Temperature and Recognition Dual Responsive Poly(N-Isopropylacrylamide) and Poly(N,N-Dimethylacrylamide) with Adamantyl Side Group
Abstract
1. Introduction
2. Materials and Methods
2.1. Materials
2.2. Preparation of Poly(NIPAM-co-AdMA)
2.3. Preparation of Poly(DMAM-co-AdMA)
2.4. Characterization of Polymers
2.5. Measurement of Temperature Responsive Properties
3. Results and Discussion
3.1. Preparation of Poly(NIPAM-co-AdMA) and Poly(DMAM-co-AdMA)
3.2. Characterization of Poly(NIPAM-co-AdMA) and Poly(DMAM-co-AdMA)
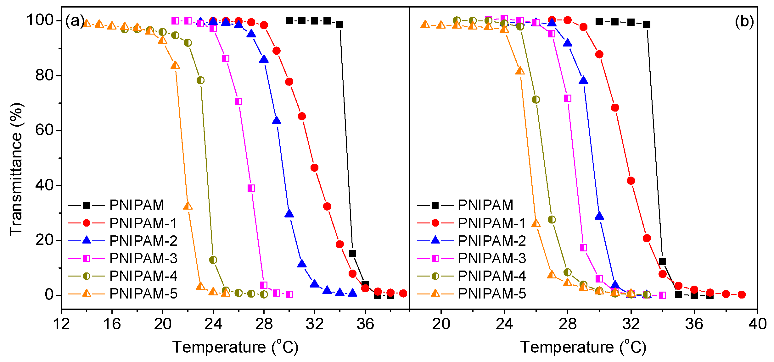
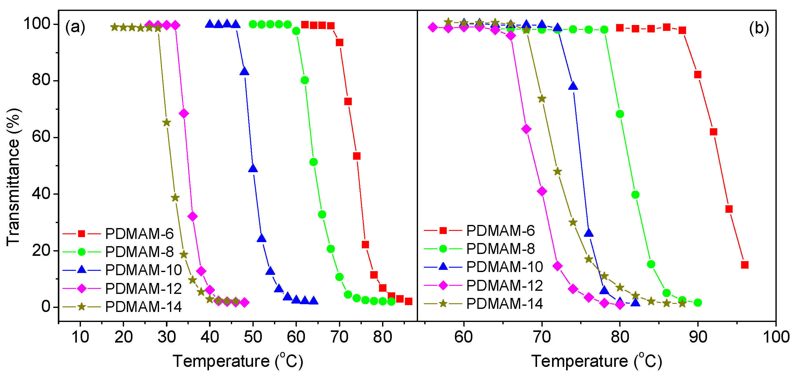
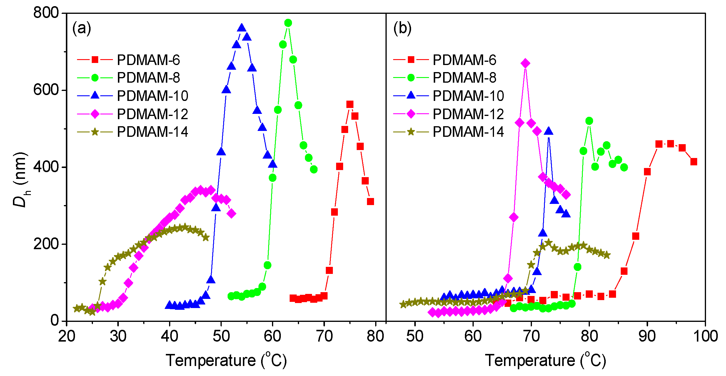
3.3. Temperature and Recognition Dual Responsivity of Poly(NIPAM-co-AdMA) and Poly(DMAM-co-AdMA)
4. Conclusions
Acknowledgments
Author Contributions
Conflicts of Interest
References
- Liu, F.; Urban, M.W. Recent advances and challenges in designing stimuli-responsive polymers. Prog. Polym. Sci. 2010, 35, 3–23. [Google Scholar] [CrossRef]
- Roy, D.; Brooks, W.L.A.; Sumerlin, B.S. New directions in thermoresponsive polymers. Chem. Soc. Rev. 2013, 42, 7214–7243. [Google Scholar] [CrossRef] [PubMed]
- Lokuge, I.; Wang, X.; Bohn, P.W. Temperature-controlled flow switching in nanocapillary array membranes mediated by poly(N-isopropylacrylamide) polymer brushes grafted by atom transfer radical polymerization. Langmuir 2007, 23, 305–311. [Google Scholar] [CrossRef] [PubMed]
- Alarcon, C.D.L.H.; Pennadam, S.; Alexander, C. Stimuli responsive polymers for biomedical applications. Chem. Soc. Rev. 2005, 34, 276–285. [Google Scholar] [CrossRef] [PubMed]
- Schmaljohann, D. Thermo- and pH-responsive polymers in drug delivery. Adv. Drug Deliv. Rev. 2006, 58, 1655–1670. [Google Scholar] [CrossRef] [PubMed]
- York, A.W.; Kirkland, S.E.; McCormick, C.L. Advances in the synthesis of amphiphilic block copolymers via RAFT polymerization: Stimuli-responsive drug and gene delivery. Adv. Drug Deliv. Rev. 2008, 60, 1018–1036. [Google Scholar] [CrossRef] [PubMed]
- Yang, H.; Zhu, H.; Hendrix, M.M.R.M.; Lousberg, N.J.H.G.M.; de With, G.; Esteves, A.C.C.; Xin, J.H. Temperature-triggered collection and release of water from fogs by a sponge-like cotton fabric. Adv. Mater. 2013, 25, 1150–1154. [Google Scholar] [CrossRef] [PubMed]
- Tan, I.; Roohi, F.; Titirici, M.-M. Thermoresponsive polymers in liquid chromatography. Anal. Methods 2011, 4, 34–43. [Google Scholar] [CrossRef]
- Defize, T.; Riva, R.; Raquez, J.-M.; Dubois, P.; Jérôme, C.; Alexandre, M. Thermoreversibly crosslinked poly(ε-caprolactone) as recyclable shape-memory polymer network. Macromol. Rapid Commun. 2011, 32, 1264–1269. [Google Scholar] [CrossRef] [PubMed]
- Ward, M.A.; Georgiou, T.K. Thermoresponsive polymers for biomedical applications. Polymers 2011, 3, 1215–1242. [Google Scholar] [CrossRef]
- Brun-Graeppi, A.K.A.S.; Richard, C.; Bessodes, M.; Scherman, D.; Merten, O.-W. Thermoresponsive surfaces for cell culture and enzyme-free cell detachment. Prog. Polym. Sci. 2010, 35, 1311–1324. [Google Scholar] [CrossRef]
- Lee, J.; Kotov, N.A. Thermometer design at the nanoscale. Nano Today 2007, 2, 48–51. [Google Scholar] [CrossRef]
- Schmidt, B.V.K.J.; Hetzer, M.; Ritter, H.; Barner-Kowollik, C. Modulation of the thermoresponsive behavior of poly(N,N-diethylacrylamide) via cyclodextrin host/guest interactions. Macromol. Rapid Commun. 2013, 34, 1306–1311. [Google Scholar] [CrossRef] [PubMed]
- Heskins, M.; Guillet, J.E. Solution properties of poly(N-isopropylacrylamide). J. Macromol. Sci. Part A 1968, 2, 1441–1455. [Google Scholar] [CrossRef]
- Yuan, G.; Yin, X.; Sun, L.; Cui, M.; Yuan, Z.; Wang, C.; Yin, M.; Wang, L. Effect of host−guest interactions on the cloud points of neutral thermosensitive homopolymers: poly(N-n-propylmethacrylamide) and polymers with similar structures. ACS Appl. Mater. Interfaces 2012, 4, 950–954. [Google Scholar] [CrossRef] [PubMed]
- Jia, Y.-G.; Zhu, X.X. Thermoresponsiveness of copolymers bearing cholic acid pendants induced by complexation with β-cyclodextrin. Langmuir 2014, 30, 11770–11775. [Google Scholar] [CrossRef] [PubMed]
- Takei, Y.G.; Aoki, T.; Sanui, K.; Ogata, N.; Okano, T.; Sakurai, Y. Temperature-responsive bioconjugates. 2. Molecular design for temperature-modulated bioseparations. Bioconj. Chem. 1993, 4, 341–346. [Google Scholar] [CrossRef]
- Winnik, F.M.; Ringsdorf, H.; Venzmer, J. Methanol-water as a co-nonsolvent system for poly(N-isopropylacrylamide). Macromolecules 1990, 23, 2415–2416. [Google Scholar] [CrossRef]
- Shechter, I.; Ramon, O.; Portnaya, I.; Paz, Y.; Livney, Y.D. Microcalorimetric study of the effects of a chaotropic salt, KSCN, on the lower critical solution temperature (LCST) of aqueous poly(N-isopropylacrylamide) (PNIPA) solutions. Macromolecules 2010, 43, 480–487. [Google Scholar] [CrossRef]
- Meewes, M.; Ricka, J.; De Silva, M.; Nyffenegger, R.; Binkert, T. Coil-globule transition of poly(N-isopropylacrylamide): A study of surfactant effects by light scattering. Macromolecules 1991, 24, 5811–5816. [Google Scholar] [CrossRef]
- Xu, F.J.; Kang, E.T.; Neoh, K.G. pH- and temperature-responsive hydrogels from crosslinked triblock copolymers prepared via consecutive atom transfer radical polymerizations. Biomaterials 2006, 27, 2787–2797. [Google Scholar] [CrossRef] [PubMed]
- Li, H.; Yu, B.; Matsushima, H.; Hoyle, C.E.; Lowe, A.B. The Thiol−isocyanate click reaction: facile and quantitative access to ω-end-functional poly(N,N-diethylacrylamide) synthesized by RAFT radical polymerization. Macromolecules 2009, 42, 6537–6542. [Google Scholar] [CrossRef]
- Zhao, Y.; Tremblay, L.; Zhao, Y. Phototunable LCST of Water-Soluble Polymers: Exploring a Topological Effect. Macromolecules 2011, 44, 4007–4011. [Google Scholar] [CrossRef]
- Ritter, H.; Sadowski, O.; Tepper, E. Influence of cyclodextrin molecules on the synthesis and the thermoresponsive solution behavior of N-isopropylacrylamide copolymers with adamantyl groups in the side chains. Angew. Chem. Int. Ed. 2003, 42, 3171–3173. [Google Scholar] [CrossRef] [PubMed]
- Maatz, G.; Maciollek, A.; Ritter, H. Cyclodextrin-induced host–guest effects of classically prepared poly(NIPAM) bearing azo-dye end groups. Beilstein J. Org. Chem. 2012, 8, 1929–1935. [Google Scholar] [CrossRef] [PubMed]
- De la Rosa, V.R.; Woisel, P.; Hoogenboom, R. Supramolecular control over thermoresponsive polymers. Mater. Today 2016, 19, 44–55. [Google Scholar] [CrossRef]
- Ohga, K.; Takashima, Y.; Takahashi, H.; Kawaguchi, Y.; Yamaguchi, H.; Harada, A. Preparation of supramolecular polymers from a cyclodextrin dimer and ditopic guest molecules: control of structure by linker flexibility. Macromolecules 2005, 38, 5897–5904. [Google Scholar] [CrossRef]
- Harada, A. Supramolecular polymers based on cyclodextrins. J. Polym. Sci. A 2006, 44, 5113–5116. [Google Scholar] [CrossRef]
- Hashidzume, A.; Tomatsu, I.; Harada, A. Interaction of cyclodextrins with side chains of water soluble polymers: A simple model for biological molecular recognition and its utilization for stimuli-responsive systems. Polymer 2006, 47, 6011–6027. [Google Scholar] [CrossRef][Green Version]
- Hashidzume, A.; Harada, A. Recognition of polymer side chains by cyclodextrins. Polym. Chem. 2011, 2, 2146–2154. [Google Scholar] [CrossRef]
- Liu, B.; Zhou, H.; Zhou, S.; Yuan, J. Macromolecules based on recognition between cyclodextrinand guest molecules: synthesis, properties and functions. Euro. Polym. J. 2015, 65, 63–81. [Google Scholar] [CrossRef]
- Kretschmann, O.; Choi, S.W.; Miyauchi, M.; Tomatsu, I.; Harada, A.; Ritter, H. Switchable hydrogels obtained by supramolecular cross-linking of adamantyl-containing LCST copolymers with cyclodextrin dimmers. Angew. Chem. Int. Ed. 2006, 45, 4361–4365. [Google Scholar] [CrossRef] [PubMed]
- Kretschmann, O.; Steffens, C.; Ritter, H. Cyclodextrin complexes of polymers bearing adamantyl groups: host–guest interactions and the effect of spacers on water solubility. Angew. Chem. Int. Ed. 2007, 46, 2708–2711. [Google Scholar] [CrossRef] [PubMed]
- Steffens, C.; Kretschmann, O.; Ritter, H. Influence of cyclodextrin and temperature on the kinetics of free radical polymerization of N-adamantylacrylamide in water. Macromol. Rapid Commun. 2007, 28, 623–628. [Google Scholar] [CrossRef]
- Koopmans, C.; Ritter, H. Formation of Physical Hydrogels via Host−Guest Interactions of β-Cyclodextrin Polymers and Copolymers Bearing Adamantyl Groups. Macromolecules 2008, 41, 7418–7422. [Google Scholar] [CrossRef]
- Yan, J.; Li, W.; Liu, K.; Wu, D.; Chen, F.; Wu, P.; Zhang, A. Thermoresponsive Supramolecular Dendronized Polymers. Chem. Asian J. 2011, 6, 3260–3269. [Google Scholar] [CrossRef] [PubMed]
- Yusa, S.; Shimada, Y.; Mitsukami, Y.; Yamamoto, T.; Morishima, Y. Heat-induced association and dissociation behavior of amphiphilic diblock copolymers synthesized via reversible addition−fragmentation chain transfer radical polymerization. Macromolecules 2004, 37, 7507–7513. [Google Scholar] [CrossRef]
- Convertine, A.J.; Lokitz, B.S.; Vasileva, Y.; Myrick, L.J.; Scales, C.W.; Lowe, A.B.; McCormick, C.L. Direct synthesis of thermally responsive DMA/NIPAM diblock and DMA/NIPAM/DMA triblock copolymers via aqueous, room temperature RAFT polymerization. Macromolecules 2006, 39, 1724–1730. [Google Scholar] [CrossRef]
- Wenz, G. Cyclodextrins as building blocks for supramolecular structures and functional units. Angew. Chem. Int. Ed. Engl. 1994, 33, 803–822. [Google Scholar] [CrossRef]
- Szejtli, J. Introduction and general overview of cyclodextrin chemistry. Chem. Rev. 1998, 98, 1743–1754. [Google Scholar] [CrossRef] [PubMed]











| Sample | Molar Feed Ratio of AdMA % | Molar Content of AdMA in Copolymer % 1 | Yield % | Molecular Weight 2 | ||
|---|---|---|---|---|---|---|
| Mn | Mw | Mw/Mn | ||||
| PNIPAM | 0 | 0 | 71 | 4600 | 10,800 | 2.3 |
| PNIPAM-1 | 1 | 0.8 | 58 | 4000 | 9700 | 2.4 |
| PNIPAM-2 | 2 | 1.4 | 62 | 8600 | 14,400 | 1.7 |
| PNIPAM-3 | 3 | 2.3 | 67 | 5100 | 10,900 | 2.1 |
| PNIPAM-4 | 4 | 3.7 | 65 | 6300 | 13,400 | 2.1 |
| PNIPAM-5 | 5 | 4.6 | 71 | 5900 | 13,500 | 2.3 |
| PDMAM | 0 | 0 | 62 | 5860 | 12,300 | 2.1 |
| PDMAM-6 | 6 | 7.6 | 74 | 6000 | 11,500 | 1.9 |
| PDMAM-8 | 8 | 8.7 | 63 | 7200 | 13,700 | 1.9 |
| PDMAM-10 | 10 | 11.3 | 68 | 4700 | 11,700 | 2.5 |
| PDMAM-12 | 12 | 13.5 | 72 | 6400 | 14,800 | 2.3 |
| PDMAM-14 | 14 | 15.1 | 70 | 6800 | 15,100 | 2.2 |
© 2018 by the authors. Licensee MDPI, Basel, Switzerland. This article is an open access article distributed under the terms and conditions of the Creative Commons Attribution (CC BY) license (http://creativecommons.org/licenses/by/4.0/).
Share and Cite
Dong, Q.; Luo, C.; Li, N.; Chi, J.; Zhang, Q. Temperature and Recognition Dual Responsive Poly(N-Isopropylacrylamide) and Poly(N,N-Dimethylacrylamide) with Adamantyl Side Group. Materials 2018, 11, 473. https://doi.org/10.3390/ma11040473
Dong Q, Luo C, Li N, Chi J, Zhang Q. Temperature and Recognition Dual Responsive Poly(N-Isopropylacrylamide) and Poly(N,N-Dimethylacrylamide) with Adamantyl Side Group. Materials. 2018; 11(4):473. https://doi.org/10.3390/ma11040473
Chicago/Turabian StyleDong, Qiujing, Chunhua Luo, Na Li, Jiaxiang Chi, and Qingqing Zhang. 2018. "Temperature and Recognition Dual Responsive Poly(N-Isopropylacrylamide) and Poly(N,N-Dimethylacrylamide) with Adamantyl Side Group" Materials 11, no. 4: 473. https://doi.org/10.3390/ma11040473
APA StyleDong, Q., Luo, C., Li, N., Chi, J., & Zhang, Q. (2018). Temperature and Recognition Dual Responsive Poly(N-Isopropylacrylamide) and Poly(N,N-Dimethylacrylamide) with Adamantyl Side Group. Materials, 11(4), 473. https://doi.org/10.3390/ma11040473

