(DO3)·mol(P)−1) | ||
|---|---|---|---|---|---|---|---|---|
| c (mg·mL−1) | ||||||||
| 5 | 1 | |||||||
| P1 | polyMMA57-g17%-polyEtOx5 | 5 | 17 | 17/83 | 51/49 | 37 | - 4 | n.d. |
| P2 | polyMMA62-g23%-polyEtOx5 | 5 | 23 | 23/77 | 60/40 | 40.5 | 48.8 | n.d. |
| P3 | polyMMA52-g34%-polyEtOx5 | 5 | 34 | 34/66 | 71/29 | 35.4 | 45.2 | 1.9 |
| P4 | polyMMA53-g9%-polyEtOx15 | 15 | 9 | 9/91 | 56/44 | not water soluble | n.d. | |
| P5 | polyMMA70-g11%-polyEtOx15 | 15 | 11 | 11/89 | 65/35 | 59.9 | 63.05 | 1.7 |
| P6 | polyMMA38-g24%-polyEtOx15 | 15 | 24 | 24/76 | 83/17 | 62.9 | 66.6 | 1.2 |
| P7 | polyMMA71-g9%-polyEtOx24 | 24 | 9 | 9/91 | 68/32 | 61.9 | 66.8 | n.d. |
| P8 | polyMMA60-g18%-polyEtOx24 | 24 | 18 | 18/82 | 84/16 | 67.1 | 70.6 | 1.2 |
| Polymer | Side Chain DP | mol % MM/MMA 1 | mol % EtOx/MMA | Mn, theor. 2 (g·mol−1) | Msf(acetone) (g·mol−1) | Msf(water) (g·mol−1) | Nagg 3 |
|---|---|---|---|---|---|---|---|
| P1 | 5 | 17/83 | 51/49 | 13,100 | 15,200 | 196,000 | 13 |
| P2 | 5 | 23/77 | 60/40 | 17,800 | 18,800 | 31,800 | 1.7 |
| P5 | 15 | 11/89 | 65/35 | 21,600 | 24,700 | 231,800 | 9.4 |
© 2018 by the authors. Licensee MDPI, Basel, Switzerland. This article is an open access article distributed under the terms and conditions of the Creative Commons Attribution (CC BY) license (http://creativecommons.org/licenses/by/4.0/).
Share and Cite
Muljajew, I.; Weber, C.; Nischang, I.; Schubert, U.S. PMMA-g-OEtOx Graft Copolymers: Influence of Grafting Degree and Side Chain Length on the Conformation in Aqueous Solution. Materials 2018, 11, 528. https://doi.org/10.3390/ma11040528
Muljajew I, Weber C, Nischang I, Schubert US. PMMA-g-OEtOx Graft Copolymers: Influence of Grafting Degree and Side Chain Length on the Conformation in Aqueous Solution. Materials. 2018; 11(4):528. https://doi.org/10.3390/ma11040528
Chicago/Turabian StyleMuljajew, Irina, Christine Weber, Ivo Nischang, and Ulrich S. Schubert. 2018. "PMMA-g-OEtOx Graft Copolymers: Influence of Grafting Degree and Side Chain Length on the Conformation in Aqueous Solution" Materials 11, no. 4: 528. https://doi.org/10.3390/ma11040528
APA StyleMuljajew, I., Weber, C., Nischang, I., & Schubert, U. S. (2018). PMMA-g-OEtOx Graft Copolymers: Influence of Grafting Degree and Side Chain Length on the Conformation in Aqueous Solution. Materials, 11(4), 528. https://doi.org/10.3390/ma11040528

